Free Access

Fig. 5

thumbnail

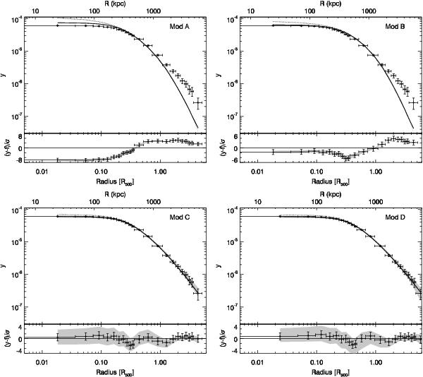
Comparison between the azimuthally averaged y profile of the Coma cluster and various models. From left to right, top to bottom, we show the best-fit y models corresponding to the Arnaud et al. (2010) “universal” profile (A), the “universal” profile for merger systems (B), the modified “universal” profile (C, see 1), and the Vikhlinin et al. fitting formula (D, see. 2). For each panel we show in the Upper subpanel the points indicating the Coma y profile extracted in circular annuli centred at (RA, Dec) = (12h59m47s, + 27°55′53″). The plotted errors are the square root of the diagonal elements of the covariance matrix. Continuous and dotted lines are the best-fit projected y model after and before the convolution with the Planck PSF, respectively. The gray shaded region indicates the envelope derived from the 68.4% of models with the lowest χ2. In the lower subpanel we show the ratio between the observed and the best-fit model of the projected y profile in units of the relative error. The gray shaded region indicates the envelope derived from the 68.4% of models with the lowest χ2.

This figure is made of several images, please see below:

Current usage metrics show cumulative count of Article Views (full-text article views including HTML views, PDF and ePub downloads, according to the available data) and Abstracts Views on Vision4Press platform.

Data correspond to usage on the plateform after 2015. The current usage metrics is available 48-96 hours after online publication and is updated daily on week days.

Initial download of the metrics may take a while.