Free Access

Fig. 2

thumbnail

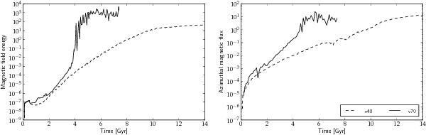
Left panel: magnetic-field energy evolution for models from Table 1. Right panel: total azimuthal magnetic flux evolution. The plotted value is the absolute value of Bφ, because it changes its sign at the beginning of the simulation and therefore it is difficult to show it in a log-plot.

Current usage metrics show cumulative count of Article Views (full-text article views including HTML views, PDF and ePub downloads, according to the available data) and Abstracts Views on Vision4Press platform.

Data correspond to usage on the plateform after 2015. The current usage metrics is available 48-96 hours after online publication and is updated daily on week days.

Initial download of the metrics may take a while.