Free Access

Fig. 3

thumbnail

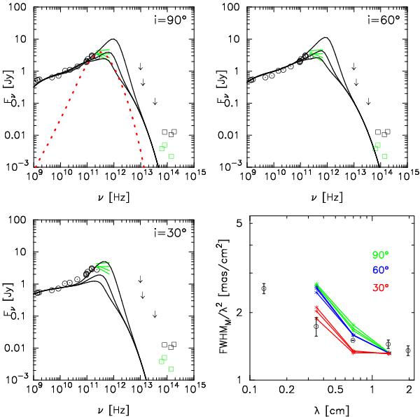
SEDs computed for parameters given in Table 1. SEDs are time averaged. Each line corresponds to a model with a different temperature ratio in the accretion disk, (Tp/Te)d = 10,15 and 20, and various inclinations. The red dashed line is the “best-bet” model from Mościbrodzka et al. (2009), which assumes i ≈ 90° and Tp/Te = 3 in the entire computational domain. The data points are the same as those used in Mościbrodzka et al. (2009). The bottom-right panel shows the sizes of the GRMHD jet model including scatter-broadening. Open symbols are Sgr A* measured sizes from Bower et al. (2006) and Doeleman et al. (2008) (1.3 mm).

This figure is made of several images, please see below:

Current usage metrics show cumulative count of Article Views (full-text article views including HTML views, PDF and ePub downloads, according to the available data) and Abstracts Views on Vision4Press platform.

Data correspond to usage on the plateform after 2015. The current usage metrics is available 48-96 hours after online publication and is updated daily on week days.

Initial download of the metrics may take a while.