Free Access

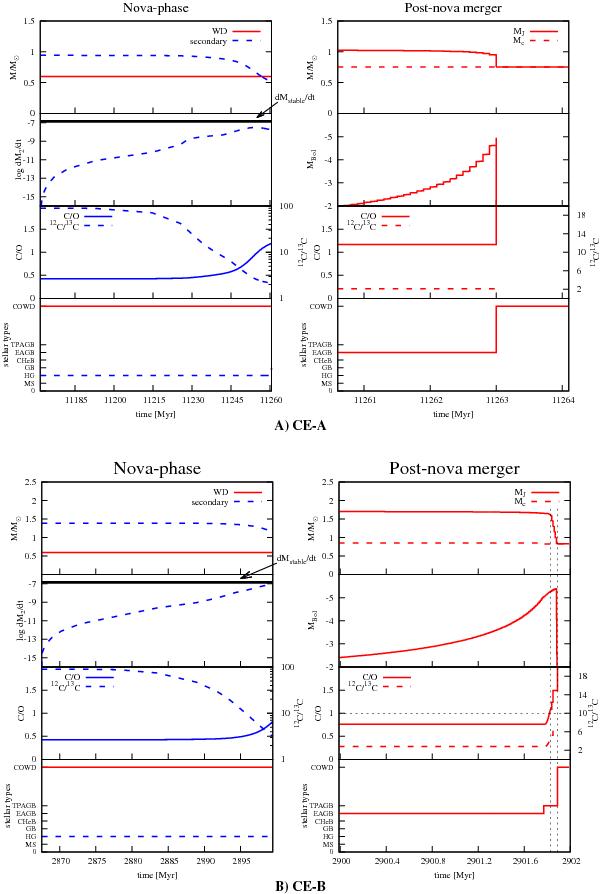
Fig. 3

thumbnail

Evolution of CE type systems of Table 1. Refer to Fig. 2 caption for description of evolutionary stages shown. The CE-A merger exhibits properties of a J-star on the EAGB unlike the COAL-B merger which has C/O > 1 only during TDU and hence has a short phase on the TPAGB (marked by the dotted lines) when it classifies as a J-star.

This figure is made of several images, please see below:

Current usage metrics show cumulative count of Article Views (full-text article views including HTML views, PDF and ePub downloads, according to the available data) and Abstracts Views on Vision4Press platform.

Data correspond to usage on the plateform after 2015. The current usage metrics is available 48-96 hours after online publication and is updated daily on week days.

Initial download of the metrics may take a while.