Free Access

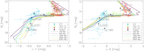
Fig. 1

thumbnail

Color−magnitude diagram in the MKO system showing the brown dwarf sample from Dupuy & Liu (2012) (except M-type brown dwarfs), our targets and the BT Settl-models (Allard et al. 2012). The objects in the Dupuy & Liu (2012) sample with spectral type between L2.5-L9 are shown in red; the objects with spectral types between L9.5 and T4 are shown in green; and the objects with spectral type >T4 are shown in light blue. Our targets, which are listed in Table 1, are shown in black. We overplot the evolutionary models from Allard et al. (2012) in MKO photometry for different ages from 100 Myr to 5000 Myr.

This figure is made of several images, please see below:

Current usage metrics show cumulative count of Article Views (full-text article views including HTML views, PDF and ePub downloads, according to the available data) and Abstracts Views on Vision4Press platform.

Data correspond to usage on the plateform after 2015. The current usage metrics is available 48-96 hours after online publication and is updated daily on week days.

Initial download of the metrics may take a while.