Free Access

Fig. 2

thumbnail

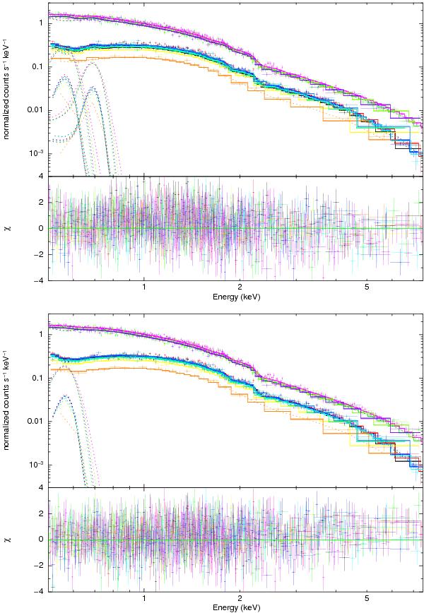
Upper panel: PN (upper) and MOS (lower) spectra of region 1 (shown in Fig. 1) with the corresponding SRCUT+Gaussians best-fit model and residuals (see Table 1). The contribution of each component is shown. Lower panel: same as upper panel for the loss-limited+Gaussians model.

This figure is made of several images, please see below:

Current usage metrics show cumulative count of Article Views (full-text article views including HTML views, PDF and ePub downloads, according to the available data) and Abstracts Views on Vision4Press platform.

Data correspond to usage on the plateform after 2015. The current usage metrics is available 48-96 hours after online publication and is updated daily on week days.

Initial download of the metrics may take a while.