Free Access

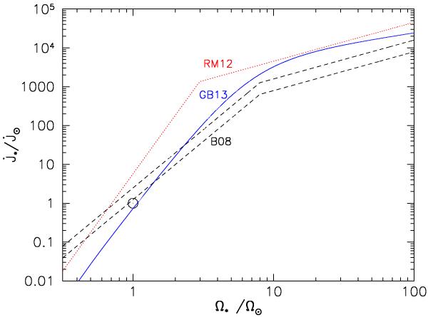
Fig. 8

thumbnail

Comparison of the angular momentum loss rate predicted by the wind braking prescriptions used in this study (solid line), in Reiners & Mohanty (2012) (dotted line), and in Bouvier (2008) (dashed lines). The angular momentum loss rate is scaled to the angular momentum loss rate of the present Sun, taken to be . The scaling of the braking law is K1 = 1.8 for the prescription used in this study. The Kawaler’s scaling constant was Kw = 7.5 × 1047 for slow rotators and Kw = 3.75 × 1047 for fast rotators. Other parameters of the braking laws are summarized in Table 4.

Current usage metrics show cumulative count of Article Views (full-text article views including HTML views, PDF and ePub downloads, according to the available data) and Abstracts Views on Vision4Press platform.

Data correspond to usage on the plateform after 2015. The current usage metrics is available 48-96 hours after online publication and is updated daily on week days.

Initial download of the metrics may take a while.