Free Access

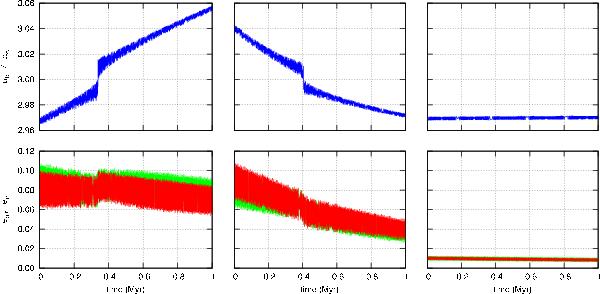
Fig. 11

thumbnail

Some possibilities for the long-term evolution of the GJ 163 planetary system over 1 Myr, including tidal effects with Δtp = 105 s. Time scales are inversely proportional to Δt (Eq. (4)), so 1 Myr of evolution roughly corresponds to 1 Gyr with Δtp = 100 s (Qp ~ 103) or 10 Gyr with Δtp = 10 s (Qp ~ 104). We show the ratio Pc/Pb of the orbital periods of the two inner planets (top) and their eccentricities eb (red) and ec (green) (bottom). We use three different sets of initial conditions: Table 2 (left); Table 2 with ac = 0.060679 and Δtc = 5 × 107 s (middle); Table 4 (right).

Current usage metrics show cumulative count of Article Views (full-text article views including HTML views, PDF and ePub downloads, according to the available data) and Abstracts Views on Vision4Press platform.

Data correspond to usage on the plateform after 2015. The current usage metrics is available 48-96 hours after online publication and is updated daily on week days.

Initial download of the metrics may take a while.