Free Access

Fig. 4

thumbnail

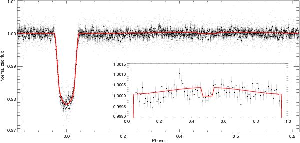
Phase-folded lightcurve of WAPS-19b, where the gray and blue dots correspond to the original data, and to the binned data at 0.001 phase units (blue), respectively. The black line is the best fit to the transit (see Table 2 for detailed primary transit parameters). The inset frame is the normalized flux scale zoom on the secondary eclipse (full phase coverage in abscissa) with a bin size of 0.01 in phase – see Sect. 3.3 for detailed secondary eclipse parameters.

Current usage metrics show cumulative count of Article Views (full-text article views including HTML views, PDF and ePub downloads, according to the available data) and Abstracts Views on Vision4Press platform.

Data correspond to usage on the plateform after 2015. The current usage metrics is available 48-96 hours after online publication and is updated daily on week days.

Initial download of the metrics may take a while.