Free Access

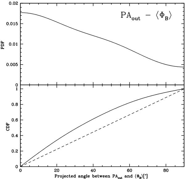
Fig. 8

thumbnail

Probability distribution function (PDF, top panel) and cumulative distribution function (CDF, bottom panel) of the projected angle between the magnetic field and the outflow axes (| PAout − ⟨ΦB⟩|). The dashed line is the CDF for random orientation of outflows and magnetic fields, i.e. all angular differences are equally likely. The results of the Kolmogorov-Smirnov test can be found in Table 3

Current usage metrics show cumulative count of Article Views (full-text article views including HTML views, PDF and ePub downloads, according to the available data) and Abstracts Views on Vision4Press platform.

Data correspond to usage on the plateform after 2015. The current usage metrics is available 48-96 hours after online publication and is updated daily on week days.

Initial download of the metrics may take a while.