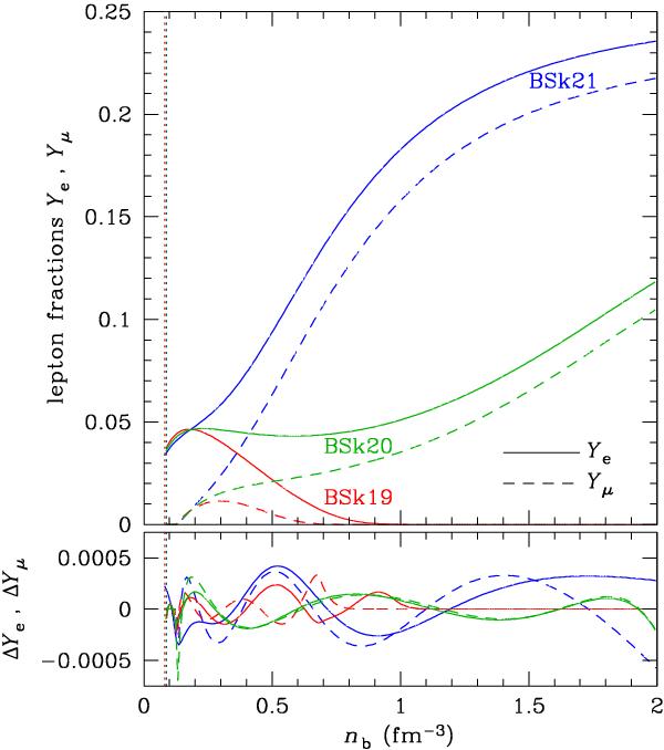
Fig. 4
 
      Upper panel: number fractions of electrons Ye (solid lines) and muons Yμ (dashed lines) in the core of a neutron star, relative to the number of nucleons, as functions of nucleon number density nb for the three EoSs indicated near the curves. Lower panel: differences between the fit (9) and numerically computed tables for Ye and Yμ, plotted against nb. The vertical dotted lines show the position of the boundary between the crust and the core (ncc in Table 7).
Current usage metrics show cumulative count of Article Views (full-text article views including HTML views, PDF and ePub downloads, according to the available data) and Abstracts Views on Vision4Press platform.
Data correspond to usage on the plateform after 2015. The current usage metrics is available 48-96 hours after online publication and is updated daily on week days.
Initial download of the metrics may take a while.
