Free Access

Fig. 4

thumbnail

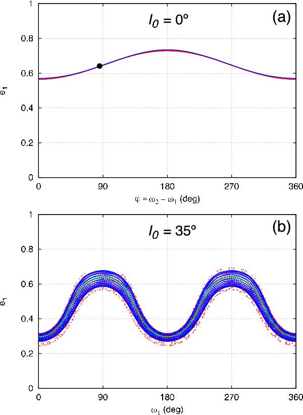
Possible secular trajectories for the HD 74156 system seen in the (ϕ,e1) plane for I = 0° (top) and in the (ω1,e1) plane for I = 35° (bottom). All trajectories are compatible with the current knowledge for this system (Table 1). We show the trajectories using the octupolar approximation (blue) and direct numerical simulations (red). In a) the blue path corresponds to the level curves of constant energy for coplanar orbits. The dot marks the present position of the planet. In b) we additionally show the trajectories using the quadrupolar approximation (green), which corresponds to the level curves of constant energy.

Current usage metrics show cumulative count of Article Views (full-text article views including HTML views, PDF and ePub downloads, according to the available data) and Abstracts Views on Vision4Press platform.

Data correspond to usage on the plateform after 2015. The current usage metrics is available 48-96 hours after online publication and is updated daily on week days.

Initial download of the metrics may take a while.