Free Access

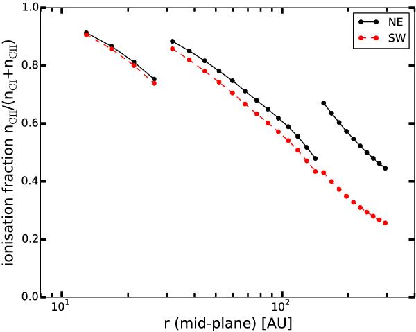
Fig. 3

thumbnail

Ionisation fraction in the mid-plane for the best ring fit. Discontinuities indicate the borders between different rings. For this particular fit, the innermost ring (1–10 AU) is empty, thus the ionisation fraction is not defined there. The difference in ionisation for the outermost ring (150–300 AU) is due to the four times higher best-fit density in the SW for this ring (see Table 3).

Current usage metrics show cumulative count of Article Views (full-text article views including HTML views, PDF and ePub downloads, according to the available data) and Abstracts Views on Vision4Press platform.

Data correspond to usage on the plateform after 2015. The current usage metrics is available 48-96 hours after online publication and is updated daily on week days.

Initial download of the metrics may take a while.