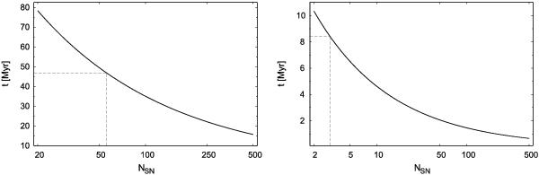
Fig. 6
 
      Fragmentation timescales for the SN-model; the dashed line marks the minimum number of SNe for a blow-out superbubble and the corresponding time until full fragmentation of the shell at the top of the bubble (for details see text and Tables 2 and 3). Left: double exponential layer with H = 500 pc and n0 = 0.5 cm-3 (symmetric model); right: exponentially stratified medium with H = 100 pc and n0 = 10 cm-3 (off-plane model).
Current usage metrics show cumulative count of Article Views (full-text article views including HTML views, PDF and ePub downloads, according to the available data) and Abstracts Views on Vision4Press platform.
Data correspond to usage on the plateform after 2015. The current usage metrics is available 48-96 hours after online publication and is updated daily on week days.
Initial download of the metrics may take a while.
