Free Access

Fig. 6

thumbnail

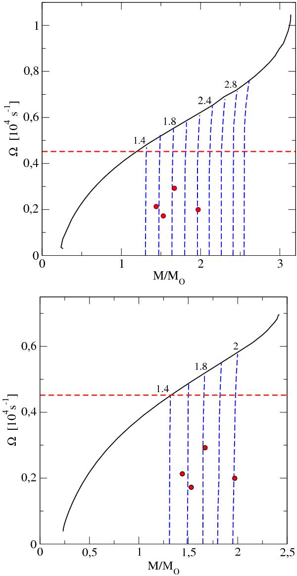
Dependence of spin frequency of configurations on gravitational mass. The conventions are the same as in Fig. 5. The dots show the four pulsars listed in Table 2, which are among fast rotating pulsars with available mass measurements. The horizontal dashed line is the spin frequency of the fastest rotating pulsar J1748 − 2446. The upper panel corresponds to EoS A and the lower panel to EoS B.

This figure is made of several images, please see below:

Current usage metrics show cumulative count of Article Views (full-text article views including HTML views, PDF and ePub downloads, according to the available data) and Abstracts Views on Vision4Press platform.

Data correspond to usage on the plateform after 2015. The current usage metrics is available 48-96 hours after online publication and is updated daily on week days.

Initial download of the metrics may take a while.