Free Access

Fig. 8

thumbnail

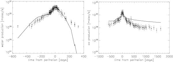
Left: Water production rate for a nucleus composed of crystalline ice where carbon monoxide is codeposited. The rest of the parameters defining this simulation are the same as the reference model and can be consulted in Table 3. Right: Carbon monoxide production rate for the same simulation.

This figure is made of several images, please see below:

Current usage metrics show cumulative count of Article Views (full-text article views including HTML views, PDF and ePub downloads, according to the available data) and Abstracts Views on Vision4Press platform.

Data correspond to usage on the plateform after 2015. The current usage metrics is available 48-96 hours after online publication and is updated daily on week days.

Initial download of the metrics may take a while.