Free Access

This article has an erratum: [https://doi.org/10.1051/0004-6361/201220728e]


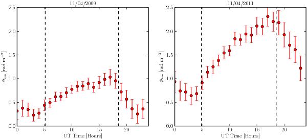
Fig. 4

thumbnail

Prediction of the ionospheric Faraday rotation for two different epochs, as viewed from the LOFAR core along the LOS to Cas A. Left: prediction when solar activity is near its minimum. Right: prediction when the solar activity rises toward a new maximum, expected around May 2013. The dashed vertical lines mark the times of sunrise and sunset.

Current usage metrics show cumulative count of Article Views (full-text article views including HTML views, PDF and ePub downloads, according to the available data) and Abstracts Views on Vision4Press platform.

Data correspond to usage on the plateform after 2015. The current usage metrics is available 48-96 hours after online publication and is updated daily on week days.

Initial download of the metrics may take a while.