Free Access
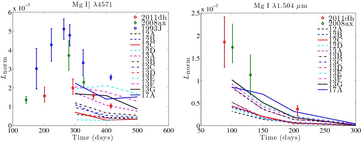
Fig. 22

Luminosity in Mg I] λ4571 (left) and Mg I λ1.504 μm (right) relative to the 56Co decay power in SN 1993J, SN 2008ax, and SN 2011dh, and in the models. The Mg I] λ4571 line is typically very blended in the models before 300 days, and so we do not plot the output of the line extraction algorithm before this time.
This figure is made of several images, please see below:
Current usage metrics show cumulative count of Article Views (full-text article views including HTML views, PDF and ePub downloads, according to the available data) and Abstracts Views on Vision4Press platform.
Data correspond to usage on the plateform after 2015. The current usage metrics is available 48-96 hours after online publication and is updated daily on week days.
Initial download of the metrics may take a while.