Free Access

Fig. 2

thumbnail

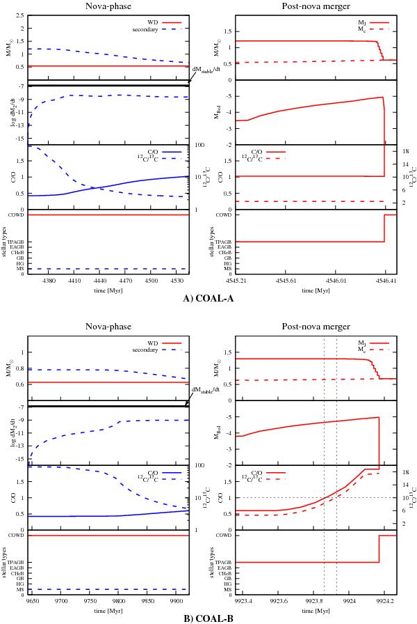
Evolution of COAL type systems of Table 1. For each system i.e. COAL-A (Fig. A) and COAL-B (Fig. B), the top and bottom panels on the left show masses and evolutionary stages of both the primary (WD) and the secondary stars during the nova phase when the mass-transfer rate () and surface chemistry (C/O, 12C/13C) for the donor (secondary) star evolve with time as depicted in the second and third panels. The right hand panels follow the post-nova merger properties i.e. mass, core-mass, luminosity, surface chemistry and its stage of evolution (EAGB/TPAGB). The COAL-A merger classifies as a J-star for the entire duration of its AGB lifetime, as compared to the the COAL-B merger that has C/O > 1 during TDU on the TPAGB resulting in a much shorter J-star phase marked by the vertical dotted lines.

This figure is made of several images, please see below:

Current usage metrics show cumulative count of Article Views (full-text article views including HTML views, PDF and ePub downloads, according to the available data) and Abstracts Views on Vision4Press platform.

Data correspond to usage on the plateform after 2015. The current usage metrics is available 48-96 hours after online publication and is updated daily on week days.

Initial download of the metrics may take a while.