Free Access

Fig. 2

thumbnail

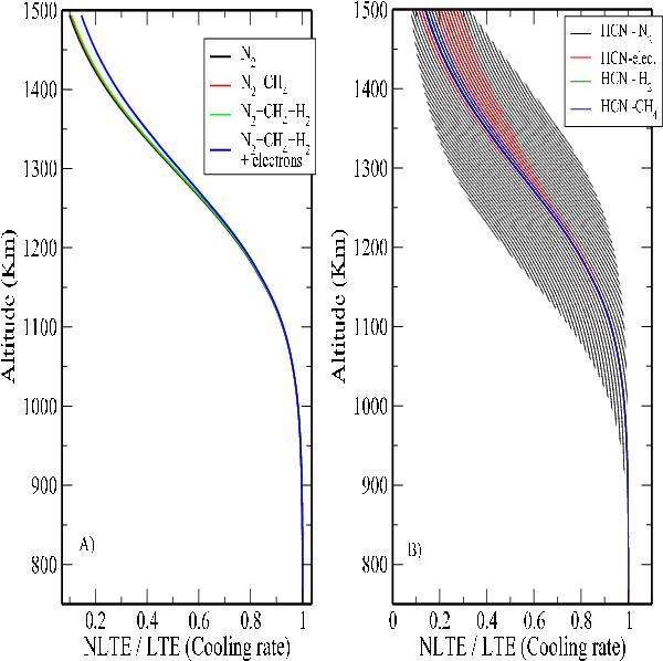
Panel A) shows profiles of non-LTE to LTE cooling-rate ratios. The four curves show how the ratio changes by successively including more collisional processes. The black curve includes only the collisions with N2, for the red curve the collision partner CH4 was included in addition, and adding H2 is shown as green. Because of the relatively small contribution, the red and green curves are nearly identical and overlap the black one in the plot. The blue curve gives the ratio for all processes along with collisions with free electrons. Panel B) shows four shaded regions that illustrate how the ratio varies with the uncertainty in the collision rates (see Table 1) with N2 (black region), electrons (red region), H2 (dark green), and CH4 (blue). Again, the colors for H2 and CH4 nearly exactly overlap and only the blue region is visible.

Current usage metrics show cumulative count of Article Views (full-text article views including HTML views, PDF and ePub downloads, according to the available data) and Abstracts Views on Vision4Press platform.

Data correspond to usage on the plateform after 2015. The current usage metrics is available 48-96 hours after online publication and is updated daily on week days.

Initial download of the metrics may take a while.