Free Access

Fig. 4

thumbnail

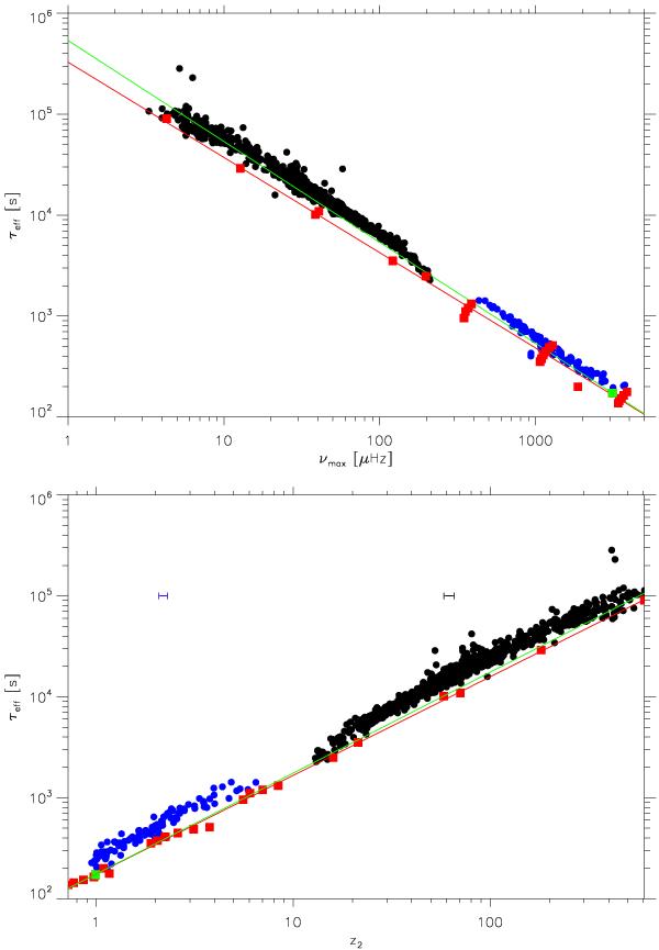
Top: characteristic time τeff as a function of νmax. The dots have the same meaning as in Fig. 1. The green curve correspond to a linear scaling in while the red curve is a power law of the form with the slope p =  −0.94 obtained by fitting the power law to the theoretical values of τeff (filled red squares). The filled green square corresponds to the value τeff = 173 s found for the solar 3D model (the last model in Table 1). Bottom: τeff as a function of the scaling z2 = (νmax/νref)   (ℳa/ℳa,0) where ℳa is supposed to scale according to Eq. (17). The symbols have the same meaning as in Fig. 1. The green line corresponds to a linear scaling in z2, while the red curve to a power law of the form where the slope p = 0.98 is obtained by fitting the theoretical values of τeff (red squares). The horizontal error bars show the uncertainty in z2 associated with a typical uncertainty of 100 K (rms) in Teff. The blue horizontal error bar corresponds to a typical MS and the black one to a typical RG star.

This figure is made of several images, please see below:

Current usage metrics show cumulative count of Article Views (full-text article views including HTML views, PDF and ePub downloads, according to the available data) and Abstracts Views on Vision4Press platform.

Data correspond to usage on the plateform after 2015. The current usage metrics is available 48-96 hours after online publication and is updated daily on week days.

Initial download of the metrics may take a while.