Free Access

Fig. 11

thumbnail

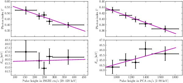
Left: results of the pulse-to-pulse analysis of the INTEGRAL observation of rev. 0912. The photon index Γ with fixed Erolloff = 15.5 keV and the cyclotron line energy Ecyc are plotted as a function of the individual pulse height. The vertical error bars indicate 1σ-uncertainties. The horizontal error bars correspond to the pulse-height bins used to accumulate the spectra. The solid lines indicate linear fits to the data. Right: same but for the RXTE observations. In the data for the upper panel Erolloff was fixes to 15.2 keV.

This figure is made of several images, please see below:

Current usage metrics show cumulative count of Article Views (full-text article views including HTML views, PDF and ePub downloads, according to the available data) and Abstracts Views on Vision4Press platform.

Data correspond to usage on the plateform after 2015. The current usage metrics is available 48-96 hours after online publication and is updated daily on week days.

Initial download of the metrics may take a while.