Free Access

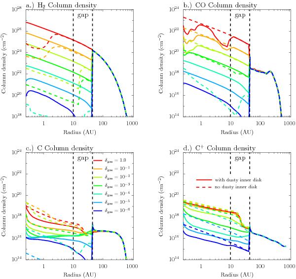
Fig. 8

thumbnail

Vertical column densities of the representative models (Table 1) a) H2; b) CO; c) neutral carbon, and d) ionized carbon. Different colors shows models with different values of δgas. Solid lines represent models with a dusty inner disk present (δdust = 10-5) and the dashed lines models without dusty inner disk (δdust = 10-10).

Current usage metrics show cumulative count of Article Views (full-text article views including HTML views, PDF and ePub downloads, according to the available data) and Abstracts Views on Vision4Press platform.

Data correspond to usage on the plateform after 2015. The current usage metrics is available 48-96 hours after online publication and is updated daily on week days.

Initial download of the metrics may take a while.