Free Access

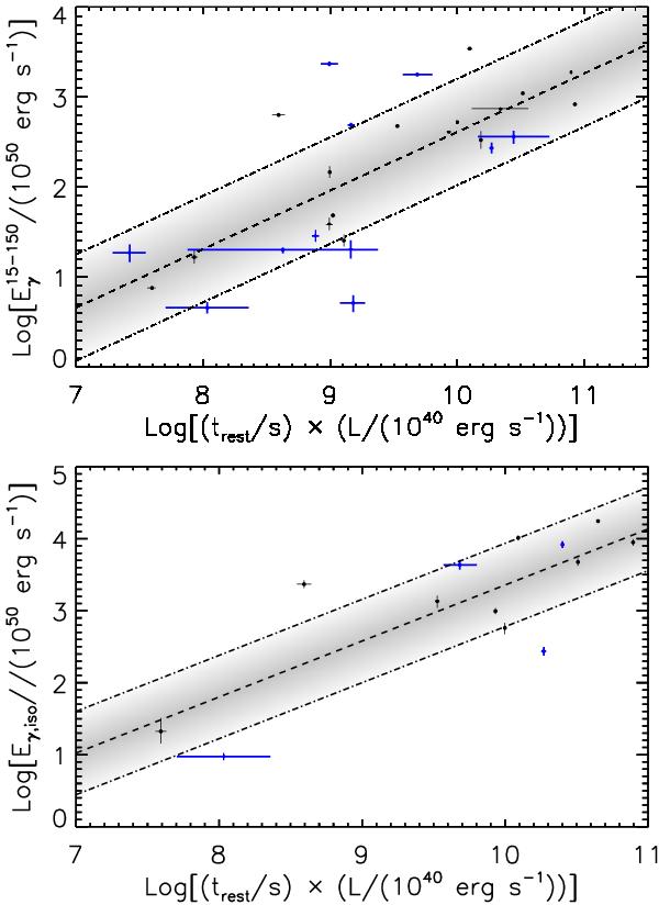
Fig. 10

thumbnail

Relations between the optical energy (time × luminosity) of the optical plateau end (blue dots) and of the peak (black dots) and the 15–150 keV BAT energy (top) and the isotropic prompt emission energy (bottom). Dashed line: best-fitting power-law model obtained accounting for the sample variance (D’Agostini 2005). Gray area: the 68% confidence region around the best fit. The results of the fit are listed in Table 2.

Current usage metrics show cumulative count of Article Views (full-text article views including HTML views, PDF and ePub downloads, according to the available data) and Abstracts Views on Vision4Press platform.

Data correspond to usage on the plateform after 2015. The current usage metrics is available 48-96 hours after online publication and is updated daily on week days.

Initial download of the metrics may take a while.