Free Access

Fig. 2

thumbnail

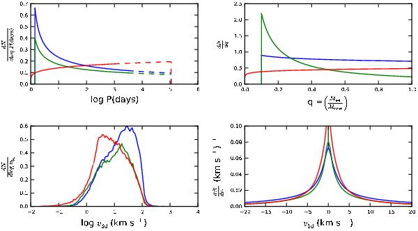
Assumed period distribution (upper left) and mass ratio distribution (upper right), as well as the unprojected logarithmic velocity distribution (lower left) and the projected velocity distribution (lower right). The extrapolation of the period distribution from the observed range to an upper limit of 300 years is plotted as a dashed line. This extrapolation has been taken into account in the lower panels that show the velocity distributions. The blue lines show the distributions from Sana et al. (2012), the green lines those from Sana et al. (2013), and the red lines the distributions from Kiminki & Kobulnicky (2012), as detailed in Table 1.

Current usage metrics show cumulative count of Article Views (full-text article views including HTML views, PDF and ePub downloads, according to the available data) and Abstracts Views on Vision4Press platform.

Data correspond to usage on the plateform after 2015. The current usage metrics is available 48-96 hours after online publication and is updated daily on week days.

Initial download of the metrics may take a while.