Free Access
Issue
A&A
Volume 612, April 2018
Article Number A21
Number of page(s) 17
Section Stellar structure and evolution
DOI https://doi.org/10.1051/0004-6361/201731835
Published online 19 April 2018

© ESO 2018

1 Introduction

Convective overshoot is a long-standing and thorny problem in stellar physics. Shaviv & Salpeter (1973) were the first to try to compute the overshooting above a convective core. They computed the slowdown of a rising convective bubble above the boundary, as given by the Schwarzschild criterion, assuming that the temperature gradient is slightly sub-adiabatic. However, they did not discuss the motion of the downward material, which remained unexplained. Their work was followed by many others, which are critically discussed in Renzini (1987). Due to the large uncertainties of the theories available at that time, the overshooting distance was quickly considered as a free parameter, taken proportional to the pressure scale height at the classical surface of the core (i.e. as given by the classical Schwarzschild criterion). In addition, there is still no agreement on the value of the temperature gradient to be adopted in the overshooting layers. Some codes assume an adiabatic gradient while others prefer the radiative one, so that the extent obtained through fitting of evolutionary tracks using observations depends on this choice.

From the late seventies, the group led by Xiong (see Xiong & Deng 2001 and references therein) developed a theory of convection based on a Reynolds stress approach and were able to incorporate it into an evolution code (see also the more recent work by Kupka & Montgomery 2002). This type of approach is quite powerful and widely used in geophysics but it provides results that are very sensitive to the adopted closure model (and associated free parameters) as well as to the domain of applicability of the closure model. Consequently, only a handful of evolutions have been computed using it. A very complete review giving the present state of the problem and including a clear historic of the modelling of convection is given by Kupka & Muthsam (2017). Recently, based on 3D hydrodynamical simulations of convection in massive stars (e.g. Meakin & Arnett 2007b; Arnett et al. 2009; Arnett & Meakin 2011; Viallet et al. 2013); Arnett et al. (2015) proposed a model based on a Reynolds-averaged Navier-Stokes equations (RANS) analysis to propose a set of equations, which they call the 321D algorithm, to include in 1D evolution codes. This promising approach presents the advantage of solving the problem and of dealing with convective boundary layers without making an assumption concerning the flow geometry.

On the other hand, Schmitt et al. (1984) introduced the theory of turbulent plumes in astrophysics. It was applied to stellar envelopes by Rieutord & Zahn (1995) and adapted to convective cores by Lo & Schatzman (1997). In these works, the spherically-averaged equations are ignored with the exception of the continuity equation, which is used to modify the advection term given by Taylor’s hypothesis. This assumption, also known as the turbulent entrainment hypothesis, states that the radial inflow of matter is proportional to the central vertical velocity inside a plume (see Turner 1986, for details). This approach has several consequences, the main one being that the coefficient of proportionality in Taylor’s hypothesis is to be specified. It is commonly considered as a universal value but has only been constrained in geophysical flows or by laboratory experiments. Therefore, its value in the stellar context remains subject to uncertainties. One also has to assume that the temperature gradient in the overshooting layers is everywhere close to the adiabatic value. Finally, one is left with a free parameter that is the number of plumes and one has to assume that all the energy, which is not carried out by radiation, is carried out in the plumes. However, this last hypothesis overlooks the fact that the energy generation rate is, with a very good approximation, the same at all points of a spherical surface, as the convective fluctuation of the temperature and the density are very small and one needs to explain how the energy flux would be concentrated into the plumes. Moreover, this assumption cannot be maintained as soon as the equations averaged over a spherical surface are taken into account. In addition, it is also fundamental to consider the kinetic energy flux because, as will be shown without any assumption in this article, if it is neglected, overshoot is impossible. We must also take into account that this flux has different signs in the up- and down-flows (while the convective flux has the same sign in both regions) and that it is non-negligible at every point on a spherical surface. This holds even in the local mixing-length theory (LMLT) for which only its average value vanishes. Therefore, an extra equation, which enables us to compute the super-adiabatic gradient at every point of the convective region, must be considered. It allows us to remove the adiabatic hypothesis in the overshooting layers.

Consequently, we will take into account the equations of continuity, mechanical energy conservation, and thermal energy conservationintegrated over the surface of a sphere. This set of equations will be supplemented by the same equations but integrated over the “horizontal” section of a plume. Using the above-mentioned equations enables the system to be closed and it is no longer necessary to use Taylor’s hypothesis. We have, however, to make an approximation, present in all the theories of convection, because we do not know the turbulent energy spectrum: we have to give a formula for the kinetic energy dissipation rate, which is a phenomenon taking place at the end of the turbulent spectrum (i.e. at high wave numbers) using variables characteristic of the low wave numbers. Therefore, we must choose an expression for the kinetic energy dissipation rate that is only an order of magnitude and that introduces a parameter similar to the mixing length. As a consequence, the theory we propose is essentially a fully coherent non-local mixing-length theory, which offers a self-consistent method to compute the structure of the overshooting layers. Unfortunately, the price to pay is that we are left with an eight-order system (plus essentially two algebraic equations). We also note that recent results obtained by 3D simulations of deep stellar convection (Arnett et al. 2009) were able to justify the formula giving the kinetic energy dissipation rate that has been used for many years for the above mentioned reason. However, they show that the mixing length is not the pressure scale height, as usually assumed, but the size of the larger eddies, which is close to the size of the convection zone (see also Sect. 2 in Arnett et al. 2015).

The theory we will develop can in principle be applied to any convective region, however in the outermost layers of convective envelopes, where the temperature gradient is significantly non-adiabatic and where the convective cells observed at the surface are formed, the plume theory is no longer applicable. Therefore to be able to apply the plume theory to stellar envelopes, it will be necessary to use numerical simulations as initial conditions on top of the quasi-adiabatic region. Alternatively, it can be applied if the solutions become quickly independent of the upperboundary, as suggested by Rieutord & Zahn (1995) for a somewhat idealized problem. On the other hand, nothing seems to be in contradiction with the application of the theory in convective cores. This motivated our choice to develop the theory for a convective core with gas moving upwards in the plumes. Nevertheless, we will indicate how easy it is to modify the equations for applications to envelopes.

Let us recall that a convective zone boundary is the point where both the radial component of the velocity is cancelled out (V r = 0) and radiation carries out all the energy (L = LR, where L and LR are the total and radiative luminosities, respectively). We now still have to define precisely what the overshooting region is. We would like to define it as the layers of the convective core laying above the core boundary predicted by the LMLT. The boundary given by the LMLT satisfies the two conditions V r = 0 and L = LR. It is worth recalling that it is mathematically not allowed to find that boundary using an interpolation of either ∇R − ∇a (Schwarzschild criterion, where ∇R and ∇a are the radiative and adiabatic gradients, respectively) or ∇R −∇L (this is the Ledoux criterion, see Gabriel et al. 2014, their Eq. (10), for a definition of ∇L ) when that function is discontinuous at the surface of the core (see Gabriel et al. 2014). When a better theory is used, we see that the conditions L = LR and ∇a = ∇R are not fulfilled at the same point and therefore these two conditions are not equivalent to define the top of the convective core without overshooting. We will thus take the bottom of the overshooting layers at the point where L = LR and V r ≠ 0, as this is the condition that is physically meaningful while the other one, ∇a = ∇R, is equivalent only in the frame of the LMLT. Meakin & Arnett (2007b) give another definition of the convection zone boundaries. They are given by the points where the bulk Richardson number becomes larger than 1∕4. Even if there is some uncertainty over what expression of that number should be used (e.g. Meakin & Arnett 2007b; Arnett et al. 2015; Cristini et al. 2017), when the convective core is receding our definition and theirs are practically equivalent. The rise of the potential wall produced by the molecular weight gradient, which gives rise to a fast increase of the Brunt-Väisälä, will quickly stop raising matter already strongly slowed down in the layers with a sub-adiabatic temperature gradient, which startsfrom below the overshooting region as we define it. In contrast, the definition used by Meakin & Arnett (2007b) will be very useful when the convection core expends, all the more so as they give an expression for the entrainment velocity. We will come back to this point in Sect. 8 devoted to expanding cores.

The paper is organized as follows: Sect. 2 introduces the basic equations of the problem while Sects. 3 and 4 discuss the mean-field and plume-averaged equations, respectively. The system of equations to be integrated is summarized in Sect. 5 while a discussion on the treatment of parameters is provided in Sect. 6 and the boundary conditions in Sect. 7. In Sect. 8, the case of an expanding convective core is discussed. Section 9 is dedicated to the conclusions.

2 Equations of the problem

In the following, we will make use of two usual hypotheses for convection, namely: stationarity and vanishing pressure fluctuations as justified in Massaguer & Zahn (1980). These two simplifying assumptions are indeed open to criticism. First, the hypothesis of vanishingpressure fluctuations is not sustained by numerical simulations. Second, as could be expected, the hypothesis of stationarity contradicts a basic characteristic of convection. At its surface, waves are irregularly produced with time in the stable region causing extra mixing. Arnett & Meakin (2011) discovered that during late phases of stellar evolution numerical simulations present spatial and time variations in the velocity field, which lead to oscillations similar to those observed in irregular and semi irregular variables. These oscillations caused by luminosity fluctuations directly associated with turbulent convective cells are inherently nonlinear, that is to say they are not detectable through the usual linear studies, and are produced by what they call the τ-mechanism (see also Smith & Arnett 2014). Also, our theory predicts one kind of plume, which represents the average of all plumes, but strong plumes will lead to more mixing and this mixing is irreversible.

Moreover, we will consider chemically homogeneous convective cores. This is justified for a shrinking convective core as encountered in massive main-sequence stars. Indeed, for those stars the core mass grows quickly enough so that when it reaches its maximum value, the star is still chemically homogeneous with a good approximation. In that case, the total mass of the core (including the overshoot region) decreases during the evolution as does the core mass obtained from the LMLT. The case of an expanding convective core with a discontinuity of chemical composition at its surface will be briefly considered in Sect. 8.

The equations as given in this section are taken from Ledoux & Walraven (1958) in which any variable y is split into two parts y= y ¯ +\UpDeltay, Mathematical equation: \begin{equation*}y=\overline{y}+\UpDelta y, \end{equation*}(1)

where y ¯ Mathematical equation: $\overline{y}$ is the mean value of y, averaged over a spherical surface. We will consider the variables y = {p, T, ρ, ρV i}, where p is the pressure, T the temperature, ρ the density, and ρV i the mass flux (V being the convective velocity) with ρ V i ¯ =0 Mathematical equation: $\overline{\rho V_i} = 0$. Since we consider a hypothetic stationary convection, we have here to consider spatial averages only and we do not, as in the more realistic numerical simulations, have to distinguish between spatial and time averages.

2.1 Equation of state

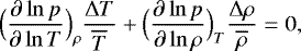
As already mentioned, the pressure fluctuations are neglected (Δp = 0) and the convective zone is considered to be chemically homogeneous. Thus, one has ( lnp lnT ) ρ \UpDeltaT T ¯ + ( lnp lnρ ) T \UpDeltaρ ρ ¯ =0, Mathematical equation: \begin{equation*}\Bigl({\frac{\partial \ln p } {\partial \ln T} }\Bigr)_{\rho} \frac{{\UpDelta} T}{\overline{T}} + \Bigl({\frac{\partial \ln p } {\partial \ln \rho} }\Bigr)_T \frac{{\UpDelta} \rho}{\overline{\rho}} = 0, \end{equation*}(2)

or equivalently \UpDeltaρ ρ ¯ +Q \UpDeltaT T ¯ =0withQ= ( lnρ lnT ) p . Mathematical equation: \begin{equation*} \frac{{\UpDelta} \rho}{\overline{\rho}} + Q \frac{{\UpDelta} T}{\overline{T}} = 0 \quad {\textrm{with}} \quad Q = - \Bigl({\frac{\partial {\ln \rho}} {\partial {\ln T}} }\Bigr)_p. \end{equation*}(3)

Rigorously, instead of Eq. (2) one should write ( lnp lnT ) ρ \UpDeltaT T ¯ + ( lnp lnρ ) T \UpDeltaρ ρ ¯ + i ( lnp ln X i ) ρ,T \UpDelta X i X i ¯ =0, Mathematical equation: \begin{equation*} \Bigl({\frac{\partial \ln p } {\partial \ln T} }\Bigr)_{\rho} \frac{{\UpDelta} T}{\overline{T}} + \Bigl({\frac{\partial \ln p } {\partial \ln \rho} }\Bigr)_T \frac{{\UpDelta} \rho}{\overline{\rho}} + \sum_{i} \Bigl({\frac{\partial {\ln p}} {\partial {\ln X_i}} }\Bigr)_{\rho,T} \frac{{\UpDelta} X_i}{\overline{X_i}} = 0, \end{equation*}(4)

where Xi is the fraction by weight of nuclei of type i. One should also add to the kinetic equations for nuclear reactions a turbulent diffusion term (which is not well known). This would make the problem much more complex while introducing a non-negligible effect only in a very tiny layer at the surface of the core where the lifetime of the convective elements becomes of the same order as the thermal diffusion time. Therefore, we will ignore it and consider only Eq. (2).

Let us also recall the well-known formula for the adiabatic gradient (see for instance Landau & Lifchitz 1967, Eq. 16.3) a = p ¯ C p ρ ¯ T ¯ ( lnρ lnT ) p = Q p ¯ C p ρ ¯ T ¯ , Mathematical equation: \begin{equation*} \nabla_{a} = - \frac{\overline{p}}{C_p \overline{\rho} \overline{T}} \Bigl({\frac{\partial {\ln \rho}} {\partial {\ln T}} }\Bigr)_p = \frac{Q \overline{p} }{C_p \overline{\rho} \overline{T}}, \end{equation*}(5)

where Cp is the heat capacity at constant pressure.

2.2 Continuity equation

For stationary convection, if we assume as is usually done that V ϕ is independent of ϕ, the mass conservation equation can be written 1 r 2 r ( r 2 ρ V r )+ 1 rsinθ θ (sinθρ V θ )=0, Mathematical equation: \begin{equation*}\frac{1}{r^2} {\frac{\partial {}} {\partial {r}} } \Bigl(r^2 \rho V_r\Bigr) + \frac{1}{r \sin \theta } {\frac{\partial {}} {\partial {\theta }} } \Bigl(\sin \theta \rho V_{\theta} \Bigr) = 0, \end{equation*}(6)

where V r, V θ, V ϕ are the three components of the convective velocity (V).

From Eq. (6), it follows that there is no net mass flux over a spherical surface, that is, that ρV ¯ =0 Mathematical equation: $\overline{\rho \mathbf{V}} = 0$. Therefore, one has ρ ¯ V ¯ + \UpDeltaρV ¯ =0. Mathematical equation: \begin{equation*}\overline{\rho} \, \overline{\mathbf{V}} + \overline{{\UpDelta} \rho \, \mathbf{V}} = 0. \end{equation*}(7)

As ρV ¯ =0 Mathematical equation: $\overline{\rho \mathbf{V}} = 0$, we prefer to use ρV as a fundamental variable rather than V.

2.3 Mechanical energy conservation

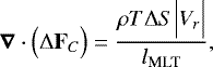
The equation of motion, assuming Δp = 0, is (ρVV)=ρV(V)= \UpDeltaρ ρ p ¯ α ρV| V r | l MLT . Mathematical equation: \begin{equation*}\boldsymbol{\nabla} \cdot \Bigl( \rho \mathbf{V} \mathbf{V} \Bigr) = \rho \mathbf{V} \cdot \Bigl(\boldsymbol{\nabla} \cdot \mathbf{V}\Bigr) = \frac{{\UpDelta} \rho}{\rho} \boldsymbol{\nabla} \overline{p} - \alpha \frac{\rho \mathbf{V} \Bigl \vert V_r \Bigr \vert}{l_{\textrm{MLT}}}. \end{equation*}(8)

The coefficient α as dissipation factor was first introduced by Prandl (see references in Arnett et al. 2015) but the same formula was also introduced independently by Cowling (1935). The last term, which comes from the dissipation by viscosity of kinetic energy at the low end of the energy cascade, is defined by using 1∕τ = α|V r|∕lLMLT for the characteristic time (τ) of kinetic energy dissipation into heat. Most often, lLMLT is approximated by lLMLTHp, as has been the case since Böhm-Vitense. In contrast, the recent work by Arnett et al. (2015) suggests the use of 1∕τ =|V |∕ld with ld ≈ 0.8lCZ (see their Table 1), where lCZ is the thickness of the convection zone. This is an important change as it makes convection much more efficient and reduces the departure from adiabatic gradient. We momentarily keep the old definition of “the mixing length” to allow for the following discussion, but we will adopt Arnett et al.’s definition from Eq. (10) on.

We also assumed that the static equilibrium equation is given by d p ¯ dr = ρ ¯ g, Mathematical equation: \begin{equation*} {\frac{\textrm{d} {\overline{p}} } {\textrm{d} {r}} } = -\overline{\rho} g, \end{equation*}(9)

with p the gas pressure. The latter equation is verified to a good accuracy in the deep interior of stars where Vc (c being the sound speed).

The last term of Eq. (8) represents the divergence of the viscous stress tensor where lMLT is the mixing length. The coefficient α is introduced in order to recover the equations of the LMLT for the local solution of the linearized equations for convection (see Gabriel et al. 1974, 1975; Gabriel 1996, for details). For instance, to obtain the equation of Henyey et al. (1965), we must use the value α = 8∕3. However, there is no reason to also adopt this value in a convective core. Nuclear reactions are going on in the core and also the energy losses are not necessarily isotropic as assumed in the outer layers.

However, to simplify the notations, we have chosen here to set α equal to unity. It is equivalent to define a new mixing length l = lMLTα and to define the characteric dissipation time of kinetic energy by τ = l∕|V r|. This means that here the mixing length must not be interpreted as the mean travel distance of a turbulent eddy but as the length that allows us to define the correct characteristic time τ. It was already so in the formalism adopted by Gabriel et al. (1974, 1975) and Gabriel (1996).

To go further, we multiply Eq. (8) by V to get the equation of kinetic energy conservation ( 1 2 ρ V 2 V)= \UpDeltaρ ρ V p ¯ ρ V 2 | V r | l , Mathematical equation: \begin{equation*}\boldsymbol{\nabla} \cdot \Bigl(\frac{1}{2} \rho V^2 \mathbf{V}\Bigr) = \frac{{\UpDelta} \rho}{\rho} \mathbf{V}\cdot \boldsymbol{\nabla} \overline{p} - \frac{\rho \mathbf{V}^2 \Bigl \vert V_r \Bigr \vert}{l}, \end{equation*}(10)

where we introduced our above-mentioned definition of l. The parameter l used in the above equation is related to that defined by Arnett et al. (2009, 2015) by l= l d | V r | |V| . Mathematical equation: \begin{equation*} l=l_d \frac{\Bigl \vert V_r \Bigr \vert}{\Bigl \vert V \Bigr \vert}. \end{equation*}(11)

They also show that this expression for the kinetic energy dissipation is obtained because that term has the Kolmogorov form.

We also introduce the kinetic energy flux of turbulence F K = ρV 2V∕2 and the expression adopted for the kinetic energy dissipation rate into heat ρϵ2 = ρV 2τ = ρV 2|V r|∕l . It provides for the linearized equations of convection a local stationary solution identical to the LMLT ones (see Gabriel et al. 1974, 1975; Gabriel 1996).

Equation (10) averaged over a spherical surface then gives F K ¯ = \UpDeltaρ ρ V ¯ p ¯ ρ ϵ 2 ¯ . Mathematical equation: \begin{equation*}\boldsymbol{\nabla} \cdot \overline{\mathbf{F}_K} = \overline{\frac{{\UpDelta} \rho}{\rho} \mathbf{V}} \cdot \boldsymbol{\nabla} \overline{p} - \overline{\rho \epsilon_2}. \end{equation*}(12)

2.4 Thermal energy conservation

Let us now consider the thermal energy equation ( F H + F R )Vp=ρϵ+ ρ V 2 | V r | l , Mathematical equation: \begin{equation*}\boldsymbol{\nabla} \cdot \Bigl( \mathbf{F}_H + \mathbf{F}_R\Bigr) - \mathbf{V} \cdot \boldsymbol{\nabla} p = \rho \epsilon + \frac{\rho \mathbf{V}^2 \Bigl \vert V_r \Bigr \vert}{l}, \end{equation*}(13)

where FR is the radiative flux, ϵ is the energy generation rate, and FH is the enthalpy flux defined as F H ρUV+pV=( U ¯ + p ¯ ρ ¯ + T ¯ \UpDeltaS)ρV Mathematical equation: \begin{equation*} \mathbf{F}_H \equiv \rho U \mathbf{V} + p \mathbf{V} = \Bigl( \overline{U} + \frac{\overline{p}}{\overline{\rho}} + \overline{T} {\UpDelta} S \Bigr) \rho \mathbf{V} \end{equation*}(14)

with S being the entropy. Using Eq. (6), the divergence of the enthalpy flux can be written as F H =ρV( p ¯ ρ ¯ + T ¯ S ¯ )+ F C , Mathematical equation: \begin{equation*}\boldsymbol{\nabla} \cdot \mathbf{F}_H = \rho \mathbf{V} \cdot \Bigl(\frac{\boldsymbol{\nabla} \overline{p}}{\overline{\rho}} + \overline{T} \boldsymbol{\nabla} \overline{S} \Bigr) + \boldsymbol{\nabla} \cdot \mathbf{F}_C, \end{equation*}(15)

where the convective flux, FC, is defined by F C T ¯ \UpDeltaSρV. Mathematical equation: \begin{equation*}\mathbf{F}_C \equiv \overline{T} {\UpDelta} S \rho \mathbf{V}. \end{equation*}(16)

The isentropic assumption has not been made so that Eq. (15) can be considered as a generalization of the energy equation used in Rieutord & Zahn (1995).

Using Eqs. (10) and (15), Eq. (13) finally becomes ( F K + F C + F R )+ρV( T ¯ S ¯ )=ρϵ. Mathematical equation: \begin{equation*}\boldsymbol{\nabla} \cdot \Bigl( \mathbf{F}_K + \mathbf{F}_C + \mathbf{F}_R\Bigr) + \rho \mathbf{V} \cdot \Bigl( \overline{T} \boldsymbol{\nabla} \overline{S} \Bigr) = \rho \epsilon. \end{equation*}(17)

Averaging over a spherical surface, we recover the usual equation of thermal energy conservation ( F K ¯ + F C ¯ + F R ¯ )= ρϵ ¯ Mathematical equation: \begin{equation*}\boldsymbol{\nabla} \cdot \Bigl( \overline{\mathbf{F}_K} + \overline{\mathbf{F}_C} + \overline{\mathbf{F}_R} \Bigr) = \overline{\rho \epsilon} \end{equation*}(18)

or equivalently L K ¯ + L C ¯ + L R ¯ = L, ¯ Mathematical equation: \begin{equation*}\overline{L_K} + \overline{L_C}+\overline{L_R} = \overline{L,} \end{equation*}(19)

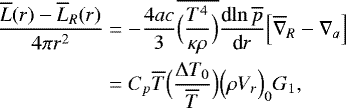
where L ¯ K , L ¯ C , L ¯ R Mathematical equation: $\overline{L}_K,\overline{L}_C,\overline{L}_R$ are the average of the kinetic, convective, radiative luminosities, and L ¯ Mathematical equation: $\overline{L}$ the total luminosity. By taking the pressure fluctuations into account and by introducing a new term that implies that energy generation also supplies the work needed to maintain the convective flow, Arnett et al. (2009) (Sect. 3) and Meakin & Arnett (2007b) (Appendix A) obtained a different expression for Eq. (17). Also if the driving of turbulence may be local, turbulent flows redistribute turbulence more uniformly, implying non-zero turbulent flux.

At this point, it is worth mentioning that convection is more efficient in rising plumes rather than in the downward flow because the convective flux is larger (except if the surface area occupied by up- and down-flows is the same) and also because of the positive kinetic energy flux (while it is negative in the down-moving gas). Therefore, rising plumes carry out more energy than produced inside the plumes since ϵ is, with a good approximation, the same everywhere on a spherical surface. For instance, if in a thin layer the contribution of the radial component of the fluxes to ∇⋅(FK + FC) averaged over a plume is larger than its value averaged over a spherical surface, the difference must be counterbalanced by the contribution of the horizontal components directed inwards to the plume to prevent the gas of that layer from cooling down. This horizontal flux is necessary to allow a stationary state. This remark holds also for the LMLT even if, in that case, the flux of kinetic energy from the down to the up-flow allows a kinetic energy flow averaged over a spherical surface equals to zero.

Subtracting Eq. (18) from Eq. (17) we further get (\UpDelta F C +\UpDelta F K +\UpDelta F R )+ρV( T ¯ S ¯ )=\UpDelta(ρϵ). Mathematical equation: \begin{equation*}\boldsymbol{\nabla} \cdot \Bigl( {\UpDelta} \mathbf{F}_C + {\UpDelta} \mathbf{F}_K + {\UpDelta} \mathbf{F}_R\Bigr) + \rho \mathbf{V} \cdot \Bigl( \overline{T} \boldsymbol{\nabla} \overline{S} \Bigr) = {\UpDelta} \Bigl(\rho \epsilon\Bigr). \end{equation*}(20)

In the framework of the LMLT, the first term of the latter equation reads (\UpDelta F C )= ρT\UpDeltaS| V r | l MLT , Mathematical equation: \begin{equation*} \boldsymbol{\nabla} \cdot \Bigl({\UpDelta} \mathbf{F}_C \Bigr) = \frac{\rho T {\UpDelta} S \Bigl\vert V_r \Bigr\vert }{l_{\textrm{MLT}}}, \end{equation*}(21)

and the kinetic energy flux (FK) is ignored. However, FK is everywhere different from zero and only its average over a spherical surface vanishes. Therefore, it is not justified to assume that ΔF K = 0 and we have to add an extra term. To this end, we will assume that (\UpDelta F K +\UpDelta F C )= ρT\UpDeltaS| V r | αl + α 2 k 2 ρ V r 3 l . Mathematical equation: \begin{equation*}\boldsymbol{\nabla} \cdot \Bigl({\UpDelta} \mathbf{F}_K + {\UpDelta} \mathbf{F}_C \Bigr) = \frac{\rho T {\UpDelta} S \Bigl\vert V_r \Bigr\vert }{\alpha l} + \alpha_2 \frac{k}{2} \frac{\rho V_r^3}{l}. \end{equation*}(22)

The computation of the fluctuation of the convective and kinetic energy fluxes would normally require knowledge of higher-order fluctuations of the temperature and of the impulsion. Therefore, Eq. (22) may be considered as the second closure hypothesis of the problem, the first one being the expression chosen for ϵ2 . Assuming that the turbulent cascade follows the Kolmogorov law proportional to the third power of the velocity, Arnett et al. (2009) have justified this expression for ϵ2. Also numerical simulations do not need any closure equation as departures from averages are obtained through the simulations and all average quantities required, for instance, in Eqs. (20) to (24) of Arnett et al (2009), can be obtained through time or spatial averages.

Within the LMLT, the first term of the right hand side of Eq. (22) is introduced because, after having travelled over an average mixing length, a rising element releases its excess thermal energy into the average medium. Here, it will be interpreted as the dissipation rate of thermal energy. We add a second term in Eq. (22) because the kinetic energy must also be released into the average medium. Here, this term gives the dissipation rate of convective kinetic energy. When convection at one point is compared with the average over a spherical surface, the last term of Eq. (22) must be present. In contrast, in the LMLT, this term is absent. This can be explained as follows; the LMLT has been developed for outer layers, for which the two right-hand-side terms of Eq. (22) are of the same order of magnitude. These terms are only orders of magnitudes so that they can be gathered together into the first oneand it may be considered that the LMLT takes both terms into account.

Finally, using Eq. (20) together with Eq. (22), one gets (\UpDelta F R )+ρV( T ¯ S ¯ )=\UpDelta(ρϵ) ρT\UpDeltaS| V r | αl α 2 k 2 ρ V r 3 l , Mathematical equation: \begin{equation*}\boldsymbol{\nabla} \cdot \Bigl({\UpDelta} \mathbf{F}_R\Bigr) + \rho \mathbf{V} \cdot \Bigl(\overline{T} \boldsymbol{\nabla} \overline{S}\Bigr) = {\UpDelta} \Bigl(\rho \epsilon\Bigr) - \frac{\rho T {\UpDelta} S \Bigl\vert V_r \Bigr\vert}{\alpha l} - \alpha_2 \frac{k}{2} \frac{\rho V_r^3}{l}, \end{equation*}(23)

with \UpDelta(ρϵ)= ρϵ ¯ [ν(Q+1)μ] \UpDeltaT T ¯ , Mathematical equation: \begin{equation*}{\UpDelta} \Bigl(\rho \epsilon\Bigr) = \overline{\rho \epsilon} \Bigl[ \nu - \Bigl(Q+1\Bigr) \mu \Bigr] \frac{{\UpDelta} T}{\overline{T}}, \end{equation*}(24)

where we used the definitions ν ( lnϵ lnT ) ρ Mathematical equation: $\nu \equiv \Bigl({\frac{\partial {\ln \epsilon}} {\partial {\ln T}} }\Bigr)_{\rho}$ and μ ( lnϵ lnρ ) T Mathematical equation: $\mu \equiv \Bigl({\frac{\partial {\ln \epsilon}} {\partial {\ln \rho}} }\Bigr)_T$.

3 Mean equations

3.1 Horizontal dependence of the convective variables

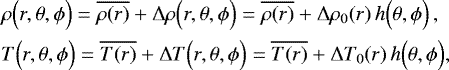
To go further, we now have to specify the horizontal dependence of the convective variables. More precisely, we will separate the variables in the following way: ρ(r,θ,ϕ)= ρ(r) ¯ +\UpDeltaρ(r,θ,ϕ)= ρ(r) ¯ +\UpDelta ρ 0 (r)h(θ,ϕ), T(r,θ,ϕ)= T(r) ¯ +\UpDeltaT(r,θ,ϕ)= T(r) ¯ +\UpDelta T 0 (r)h(θ,ϕ), Mathematical equation: \begin{align*}&\rho \Bigl(r, \theta, {{\phi}}\Bigr) = \overline{\rho(r)} + {\UpDelta} \rho \Bigl(r, \theta, {{\phi}} \Bigr) = \overline{\rho(r)} + {\UpDelta} \rho_0(r) \, h \Bigl(\theta, {{\phi}}\Bigr) \, , \nonumber \\ &T \Bigl(r, \theta, {{\phi}}\Bigr) = \overline{T(r)} + {\UpDelta} T \Bigl(r, \theta, {{\phi}} \Bigr) = \overline{T(r)} + {\UpDelta} T_0(r) \, h \Bigl(\theta, {{\phi}}\Bigr), \end{align*}(25)

where ρ(r) ¯ Mathematical equation: $\overline{\rho(r)}$ and T(r) ¯ Mathematical equation: $\overline{T(r)}$ are averages over a spherical surface as defined by Eq. (1).

For the mass flux, as already mentioned, its average vanishes so that ρV(r,θ,ϕ)= (ρV) 0 (r)h(θ,ϕ), Mathematical equation: \begin{equation*}\rho \mathbf{V} \Bigl(r, \theta, {{\phi}}\Bigr) = (\rho \mathbf{V} )_0(r) \, h \Bigl(\theta, {{\phi}}\Bigr), \end{equation*}(26)

where (ρV) 0 Mathematical equation: $(\rho \mathbf{V})_0$ is the value of ρV at the point where h is chosen to be equal to unity. This holds also for Δρ0 and ΔT0.

The normalization of the horizontal function, h, gives S h (θ,ϕ)dΩ=0, Mathematical equation: \begin{equation*}\int_S h \Bigl(\theta, {{\phi}}\Bigr) {\textrm{d}}{{\mathrm{\Omega}}} = 0, \end{equation*}(27)

where dΩ = sinθ dθ dϕ is the elementary solid angle, and S the surface of a sphere. Equation (27) ensures that the convective flux of matter averaged over a spherical surface is zero.

For the convective velocity, we must separate the variables with another horizontal function because the average of the velocity does not vanish. Therefore, we write V= V 0 (r) h 1 (θ,ϕ). Mathematical equation: \begin{equation*}\mathbf{V} = \mathbf{V}_0 (r) \, h_1 \Bigl(\theta, {{\phi}}\Bigr). \end{equation*}(28)

The functions h and h1 can be provided by numerical simulations. Moreover, using Reynold-averaged Navier-Stokes equations (RANS), there is no need to provide such a decomposition and subsequently to make a choice concerning their formulation (see below). Using a Taylor expansion at first order, one can also write for the convective velocity V ρV ρ ¯ (1 \UpDeltaρ ρ ¯ )= (ρV) 0 ρ ¯ h[1( \UpDelta ρ 0 ρ ¯ )h]. Mathematical equation: \begin{equation*}\mathbf{V} \simeq \frac{\rho \mathbf{V}}{\overline{\rho}} \, \Bigl(1-\frac{{\UpDelta} \rho}{\overline{\rho}}\Bigr) = \frac{\Bigl(\rho \mathbf{V}\Bigr)_0}{\overline{\rho}} \, h \Bigl[ 1 - \Bigl(\frac{{\UpDelta} \rho_0}{\overline{\rho}}\Bigr) \, h \Bigr]. \end{equation*}(29)

In convective cores, the Mach number (ratio between the convective velocity and the sound speed) is very small. Therefore, \UpDeltaρ/ ρ ¯ 1 Mathematical equation: ${\UpDelta} \rho / \overline{\rho} \ll 1$, because it depends on the squared Mach number. Consequently, equating Eq. (28) and Eq. (29 ), one has h 1 hand ρ ¯ V 0 (ρV) 0 . Mathematical equation: \begin{equation*} h_1 \simeq h \quad {\textrm{and}} \quad \overline{\rho} \mathbf{V}_0 \simeq \Bigl(\rho \mathbf{V}\Bigr)_0. \end{equation*}(30)

It is now possible to express the averaged convective quantities. Let us first consider the averaged convective flux. Using Eq. (26), it reads F C ¯ = C p \UpDeltaTρV ¯ = C p \UpDelta T 0 (ρV) 0 G 1 , Mathematical equation: \begin{equation*}\overline{\mathbf{F}_C} = C_p \overline{{\UpDelta} T \rho \mathbf{V}} = C_p {\UpDelta} T_0 \Bigl(\rho \mathbf{V}\Bigr)_0 G_1, \end{equation*}(31)

where we have defined G 1 = 1 S S h 2 r 2 dΩ. Mathematical equation: \begin{equation*} G_1 = \frac{1}{S} \int_S h^2 r^2 {\textrm{d}}{{\mathrm{\Omega}}}. \end{equation*}(32)

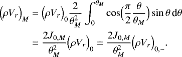
For the convective velocity, using Eq. (7) together with Eq. (26), we have V ¯ = \UpDelta ρ 0 (r) ρ ¯ V 0 (r) 1 S S h h 1 r 2 dΩ= \UpDelta ρ 0 (r) ρ ¯ V 0 (r) G 2 , Mathematical equation: \begin{equation*} \overline{\mathbf{V}} = - \frac{{\UpDelta} \rho_0(r)}{\overline{\rho}} \mathbf{V}_0 (r) \frac{1}{S} \int_S h h_1 r^2 {\textrm{d}}{{\mathrm{\Omega}}} = - \frac{{\UpDelta} \rho_0(r)}{\overline{\rho}} \mathbf{V}_0 (r) \, G_2, \end{equation*}(33)

with G 2 = 1 S S h h 1 r 2 dΩ 1 S S h 2 r 2 dΩ= G 1 . Mathematical equation: \begin{equation*} G_2 = \frac{1}{S} \int_S h h_1 r^2 {\textrm{d}}{{\mathrm{\Omega}}} \simeq \frac{1}{S} \int_S h^2 r^2 {\textrm{d}}{{\mathrm{\Omega}}} = G_1. \end{equation*}(34)

It is now worth considering the averaged kinetic energy flux and more precisely its radial component. One can write F ¯ K,r = 1 2 ρ V 2 V r ¯ = k 2 ρ V r 3 ¯ . Mathematical equation: \begin{equation*}\overline{F}_{K,r} = \overline{\frac{1}{2} \rho V^2 V_r} = \frac{k}{2} \overline{\rho V_r^3}. \end{equation*}(35)

To obtain Eq. (35) we have introduced a hypothesis concerning the isotropy of convection and we have written V 2 =k V r 2 , Mathematical equation: \begin{equation*}V^2 = k V_r^2, \end{equation*}(36)

with k =3 for isotropic convection and k = 1 for purely radial convection. This is a significant advantage of using the equation of kinetic energy conservation rather than the radial component of the equation of motion as the latter takes a much more complex form when convection is anisotropic so that the previous works implicitly assume isotropy (e.g. Rieutord & Zahn 1995; Lo & Schatzman 1997). Of course, we introduce a new free parameter but at least it will be possible to check the influence of the choice of its value on the results while previous works were confined to k=3. Arnett et al. (2009) discussed the anisotropy far away from the boundaries (see their Eq. (10) in Sect. 2.4) and found that 1.5 < k < 2.28.

Using Eq. (35), the averaged kinetic energy flux immediately reads F ¯ K,r = 1 2 ρ V 2 V r ¯ = k 2 ρ V r 3 ¯ = k 2 (ρ V r 3 ) 0 1 S h h 1 2 r 2 dΩ= k 2 (ρ V r 3 ) 0 G 3 , Mathematical equation: \begin{align*}\overline{F}_{K,r} &= \overline{\frac{1}{2} \rho V^2 V_r} = \frac{k}{2} \overline{\rho V_r^3} \nonumber \\ &= \frac{k}{2} \Bigl(\rho V_r^3\Bigr)_0 \frac{1}{S} \int h h_1^2 r^2 {\textrm{d}}{{\mathrm{\Omega}}} = \frac{k}{2} \Bigl(\rho V_r^3\Bigr)_0 G_3, \end{align*}(37)

where we have introduced the notation (ρ V r 3 ) 0 (ρ V r ) 0 V 0,r 2 Mathematical equation: \begin{equation*} \Bigl(\rho V_r^3\Bigr)_0 \equiv \Bigl(\rho V_r\Bigr)_0 V_{0,r}^2 \end{equation*}(38)

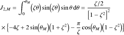
and G 3 = 1 S S h h 1 2 r 2 dΩ 1 S S h 3 r 2 dΩ. Mathematical equation: \begin{equation*} G_3 = \frac{1}{S} \int_S h h_1^2 r^2 {\textrm{d}}{{\mathrm{\Omega}}} \simeq \frac{1}{S} \int_S h^3 r^2 {\textrm{d}}{{\mathrm{\Omega}}}. \end{equation*}(39)

The averaged luminosity associated with the radial component of the averaged kinetic energy flux can then be written as L ¯ K =4π r 2 F ¯ K,r Mathematical equation: $\overline{L}_K = 4\pi r^2 \overline{F}_{K,r}$.

Finally, one can express the kinetic energy dissipation rate into heat using the isotropic parameter (Eq. (36)), such as ρ ϵ 2 ¯ = ρ V 2 | V r | ¯ l = k ρ V r 2 | V r | ¯ l . Mathematical equation: \begin{equation*} \overline{\rho \epsilon_2} = \frac{ \overline{\rho V^2 \vert V_r \vert}}{l} = \frac{ k \overline{\rho V_r^2 \vert V_r \vert}}{l}. \end{equation*}(40)

Therefore, one has ρ ϵ 2 ¯ = k (ρ V r 3 ) 0 l 1 S S h h 1 | h 1 | r 2 dΩ= k (ρ V r 3 ) 0 l G 4 , Mathematical equation: \begin{equation*}\overline{\rho \epsilon_2} = \frac{ k (\rho V_r^3)_0}{l} \frac{1}{S} \int_S h h_1 \Bigl\vert h_1 \Bigr\vert r^2 {\textrm{d}}{{\mathrm{\Omega}}} = \frac{ k (\rho V_r^3)_0}{l} \, G_4, \end{equation*}(41)

with G 4 = 1 S S h h 1 | h 1 | r 2 dΩ 1 S S h 2 |h| r 2 dΩ. Mathematical equation: \begin{equation*} G_4 = \frac{1}{S} \int_S h h_1 \Bigl\vert h_1 \Bigr\vert r^2 {\textrm{d}}{{\mathrm{\Omega}}} \simeq \frac{1}{S} \int_S h^2 \Bigl\vert h \Bigr\vert r^2 {\textrm{d}}{{\mathrm{\Omega}}}. \end{equation*}(42)

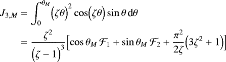
To be able to compute the coefficients Gi and in the following section the equations integrated over one plume, we must give an explicit form to the angular function h(θ, ϕ). We will first assume that there are N identical plumes, which have a conical shape of opening θM(r). Moreover, within each plume, we assume h(θ,ϕ)cos( π 2 θ θ M ). Mathematical equation: \begin{equation*}h(\theta, {{\phi}}) \equiv \cos \Bigl(\frac{\pi}{2} \frac{\theta }{\theta _M}\Bigr). \end{equation*}(43)

This means that we take h = 1 on the axis of the cone associated with each plume. Equation (43) is different from the usual one, which assumes a Gaussian profile that fits well the laboratory observations (e.g. Schmitt et al. 1984; Rieutord & Zahn 1995; Lo & Schatzman 1997). We have preferred it because it clearly defines the boundary for a plume, which is necessary when the descending regions are also taken into account. If we want to consider descending plumes as encounteredin stellar envelopes, we just have to multiply the expressions given above for the convective variables by − 1 or take h = −1 on the axis of the cone.

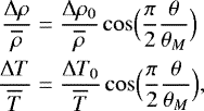
Therefore, using Eq. (43), the convective fluctuations of density and temperature read \UpDeltaρ ρ ¯ = \UpDelta ρ 0 ρ ¯ cos( π 2 θ θ M ) \UpDeltaT T ¯ = \UpDelta T 0 T ¯ cos( π 2 θ θ M ), Mathematical equation: \begin{align*} \frac{{\UpDelta} \rho}{\overline{\rho}} &= \frac{{\UpDelta} \rho_0}{\overline{\rho}} \cos \Bigl(\frac{\pi}{2} \frac{\theta }{\theta _M}\Bigr) \\ \frac{{\UpDelta} T}{\overline{T}} &= \frac{{\UpDelta} T_0}{\overline{T}} \cos \Bigl(\frac{\pi}{2} \frac{\theta }{\theta _M}\Bigr), \end{align*}(44) (45)

and for the radial mass flux ρ V r = (ρ V r ) 0 cos( π 2 θ θ M ). Mathematical equation: \begin{equation*} \rho V_r = (\rho V_r )_0 \, \cos \Bigl(\frac{\pi}{2} \frac{\theta }{\theta _M}\Bigr). \end{equation*}(46)

Only the equation of mechanical energy conservation is used in this work instead of the radial component of the equation of motion as done in the above-mentioned works on plumes. Consequently, only the value of ρV θ at the boundary of a plume will appear in the equations and we do not have to make an assumption on its angular variation.

We also have to introduce an expression for h(θ, ϕ) outside the ascending plumes, where matter moves downwards everywhere. To do so, we will consider two hypotheses;

  • First, we assume that there are ND descending regions that have the same geometry as the plumes. Therefore,

h(θ,ϕ)= A D cos( π 2 θ θ M,D ), Mathematical equation: \begin{equation*}h(\theta, {{\phi}})= A_D \cos \Bigl(\frac{\pi}{2} \frac{\theta }{\theta _{M,D}}\Bigr), \end{equation*}(47)

where the coefficient AD will be deduced from the mass conservation.

  • Second, we assume that each plume is surrounded by a hollow cone with an opening between θM and θM,D, where the flow is directed downwards. In this case, one has

h(θ,ϕ)= A D sin(π θ θ M θ M,D θ M ) Mathematical equation: \begin{equation*}h(\theta, {{\phi}})= A_D \sin \Bigl(\pi\frac{\theta -\theta _M}{\theta _{M,D}-\theta _M}\Bigr) \end{equation*}(48)

and ND = N.

We will have to assume that the sum of the fraction of a spherical surface occupied by plumes and by descending gas equals to unity (i.e., SM + SD = 1). Obviously, this hypothesis is an approximation as it is impossible to cover completely a spherical surface with spherical caps. Also SM = N(1 − cosθM)∕2, while the expression for SD will be different for the two hypotheses considered (see Appendix A).

3.2 Explicit form of the equations averaged over a spherical surface

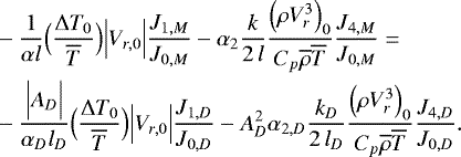
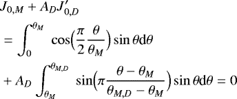
In the following, we will consider two cases: that one can use either Eq. (47) or Eq. (48), depending on the treatment of the downward flow. As already discussed in Sect. 3.1, there is no net mass flux ( ρV ¯ =0 Mathematical equation: $\overline{\rho \mathbf{V}} = 0$) so that the average of h over a spherical surface vanishes. Thus, using the normalization condition, Eq. (27), together with Eq. (43) and Eq. (47), allows us to write N J 0,M + A D N D J 0,D =0, Mathematical equation: \begin{equation*}N J_{0,M} &#x002B; A_D N_D J_{0,D} = 0, \end{equation*}(49)

where we have defined J 0,M = 0 θ M cos ( π 2 θ θ M )sinθdθ J 0,D = 0 θ M,D cos ( π 2 θ θ M,D )sinθdθ. Mathematical equation: \begin{align*} J_{0,M} &= \int_0^{\theta _M} \cos \Bigl(\frac{\pi}{2} \frac{\theta }{\theta _M} \Bigr) \sin \theta \, {\textrm{d}}\theta \nonumber \\ J_{0,D} &= \int_0^{\theta _{M,D}} \cos \Bigl(\frac{\pi}{2} \frac{\theta }{\theta _{M,D}} \Bigr) \sin \theta \, {\textrm{d}}\theta. \end{align*}(50)

Alternatively, if we use Eq. (48) instead of Eq. (47), one gets J 0,M + A D J 0,D =0, Mathematical equation: \begin{equation*}J_{0,M} &#x002B; A_D J^{\prime}_{0,D} = 0, \end{equation*}(51)

where J 0,D = θ M θ M,D sin (π θ θ M θ M,D θ M )sinθdθ. Mathematical equation: \begin{equation*} J_{0,D}^{\prime} = \int_{\theta _{M}} ^{\theta _{M,D}} \sin \Bigl(\pi\frac{\theta -\theta _M}{\theta _{M,D}-\theta _M}\Bigr) \sin \theta \, {\textrm{d}}\theta. \end{equation*}(52)

Therefore, the conservation of the mass flux, through Eq. (49) and Eq. (51), provides the coefficient AD . The integrals Ji,M, Ji,D, and J i,D Mathematical equation: $J_{i,D}^{\prime}$ are given in Appendix A.

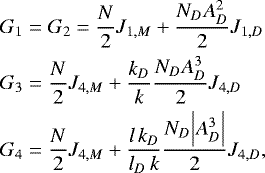
To proceed further, we must consider that numerical simulations show, for convective envelopes, that the physical properties of convection are very different inside and outside the plumes (e.g. Stein & Nordlund 1998). To take this into account, we must consider that the anisotropy parameter (k) may have different values inside and outside the plumes. Therefore, we will consider the parameter k in the plumes and kD in the downward flow. Indeed, one would expect that convection is more isotropic outside the plumes and therefore that k is closer to three than inside them. This is what numerical simulations for the solar envelope show (R. Samadi, priv. comm.). They also show that convection is nowhere isotropic; this shows the advantage of using the equation of mechanical energy conservation rather than the equation of motion. It is also possible that the mixing length has different values (l and lD ) in the up- and down-moving flows. We will thus formally consider lDl in the following. However, as the ratio lDl is unknown, a pragmatic approach would be to take lD = l in order to avoid multiplying the number of free parameters. Also Arnett et al. (2009) and Viallet et al. (2013) showed from their numerical simulations that we can take l = lDlCZ.

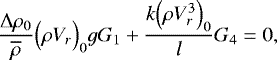
Using the same procedure, Eq. (12), together with Eq. (37) and Eq. (41), gives for the conservation of mechanical energy 1 r 2 d dr ( k r 2 2 (ρ V r 3 ) 0 G 3 ) =( \UpDelta ρ 0 ρ ¯ ) (ρ V r ) 0 g G 1 k (ρ V r 3 ) 0 l G 4 , Mathematical equation: \begin{align*}\frac{1}{r^2} {\frac{\textrm{d} {} } {\textrm{d} {r}} } &\Bigl( \frac{k r^2 }{2} \Bigl(\rho V_r^3\Bigr)_0 G_3\Bigr)\nonumber \\ &=\,-\Bigl(\frac{{\UpDelta} \rho_0}{\overline{\rho}}\Bigr) \Bigl(\rho V_r\Bigr)_0 g \, G_1\, -\,\frac{ k \Bigl(\rho V_r^3\Bigr)_0}{l} \, G_4, \end{align*}(53)

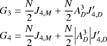
where, using Eq. (47), the angular integrals Gi are given by G 1 = G 2 = N 2 J 1,M + N D A D 2 2 J 1,D G 3 = N 2 J 4,M + k D k N D A D 3 2 J 4,D G 4 = N 2 J 4,M + l k D l D k N D | A D 3 | 2 J 4,D , Mathematical equation: \begin{align*}G_1 &= G_2 = \frac{N}{2} J_{1,M} &#x002B; \frac{N_D A_D^2}{2} J_{1,D}\nonumber \\ G_3 &= \frac{N}{2} J_{4,M} &#x002B; \frac{k_D}{k} \frac{N_D A_D^3}{2} J_{4,D} \nonumber \\ G_4 &= \frac{N}{2} J_{4,M} &#x002B; \frac{l\, k_D}{l_D\, k} \frac{N_D \Bigl \vert A_D^3 \Bigr \vert}{2} J_{4,D}, \end{align*}(54)

and if Eq. (48) is used instead of Eq. (47), the integrals Ji,D have to be replaced by J i,D Mathematical equation: $J_{i,D}^{\prime}$.

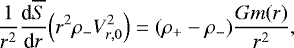
For the conservation of the total luminosity (Eq. (19)), using Eq. (37) and Eq. (31), we immediately get L ¯ (r) L ¯ R (r) 4π r 2 = C p \UpDelta T 0 (ρ V r ) 0 G 1 + k 2 (ρ V r 3 ) 0 G 3 . Mathematical equation: \begin{equation*}\frac{\overline{L}(r)-\overline{L}_R(r)}{4\pi r^2} = C_p {\UpDelta} T_0 \Bigl(\rho V_r\Bigr)_0 G_1 &#x002B; \frac{k}{2} \Bigl(\rho V_r^3\Bigr)_0 G_3. \end{equation*}(55)

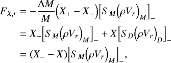
It is interesting to note that if F ¯ K,r >0 Mathematical equation: $\overline{F}_{K,r} >0$ (i.e. if the last term of Eq. (55) is positive) in the overshooting layers, we are guaranteed to find a solution where F ¯ K,r =0 Mathematical equation: $\overline{F}_{K,r} =0$ or V r = 0 as shown in Appendix B. In the opposite case, i.e. F ¯ K,r <0 Mathematical equation: $\overline{F}_{K,r} <0$ in the overshooting layers, it is much more problematic except if the overshooting is very small.

Although Arnett et al. (2009); Viallet et al. (2013), and Arnett et al. (2015) have shown that the averaged kinetic energy flux cannot be null everywhere ( F ¯ K,r =0 Mathematical equation: $\overline{F}_{K,r} = 0$), it is interesting to discuss this extreme case because it conforms with the LMLT and corresponds to the case SM = SD = 1∕2 when θM is small. Then, Eq. (53) and Eq. (55) become \UpDelta ρ 0 ρ ¯ (ρ V r ) 0 g G 1 + k (ρ V r 3 ) 0 l G 4 =0, Mathematical equation: \begin{equation*}\frac{{\UpDelta} \rho_0}{\overline{\rho}} \Bigl(\rho V_r\Bigr)_0 g G_1 &#x002B; \frac{k \Bigl(\rho V_r^3\Bigr)_0}{l} G_4 = 0, \end{equation*}(56)

and L ¯ (r) L ¯ R (r) 4π r 2 = C p \UpDelta T 0 (ρ V r ) 0 G 1 . Mathematical equation: \begin{equation*} \frac{\overline{L}(r)-\overline{L}_R(r)}{4\pi r^2} = C_p {\UpDelta} T_0 \Bigl(\rho V_r\Bigr)_0 G_1. \end{equation*}(57)

The second term of Eq. (56) is always positive and then \UpDelta ρ 0 (ρ V r ) 0 / ρ ¯ Mathematical equation: ${\UpDelta} \rho_0 \Bigl(\rho V_r\Bigr)_0 / \overline{\rho}$ must be negative. Consequently, in the second equation it is impossible to have L ¯ (r) L ¯ R (r)<0 Mathematical equation: $\overline{L}(r)-\overline{L}_R (r)<0$, which means that overshooting is impossible above the core boundary predicted by the LMLT. One can reach the same conclusion using the fundamental equation, Eq. (12), which does not make any assumption concerning the dissipation rate of kinetic energy: F K ¯ = \UpDeltaρ ρ V ¯ p ¯ ρ ϵ 2 ¯ . Mathematical equation: \begin{equation*}\boldsymbol{\nabla} \cdot \overline{\mathbf{F}_K} = \overline{\frac{{\UpDelta} \rho}{\rho} \mathbf{V}} \cdot \boldsymbol{\nabla} \overline{p} - \overline{\rho \epsilon_2}. \end{equation*}(58)

We clearly see the consequence of the hypothesis stating that the averaged kinetic energy flux cancels everywhere. Since by definition ρ ϵ 2 ¯ >0 Mathematical equation: $\overline{\rho \epsilon_2} >0$, it is necessary that \UpDeltaρ V r /ρ ¯ <0 Mathematical equation: $\overline{{\UpDelta} \rho V_r /\rho}<0$ to fulfil the equation of mechanical energy conservation. This means that \UpDeltaT V r /T ¯ >0 Mathematical equation: $\overline{{\UpDelta} T V_r / T}>0$, so does L ¯ (r) L ¯ R (r) Mathematical equation: $\overline{L}(r)-\overline{L}_R (r)$. Therefore, a non-vanishing turbulent kinetic energy flux is fundamental for the existence of overshooting. This is in opposition to a lot of works that compute overshooting and neglect the kinetic energy flux. They get results because they neglect some basic equations of the problem such as the equation of mechanical energy conservation, and also because they do not consider the downwards moving matter (see Shaviv & Salpeter 1973, and the works discussed in Renzini 1987). Also, Eq. (58) shows more generally that, in the overshooting layers, the divergence of the kinetic energy flux must be negative and in absolute value larger than the kinetic energy dissipation rate.

4 Equation integrated on a spherical section of a plume

We now consider the equations describing plumes. The computation of the integrated expressions is somewhat long but requires only fundamental treatments of the equations. One has just to keep in mind that θM is a function of the radius and also that most terms in the equations are linear in the convective variables with the exception of some terms in Eqs. (7), (10), (16), (22), and (23). As long as the order of each term is maintained during the algebraic manipulations, the local value of any variable can be taken as equal to its average over a spherical surface and conversely.

4.1 Continuity equation

We start by integrating the equation of mass conservation (Eq. (6)); this gives J 0,M d dr [ r 2 (ρ V r ) 0 ] + J 2,M r 2 (ρ V r ) 0 dln θ M dr +rsin θ M (ρ V θ ) θ M =0. Mathematical equation: \begin{align*}J_{0,M} {\frac{\textrm{d} {} } {\textrm{d} {r}} } \Bigl[r^2 \Bigl(\rho V_r\Bigr)_0 \Bigr] &&#x002B; J_{2,M} r^2 \Bigl(\rho V_r\Bigr)_0 {\frac{\textrm{d} {\ln \theta _M} } {\textrm{d} {r}} } \nonumber \\ &&#x002B; r\sin \theta _M \Bigl(\rho V_{\theta} \Bigr)_{ \theta _M} = 0. \end{align*}(59)

When only the plumes are taken into account, the lack of a physical boundary condition at the edge of the cone forces us to adopt a hypothetical boundary condition and Taylor’s hypothesis is used. However, this closure has been criticized by Schmitt et al. (1984) and Bonin & Rieutord (1996). The latter pointed out the need to replace Taylor’s hypothesis by a proper closure using the mean-field equations and also to take into account the dissipation term in the equation of motion. Here we will not have to use Taylor’s hypothesis as we will use the mean-field equations (see Sect. 3).

4.2 Mechanical energy conservation

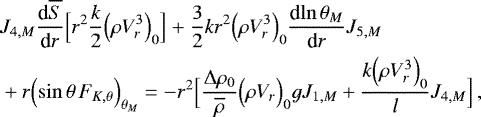
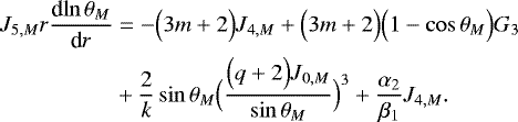
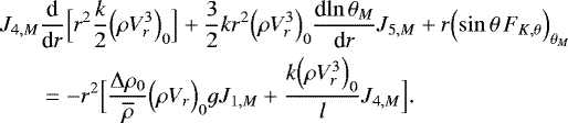
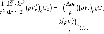
For the mechanical energy conservation, we use Eq. (10), which after integration gives J 4,M d dr [ r 2 k 2 (ρ V r 3 ) 0 ]+ 3 2 k r 2 (ρ V r 3 ) 0 dln θ M dr J 5,M +r (sinθ F K,θ ) θ M = r 2 [ \UpDelta ρ 0 ρ ¯ (ρ V r ) 0 g J 1,M + k (ρ V r 3 ) 0 l J 4,M ]. Mathematical equation: \begin{align*}J_{4,M} &{\frac{\textrm{d} {} } {\textrm{d} {r}} } \Bigl[r^2\frac{k}{2} \Bigl(\rho V_r^3\Bigr)_0\Bigr] &#x002B; \frac{3}{2} k r^2 \Bigl(\rho V_{r}^3\Bigr)_0 {\frac{\textrm{d} {\ln \theta _M} } {\textrm{d} {r}} } J_{5,M} &#x002B; r \Bigl(\sin \theta \, F_{K, \theta }\Bigr)_{ \theta _M} \nonumber \\ &= - r^2 \Bigl[\frac{{\UpDelta} \rho_0}{\overline{\rho}} \Bigl(\rho V_r\Bigr)_0 g J_{1,M} &#x002B; \frac{k \Bigl(\rho V_r^3\Bigr)_0}{l} J_{4,M}\Bigr]. \end{align*}(60)

At the plume boundary V r = 0. Therefore, using the hypothesis that the two horizontal components of the convective velocity are equal, we have ( F K,θ ) θ M = (ρ V θ 3 ) θ M . Mathematical equation: \begin{equation*} \Bigl(F_{K, \theta }\Bigr)_{ \theta _M} = \Bigl(\rho V_{\theta} ^3\Bigr)_{ \theta _M}. \end{equation*}(61)

It is also worthwhile noticing that, in a plume, the radial component of the kinetic energy flux is positive while it is negative outside. Moreover, the difference between the values of ∇⋅FK in these regions is due to either the difference of Archimede’s force, or to the difference in the dissipation rate of kinetic energy (through the amplitude term AD ), or to the advection of kinetic energy at the plume boundary.

4.3 Thermal energy conservation

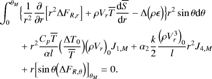
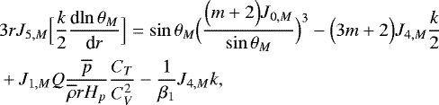
In this section, we aim at deriving the equation governing the temperature gradient. To this end, we start by integrating Eq. (23) over a horizontal section of a plume. We then obtain \begin{align}_0^ θ M nn&{ 1 r 2 r [ r 2 \UpDelta F R,r ]+ρ V r T ¯ d S ¯ dr \UpDelta(ρϵ)} r 2 sinθdθnn&+ r 2 C p T ¯ αl ( \UpDelta T 0 T ¯ ) (ρ V r ) 0 J 1,M + α 2 k 2 (ρ V r 3 ) 0 l r 2 J 4,M nn&+r [sinθ(\UpDelta F R,θ )] θ M =0.nn\end{align} Mathematical equation: \begin{align*}\int_{0}^{\theta _M} &\Bigl\{\frac{1}{r^2}{\frac{\partial {}} {\partial {r}} } \Bigl[r^2 {\UpDelta} F_{R,r} \Bigr] &#x002B; \rho V_r \overline{T} {\frac{\textrm{d} {\overline{S}} } {\textrm{d} {r}} } - {\UpDelta} \Bigl(\rho \epsilon\Bigr)\Bigr\} r^2 \sin \theta {\textrm{d}}\theta \nonumber \\ &&#x002B;r^2 \frac{C_p \overline{T}}{\alpha l} \Bigl(\frac{{\UpDelta} T_0}{\overline{T}}\Bigr) \Bigl(\rho V_{r}\Bigr)_0 J_{1,M} &#x002B; \alpha_2 \frac{k}{2} \frac{\Bigl(\rho V_{r}^3\Bigr)_0}{l} r^2 J_{4,M} \nonumber \\ &&#x002B; r\Bigl[\sin \theta \Bigl({\UpDelta} F_{R, \theta }\Bigr)\Bigr]_{ \theta _M} = 0. \end{align*}(62)

To go further, we have to express the perturbation of the radiative flux. To do so, we place ourselves in the limit of the diffusion and we get for the horizontal component of the radiative flux (\UpDelta F R,θ ) θ M = 4ac 3 ( T 4 κρ ) ¯ ( \UpDelta T 0 T ¯ ) π 2 1 r θ M , Mathematical equation: \begin{equation*}\Bigl({\UpDelta} F_{R, \theta }\Bigr)_{ \theta _M} = \frac{4ac}{3} \overline{\Bigl(\frac{T^4}{\kappa \rho}\Bigr)} \Bigl(\frac{{\UpDelta} T_0}{\overline{T}}\Bigr) \frac{\pi}{2} \frac{1}{r \theta _M}, \end{equation*}(63)

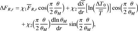
and for the perturbation of the radial component \UpDelta F R,r = χ 1 F ¯ R,r cos( π 2 θ θ M )+ χ 2 d S ¯ dr [ln( \UpDelta T 0 T ¯ )]cos( π 2 θ θ M ) + χ 2 ( π 2 θ θ M ) dln θ M dr sin( π 2 θ θ M ), Mathematical equation: \begin{align*}{\UpDelta} F_{R,r} &= \chi_1 \overline{F}_{R,r} \cos\Bigl(\frac{\pi}{2}\frac{\theta }{\theta _M}\Bigr) &#x002B; \chi_2 {\frac{\textrm{d} {\overline{S}} } {\textrm{d} {r}} } \Bigl[\ln \Bigl(\frac{{\UpDelta} T_0}{\overline{T}}\Bigr)\Bigr] \cos\Bigl(\frac{\pi}{2}\frac{\theta }{\theta _M}\Bigr) \nonumber \\ &\quad&#x002B; \chi_2 \Bigl(\frac{\pi}{2}\frac{\theta }{\theta _M}\Bigr) {\frac{\textrm{d} {\ln \theta _M} } {\textrm{d} {r}} } \sin \Bigl(\frac{\pi}{2}\frac{\theta }{\theta _M}\Bigr), \end{align*}(64)

where we defined χ 1 =[(4 κ T )+Q(1+ κ ρ )]( \UpDelta T 0 T ¯ ) χ 2 = 4ac 3 ( T 4 κρ ) ¯ ( \UpDelta T 0 T ¯ ). Mathematical equation: \begin{align*} \chi_1 &= \Bigl[(4-\kappa_T)&#x002B;Q(1&#x002B;\kappa_{\rho})\Bigr]\Bigl(\frac{{\UpDelta} T_0}{\overline{T}}\Bigr) \nonumber \\ \chi_2 &= -\frac{4ac}{3} \overline{\Bigl(\frac{T^4}{\kappa \rho}\Bigr)} \Bigl(\frac{{\UpDelta} T_0}{\overline{T}}\Bigr). \end{align*}(65)

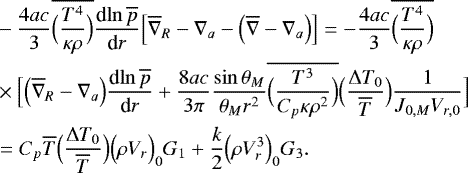
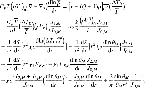
Finally, using Eq. (62) together with Eqs. (24), (63), and (64), we get C p T ¯ (ρ V r ) 0 ( ¯ a ) dln p ¯ dr =[ν(Q+1)μ] ρϵ ¯ ( \UpDelta T 0 T ¯ ) C p T ¯ αl ( \UpDelta T 0 T ¯ ) (ρ V r ) 0 J 1,M J 0,M α 2 k 2 (ρ V r 3 ) 0 l J 4,M J 0,M 1 r 2 d S ¯ dr { r 2 χ 2 dln(\UpDelta T 0 / T ¯ ) dr } 1 r 2 d S ¯ dr { r 2 χ 2 dln θ M dr } J 2,M J 0,M 1 r 2 d S ¯ dr { r 2 χ 1 F ¯ R,r }+ χ 1 F ¯ R,r dln θ M dr J 2,M J 0,M + χ 2 { J 2,M + J 3,M J 0,M ( dln θ M dr ) 2 J 2,M J 0,M dln θ M dr + 2 π sin θ M θ M r 2 1 J 0,M }, Mathematical equation: \begin{align*}&C_p \overline{T} \Bigl(\rho V_{r}\Bigr)_0 \Bigl(\overline{\nabla} - \nabla_a\Bigr) {\frac{\textrm{d} {\ln \overline{p}} } {\textrm{d} {r}} } = \Bigl[\nu - (Q&#x002B;1)\mu\Bigr] \overline{\rho \epsilon} \Bigl(\frac{{\UpDelta} T_0}{\overline{T}}\Bigr) \\ &- \frac{C_p \overline{T} }{\alpha l} \Bigl(\frac{{\UpDelta} T_0}{\overline{T}}\Bigr) \Bigl(\rho V_{r}\Bigr)_0 \frac{J_{1,M}}{J_{0,M}} -\alpha_2 \frac{k}{2} \frac{\Bigl(\rho V_{r}^3\Bigr)_0}{ l} \frac{J_{4,M}}{J_{0,M}} \nonumber \\ &-\frac{1}{r^2 } {\frac{\textrm{d} {\overline{S}} } {\textrm{d} {r}} } \Bigl\{ r^2 \, \chi_2 {\frac{\textrm{d} {\ln \Bigl(\UpDelta T_0 / \overline{T}\Bigr)} } {\textrm{d} {r}} } \Bigr\} -\frac{1}{r^2 } {\frac{\textrm{d} {\overline{S}} } {\textrm{d} {r}} } \Bigl\{ r^2 \, \chi_2 {\frac{\textrm{d} {\ln \theta _M} } {\textrm{d} {r}} }\Bigr\} \frac{J_{2,M}}{J_{0,M}} \nonumber \\ &-\frac{1}{r^2 } {\frac{\textrm{d} {\overline{S}} } {\textrm{d} {r}} } \Bigl\{ r^2 \, \chi_1 \overline{F}_{R,r} \Bigr\} &#x002B; \chi_1 \overline{F}_{R,r} {\frac{\textrm{d} {\ln \theta _M} } {\textrm{d} {r}} } \frac{J_{2,M}}{J_{0,M}} \nonumber \\ &&#x002B; \chi_2 \Bigl\{\frac{J_{2,M}&#x002B;J_{3,M}}{J_{0,M}}\Bigl({\frac{\textrm{d} {\ln \theta _M} } {\textrm{d} {r}} }\Bigr)^2 - \frac{J_{2,M}}{J_{0,M}} {\frac{\textrm{d} {\ln \theta _M} } {\textrm{d} {r}} } &#x002B; \frac{2}{\pi} \frac{\sin \theta _M}{\theta _M r^2} \frac{1}{J_{0,M}}\Bigr\} \nonumber, \end{align*}66

where, for the entropy gradient, we used the relation d S ¯ dr = C p ( ¯ a ) dln p ¯ dr . Mathematical equation: \begin{equation*} {\frac{\textrm{d} {\overline{S}} } {\textrm{d} {r}} } = C_p (\overline{\nabla}-\nabla_a) {\frac{\textrm{d} {\ln \overline{p}} } {\textrm{d} {r}} }. \end{equation*}(67)

If we consider Eq. (66) in the overshooting zone above a convective core, because of the low radiative conductibility in stellar interior, the second and third terms of the right hand side will be the leading ones and we have with a very good approximation (this also holds deeper in the convective core) ( ¯ a )= H p αl ( \UpDelta T 0 T ¯ ) J 1,M J 0,M + α 2 k 2 V r,0 2 H p C p T ¯ l J 4,M J 0,M . Mathematical equation: \begin{equation*}\Bigl(\overline{\nabla} - \nabla_a\Bigr) = \frac{H_p}{\alpha l} \Bigl(\frac{{\UpDelta} T_0}{\overline{T}}\Bigr) \frac{J_{1,M}}{J_{0,M}} &#x002B; \alpha_2 \frac{k}{2} \frac{V_{r,0}^2 H_p}{C_p \overline{T} l} \frac{J_{4,M}}{J_{0,M}}. \end{equation*}(68)

In the overshooting layers \UpDelta T 0 / T ¯ <0 Mathematical equation: ${\UpDelta} T_0 / \overline{T} <0$ and the first term is negative while the second one is of course positive. At the bottom of the overshooting region, we expect a slightly sub-adiabatic temperature gradient and therefore \UpDelta T 0 / T ¯ Mathematical equation: ${\UpDelta} T_0 / \overline{T} $ will become increasingly negative as the convective flux must then become increasingly negative there. On the other hand, the radial velocity V r,0 can only decrease. Therefore, after remaining for a while close to the adiabatic value, the temperature gradient will become more and more sub-adiabatic. This will slow down the decrease of \UpDelta T 0 / T ¯ Mathematical equation: ${\UpDelta} T_0 / \overline{T} $ making it possible to have the temperature gradient varying progressively from the adiabatic value to the radiative one in a significant fraction of the overshooting zone. As pointed out by Zahn (1991), the neglected terms in Eq. (68) will be significant only in a thin layer on top of the overshooting zone.

It is also interesting to compare Eq. (66) with its counterpart in the LMLT framework. There, ϵ = 0 and α2 = 0. The second term of the right hand side member is also present and the other ones correspond to − ∇⋅ ΔFR , which is approximated by \UpDelta F R 4ac 3 ( T 4 κρ ) ¯ ( \UpDelta T 0 T ¯ ) 4ac 3 L 2 ( T 4 κρ ) ¯ . Mathematical equation: \begin{equation*}-\boldsymbol{\nabla} \cdot {\UpDelta} \mathbf{F}_R \simeq \frac{4ac}{3} \overline{\Bigl(\frac{T^4}{\kappa \rho}\Bigr)}\; \boldsymbol{\nabla} \cdot \boldsymbol{\nabla} \Bigl(\frac{{\UpDelta} T_0}{\overline{T}}\Bigr) \simeq \frac{4ac}{3 \mathcal{L}^2} \overline{\Bigl(\frac{T^4}{\kappa \rho}\Bigr)}. \end{equation*}(69)

To recover Eq. (42) in Henyey et al. (1965), we must take L= 2 π l MLT Mathematical equation: $\mathcal{L} = \sqrt{2}\pi l_{\textrm{MLT}}$. Therefore, we obtain V r ( ¯ ad ) dln p ¯ dr =[ 1 ατ +ω ω R ]( \UpDelta T 0 T ¯ ) Mathematical equation: \begin{equation*} V_r \Bigl(\overline{\nabla}-\nabla_{\textrm{ad}}\Bigr) {\frac{\textrm{d} {\ln \overline{p}} } {\textrm{d} {r}} } = - \Bigl[\frac{1}{\alpha \tau} &#x002B; {{\omega}}{{\omega}}_R \Bigr] \Bigl(\frac{{\UpDelta} T_0}{\overline{T}}\Bigr) \end{equation*}(70)

with ω R = 4ac 3 T 3 C p κρ L 2 ¯ . Mathematical equation: \begin{equation*} {{\omega}}_R = \frac{4ac}{3} \overline{\frac{T^3}{C_p \kappa \rho \mathcal{L}^2}}. \end{equation*}(71)

The latter equation is identical to the usual one (except for our definition of the mean free path). The local solution of the set of equations obtained in this section simplified with the approximations FK = 0, θM constant, noadvection, and also the approximate Eq. (69), allows us to recover the Böhm-Vitense cubic equation as obtained from the mean-field equations by Gabriel et al. (1974) or from the Lorenz solution or also the vortex model as shown by Arnett & Meakin (2011) and Smith & Arnett (2014).

4.4 Advection velocity

Finally, to close the system of equations, we need an additional equation to obtain the advection velocity or equivalently the radial mass flux (ρ V r ) 0 Mathematical equation: $\Bigl(\rho V_{r}\Bigr)_0$. To this end, we start by considering Eq. (22), and simply noting that \UpDelta F K,r +\UpDelta F C,r = F K,r + F C,r ( F ¯ K,r + F ¯ C,r ), Mathematical equation: \begin{equation*} {\UpDelta} F_{K,r} &#x002B; {\UpDelta} F_{C,r} = F_{K,r} &#x002B; F_{C,r} - \Bigl(\overline{F}_{K,r} &#x002B; \overline{F}_{C,r}\Bigr), \end{equation*}(72)

then, using Eq. (55) and performing integration gives J 4,M d S ¯ dr [ r 2 k 2 (ρ V r 3 ) 0 ]+3 J 5,M r 2 k 2 (ρ V r 3 ) 0 dln θ M dr + d S ¯ dr ( r 2 F C,r,0 ) J 1,M + r 2 F C,r,0 dln θ M dr J 6,M (1cos θ M ) d S ¯ dr { r 2 [ C p T ¯ ( \UpDelta T 0 T ¯ ) (ρ V r ) 0 G 1 + k 2 (ρ V r 3 ) 0 G 3 ]} +rsin θ M ( F K,θ ) θ M = r 2 ρ C p T αl ( \UpDelta T 0 T ¯ ) J 1,M + α 2 k 2 (ρ V r 3 ) 0 l r 2 J 4,M , Mathematical equation: \begin{align*}&J_{4,M} {\frac{\textrm{d} {\overline{S}} } {\textrm{d} {r}} } \Bigl[ r^2 \frac{k}{2} \Bigl(\rho V_{r}^3\Bigr)_0 \Bigr] &#x002B;3 J_{5,M} r^2 \frac{k}{2} \Bigl(\rho V_{r}^3\Bigr)_0 {\frac{\textrm{d} {\ln \theta _M} } {\textrm{d} {r}} } \nonumber \\ &&#x002B; {\frac{\textrm{d} {\overline{S}} } {\textrm{d} {r}} }\Bigl(r^2 F_{C,r,0}\Bigr) J_{1,M} &#x002B; r^2 F_{C,r,0} {\frac{\textrm{d} {\ln \theta _M} } {\textrm{d} {r}} } J_{6,M} \\ &-(1-\cos \theta _M) {\frac{\textrm{d} {\overline{S}} } {\textrm{d} {r}} } \Bigl\{ r^2 \Bigl[ C_p \overline{T} \Bigl(\frac{{\UpDelta} T_0}{\overline{T}}\Bigr) \Bigl(\rho V_r\Bigr)_0 G_1 &#x002B; \frac{k}{2} \Bigl(\rho V_r^3\Bigr)_0 G_3 \Bigr] \Bigr\} \nonumber \\ &&#x002B; r \sin \theta _M \Bigl( F_{K, \theta }\Bigr)_{ \theta _M} = r^2\frac{\rho C_p T}{\alpha l} \Bigl(\frac{{\UpDelta} T_0}{\overline{T}}\Bigr) J_{1,M} &#x002B; \alpha_2 \frac{k}{2} \frac{\Bigl(\rho V_{r}^3\Bigr)_0}{l} r^2 J_{4,M} \, , \nonumber \end{align*}(73)

where, usingEq. (16), we used the notation F C,r,0 T ¯ \UpDelta S 0 (ρ V r ) 0 Mathematical equation: $F_{C,r,0} \equiv \overline{T} {\UpDelta} S_0 \Bigl(\rho V_r\Bigr)_0$.

5 System to be integrated

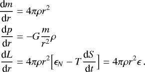
In this section, we summarize the equations to be integrated. Obviously, they have to be complemented by an equation of state, the equations for the kinetic of nuclear reactions, and the three usual equations, namely dm dr =4πρ r 2 dp dr =G m r 2 ρ dL dr =4πρ r 2 [ ϵ N T dS dt ]=4πρ r 2 ϵ. Mathematical equation: \begin{align*} {\frac{\textrm{d} {m} } {\textrm{d} {r}} } &= 4\pi\rho r^2 \\ {\frac{\textrm{d} {p} } {\textrm{d} {r}} } &= -G\frac{m}{r^2} \rho \\ {\frac{\textrm{d} {L} } {\textrm{d} {r}} } &= 4 \pi \rho r^2 \Bigl[\epsilon_N - T{\frac{\textrm{d} {S} } {\textrm{d} {t}} }\Bigr] = 4\pi \rho r^2 \epsilon \, . \end{align*}(74) (75) (76)

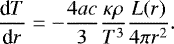
In radiative layers, we also have to add dT dr = 4ac 3 κρ T 3 L(r) 4π r 2 . Mathematical equation: \begin{equation*} {\frac{\textrm{d} {T} } {\textrm{d} {r}} } = - \frac{4ac}{3} \frac{\kappa \rho}{T^3} \frac{L(r)}{4\pi r^2}. \end{equation*}(77)

In the convective core we have first to take into account the equations integrated over a spherical surface. More precisely, they are;

  • the equation of continuity (Eqs. (49) or (51))

N J 0,M + A D N D J 0,D or J 0,M + A D J 0,D =0, Mathematical equation: \begin{equation*}N J_{0,M} &#x002B; A_D N_D J_{0,D} \quad {\textrm{or}} \quad J_{0,M} &#x002B; A_D J^{\prime}_{0,D} = 0, \end{equation*}(78)
  • the equation of mechanical energy conservation (Eq. (53)) 1 r 2 d S ¯ dr ( k r 2 2 (ρ V r 3 ) 0 G 3 ) =( \UpDelta ρ 0 ρ ¯ ) (ρ V r ) 0 g G 1 k (ρ V r 3 ) 0 l G 4 , Mathematical equation: \begin{align*}\frac{1}{r^2} {\frac{\textrm{d} {\overline{S}} } {\textrm{d} {r}} } \Bigl( \frac{k r^2 }{2} \Bigl(\rho V_r^3\Bigr)_0 G_3\Bigr) &= -\Bigl(\frac{{\UpDelta} \rho_0}{\overline{\rho}}\Bigr) \Bigl(\rho V_r\Bigr)_0 g G_1 \nonumber \\ &- \frac{ k \Bigl(\rho V_r^3\Bigr)_0}{l} G_4, \end{align*}(79)

  • the equation of thermal energy conservation (Eq. (55))

L ¯ (r) L ¯ R (r) 4π r 2 = C p \UpDelta T 0 (ρ V r ) 0 G 1 + k 2 (ρ V r 3 ) 0 G 3 , Mathematical equation: \begin{equation*}\frac{\overline{L}(r)-\overline{L}_R(r)}{4\pi r^2} = C_p {\UpDelta} T_0 \Bigl(\rho V_r\Bigr)_0 G_1 &#x002B; \frac{k}{2} \Bigl(\rho V_r^3\Bigr)_0 G_3, \end{equation*}(80)

with Eq. (54) for the definition of the coefficients Gi.

The same equations integrated over the “horizontal” section of a plume, together with the one giving the advection velocity, are also to be taken into account. Namely;

  • the equation of continuity (Eq. (59))

J 0,M d S ¯ dr [ r 2 (ρ V r ) 0 ] + J 2,M r 2 (ρ V r ) 0 dln θ M dr +rsin θ M (ρ V θ ) θ M =0. Mathematical equation: \begin{align*}J_{0,M} {\frac{\textrm{d} {\overline{S}} } {\textrm{d} {r}} } \Bigl[r^2 \Bigl(\rho V_r\Bigr)_0 \Bigr] &&#x002B; J_{2,M} r^2 \Bigl(\rho V_r\Bigr)_0 {\frac{\textrm{d} {\ln \theta _M} } {\textrm{d} {r}} } \nonumber \\ &&#x002B; r\sin \theta _M \Bigl(\rho V_{\theta} \Bigr)_{ \theta _M} = 0. \end{align*}(81)
  • the equation of mechanical energy conservation (Eq. (82)) J 4,M d S ¯ dr [ r 2 k 2 (ρ V r 3 ) 0 ]+ 3 2 k r 2 (ρ V r 3 ) 0 dln θ M dr J 5,M +r (sinθ F K,θ ) θ M = r 2 [ \UpDelta ρ 0 ρ ¯ (ρ V r ) 0 g J 1,M + k (ρ V r 3 ) 0 l J 4,M ], Mathematical equation: \begin{align*}&J_{4,M} {\frac{\textrm{d} {\overline{S}} } {\textrm{d} {r}} } \Bigl[r^2\frac{k}{2} \Bigl(\rho V_r^3\Bigr)_0\Bigr] &#x002B; \frac{3}{2} k r^2 \Bigl(\rho V_{r}^3\Bigr)_0 {\frac{\textrm{d} {\ln \theta _M} } {\textrm{d} {r}} } J_{5,M} \\ &&#x002B; r \Bigl(\sin \theta \, F_{K, \theta }\Bigr)_{ \theta _M} = - r^2 \Bigl[\frac{{\UpDelta} \rho_0}{\overline{\rho}} \Bigl(\rho V_r\Bigr)_0 g J_{1,M} &#x002B; \frac{k \Bigl(\rho V_r^3\Bigr)_0}{l} J_{4,M}\Bigr] \, , \nonumber \end{align*}(82)

    where

( F K,θ ) θ M = (ρ V θ 3 ) θ M . Mathematical equation: \begin{equation*} \Bigl(F_{K, \theta }\Bigr)_{ \theta _M} = \Bigl(\rho V_{\theta} ^3\Bigr)_{ \theta _M}. \end{equation*}(83)
  • the super adiabatic gradient (Eq. (66)) C p T ¯ (ρ V r ) 0 ( ¯ a ) dln p ¯ dr =[ν(Q+1)μ] ρϵ ¯ ( \UpDelta T 0 T ¯ ) C p T ¯ αl ( \UpDelta T 0 T ¯ ) (ρ V r ) 0 J 1,M J 0,M α 2 k 2 (ρ V r 3 ) 0 l J 4,M J 0,M 1 r 2 d S ¯ dr { r 2 χ 2 dln(\UpDelta T 0 / T ¯ ) dr } 1 r 2 d S ¯ dr { r 2 χ 2 dln θ M dr } J 2,M J 0,M 1 r 2 d S ¯ dr { r 2 χ 1 F ¯ R,r }+ χ 1 F ¯ R,r dln θ M dr J 2,M J 0,M + χ 2 { J 2,M + J 3,M J 0,M ( dln θ M dr ) 2 J 2,M J 0,M dln θ M dr + 2 π sin θ M θ M r 2 1 J 0,M }, Mathematical equation: \begin{align*}&C_p \overline{T} \Bigl(\rho V_{r}\Bigr)_0 \Bigl(\overline{\nabla} - \nabla_a\Bigr) {\frac{\textrm{d} {\ln \overline{p}} } {\textrm{d} {r}} } = \Bigl[\nu - (Q&#x002B;1)\mu\Bigr] \overline{\rho \epsilon} \Bigl(\frac{{\UpDelta} T_0}{\overline{T}}\Bigr) \\ &- \frac{C_p \overline{T} }{\alpha l} \Bigl(\frac{{\UpDelta} T_0}{\overline{T}}\Bigr) \Bigl(\rho V_{r}\Bigr)_0 \frac{J_{1,M}}{J_{0,M}} -\alpha_2 \frac{k}{2} \frac{\Bigl(\rho V_{r}^3\Bigr)_0}{ l} \frac{J_{4,M}}{J_{0,M}} \nonumber \\ &-\frac{1}{r^2 } {\frac{\textrm{d} {\overline{S}} } {\textrm{d} {r}} } \Bigl\{ r^2 \, \chi_2 {\frac{\textrm{d} {\ln \Bigl({\UpDelta} T_0 / \overline{T}\Bigr)} } {\textrm{d} {r}} } \Bigr\} -\frac{1}{r^2 } {\frac{\textrm{d} {\overline{S}} } {\textrm{d} {r}} } \Bigl\{ r^2 \, \chi_2 {\frac{\textrm{d} {\ln \theta _M} } {\textrm{d} {r}} }\Bigr\} \frac{J_{2,M}}{J_{0,M}} \nonumber \\ &-\frac{1}{r^2 } {\frac{\textrm{d} {\overline{S}} } {\textrm{d} {r}} } \Bigl\{ r^2 \, \chi_1 \overline{F}_{R,r} \Bigr\} &#x002B; \chi_1 \overline{F}_{R,r} {\frac{\textrm{d} {\ln \theta _M} } {\textrm{d} {r}} } \frac{J_{2,M}}{J_{0,M}} \nonumber \\ &&#x002B; \chi_2 \Bigl\{\frac{J_{2,M}&#x002B;J_{3,M}}{J_{0,M}}\Bigl({\frac{\textrm{d} {\ln \theta _M} } {\textrm{d} {r}} }\Bigr)^2 - \frac{J_{2,M}}{J_{0,M}} {\frac{\textrm{d} {\ln \theta _M} } {\textrm{d} {r}} } &#x002B; \frac{2}{\pi} \frac{\sin \theta _M}{\theta _M r^2} \frac{1}{J_{0,M}}\Bigr\} \nonumber, \end{align*}(84)

    where

d S ¯ dr = C p ( ¯ a ) dln p ¯ dr . Mathematical equation: \begin{equation*} {\frac{\textrm{d} {\overline{S}} } {\textrm{d} {r}} } = C_p (\overline{\nabla}-\nabla_a) {\frac{\textrm{d} {\ln \overline{p}} } {\textrm{d} {r}} } \, . \end{equation*}(85)
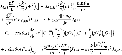
  • and finally the advection velocity (Eq. (73)) J 4,M d S ¯ dr [ r 2 k 2 (ρ V r 3 ) 0 ]+3 J 5,M r 2 k 2 (ρ V r 3 ) 0 dln θ M dr + d S ¯ dr ( r 2 F C,r,0 ) J 1,M + r 2 F C,r,0 dln θ M dr J 6,M (1cos θ M ) d S ¯ dr { r 2 [ C p T ¯ ( \UpDelta T 0 T ¯ ) (ρ V r ) 0 G 1 + k 2 (ρ V r 3 ) 0 G 3 ]} +rsin θ M ( F K,θ ) θ M = r 2 ρ C p T αl ( \UpDelta T 0 T ¯ ) J 1,M + α 2 k 2 (ρ V r 3 ) 0 l r 2 J 4,M . Mathematical equation: \begin{align*}&J_{4,M} {\frac{\textrm{d} {\overline{S}} } {\textrm{d} {r}} } \Bigl[ r^2 \frac{k}{2} \Bigl(\rho V_{r}^3\Bigr)_0 \Bigr] &#x002B;3 J_{5,M} r^2 \frac{k}{2} \Bigl(\rho V_{r}^3\Bigr)_0 {\frac{\textrm{d} {\ln \theta _M} } {\textrm{d} {r}} } \nonumber \\ &&#x002B; {\frac{\textrm{d} {\overline{S}} } {\textrm{d} {r}} }\Bigl(r^2 F_{C,r,0}\Bigr) J_{1,M} &#x002B; r^2 F_{C,r,0} {\frac{\textrm{d} {\ln \theta _M} } {\textrm{d} {r}} } J_{6,M} \\ &-(1-\cos \theta _M) {\frac{\textrm{d} {\overline{S}} } {\textrm{d} {r}} } \Bigl\{ r^2 \Bigl[ C_p \overline{T} \Bigl(\frac{{\UpDelta} T_0}{\overline{T}}\Bigr) \Bigl(\rho V_r\Bigr)_0 G_1 &#x002B; \frac{k}{2} \Bigl(\rho V_r^3\Bigr)_0 G_3 \Bigr] \Bigr\} \nonumber \\ &&#x002B; r \sin \theta _M \Bigl(F_{K, \theta }\Bigr)_{ \theta _M} = r^2\frac{\rho C_p T}{\alpha l} \Bigl(\frac{{\UpDelta} T_0}{\overline{T}}\Bigr) J_{1,M} &#x002B; \alpha_2 \frac{k}{2} \frac{\Bigl(\rho V_{r}^3\Bigr)_0}{l} r^2 J_{4,M} \, .\nonumber \end{align*}(86)

It is worth noticing that Eq. (78) and Eq. (80) are algebraic and not differential.

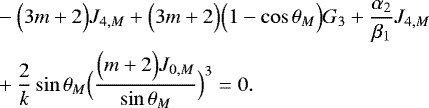
Consequently, we have a total of ten unknowns (i.e. ( m,p,T,L, (ρ V r ) 0 ,\UpDelta ρ 0 / ρ ¯ , V θ M , θ M ,N Mathematical equation: $m, p, T, L, (\rho V_r )_0, {\UpDelta} \rho_0 /\overline{\rho}, V_{\theta _M}, \theta _M, N$)) and AD (we may exclude Eq. (78) of the number of equations and then not consider AD as a variable). Also, we could have added the extra variable θM,D given either by N(1 − cosθM) + ND(1 − cosθMD) = 2 or N(1 − cosθM,D) = 2 (see Eq. (A.19)). Also, in the first case we can consider that NDN and then ND will be a free parameter. However, we have as in the LMLT several parameters, namely the mixing length lMLT and other more or less arbitrary constants. Therefore, we have as many equations as unknowns and we do not need the usual Taylor’s closure hypothesis. Finally, those equations have to be complemented by the boundary conditions at the centre.

6 Remarks concerning α and α2

Before discussing the boundary conditions, it is worth considering the treatment of α and α2 . While most often considered as constant parameters and more precisely equal in up- and down-flows, we will show that this is more a convention rather than a physically-grounded assumption, and we thus propose an alternative way of considering them.

First, let us consider Eq. (22), (\UpDelta F K +\UpDelta F C )= ρT\UpDeltaS| V r | αl + α 2 k 2 ρ V r 3 l . Mathematical equation: \begin{equation*}\boldsymbol{\nabla} \cdot \Bigl({\UpDelta} \mathbf{F}_K &#x002B; {\UpDelta} \mathbf{F}_C \Bigr) = \frac{\rho T {\UpDelta} S \Bigl\vert V_r \Bigr\vert }{\alpha l} &#x002B; \alpha_2 \frac{k}{2} \frac{\rho V_r^3}{l}. \end{equation*}(87)

The average over a spherical surface of Eq. (87) being null, α and α2 must have different values in up- and down-flows. This implies C p ρT α ( \UpDelta T 0 T ¯ ) V r,0 N J 1,M + α 2 k 2 (ρ V r 3 ) 0 N J 4,M = C p ρTl α D l D ( \UpDelta T 0 T ¯ ) A D 2 V r,0 N D J 1,D + α 2,D | A D 3 | k D l 2 l D (ρ V r 3 ) 0 N D J 4,D , Mathematical equation: \begin{align*}&\frac{C_p \rho T}{\alpha} \Bigl(\frac{{\UpDelta} T_0}{\overline{T}}\Bigr) V_{r,0} N J_{1,M} &#x002B; \alpha_2 \frac{k}{2} \Bigl(\rho V_r^3\Bigr)_0 N J_{4,M} \\ &= \frac{C_p \rho T \, l}{\alpha_D \, l_D} \Bigl(\frac{{\UpDelta} T_0}{\overline{T}}\Bigr) A_D^2 V_{r,0} N_D J_{1,D} &#x002B; \alpha_{2,D} \Bigl\vert A_D^3 \Bigr\vert \frac{k_D \, l}{2\, l_D} \Bigl(\rho V_r^3\Bigr)_0 N_D J_{4,D} \, , \nonumber \end{align*}(88)

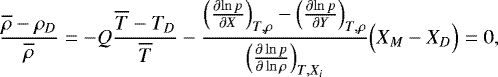
where, in the latter equation, α, α2 and αD, α2,D are associated with the up- and down-flows, respectively. We draw attention to the fact that we need the mean temperature gradients obtained from the up and down flows to be the same.

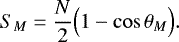
Except in very small regions close to each boundary of the convective core but much thinner than one layer there, because of the very low thermal conductivity deep inside stars and also because ϵ C p T ¯ Mathematical equation: $\epsilon \ll C_p \overline{T}$, Eq. (84 ) reduces with a very good accuracy to V r,0 ( ¯ a ) dln p ¯ dr = 1 αl ( \UpDelta T 0 T ¯ )| V r,0 | J 1,M J 0,M α 2 k 2l (ρ V r 3 ) 0 C p ρ ¯ T ¯ J 4,M J 0,M . Mathematical equation: \begin{align*} &V_{r,0} \Bigl(\overline{\nabla} - \nabla_{a}\Bigr) {\frac{\textrm{d} {\ln \overline{p}} } {\textrm{d} {r}} } = \nonumber \\ & - \frac{1}{\alpha l} \Bigl(\frac{{\UpDelta} T_0}{\overline{T}}\Bigr) \Bigl\vert V_{r,0}\Bigr\vert \frac{J_{1,M}}{J_{0,M}} - \alpha_2 \frac{k}{2 l} \frac{\Bigl(\rho V_r^3\Bigr)_0}{C_p \overline{\rho} \overline{T}} \frac{J_{4,M}}{J_{0,M}}. \end{align*}(89)

Therefore we must have for the down-flow V r,0 ( ¯ a ) dln p ¯ dr = | A D | α D l D ( \UpDelta T 0 T ¯ )| V r,0 | J 1,D J 0,D A D 2 α 2,D k D 2 l D (ρ V r 3 ) 0 C p ρ ¯ T ¯ J 4,D J 0,D Mathematical equation: \begin{align*} &V_{r,0} \Bigl(\overline{\nabla} - \nabla_{a}\Bigr) {\frac{\textrm{d} {\ln \overline{p}} } {\textrm{d} {r}} } = \nonumber \\ & - \frac{\Bigl\vert A_D \Bigr\vert}{\alpha_D l_D} \Bigl(\frac{{\UpDelta} T_0}{\overline{T}}\Bigr) \Bigl\vert V_{r,0}\Bigr\vert \frac{J_{1,D}}{J_{0,D}} - A_D^2 \alpha_{2,D} \frac{k_D}{2 l_D} \frac{\Bigl(\rho V_r^3\Bigr)_0}{C_p \overline{\rho} \overline{T}} \frac{J_{4,D}}{J_{0,D}} \end{align*}(90)

thus 1 αl ( \UpDelta T 0 T ¯ )| V r,0 | J 1,M J 0,M α 2 k 2l (ρ V r 3 ) 0 C p ρ ¯ T ¯ J 4,M J 0,M = | A D | α D l D ( \UpDelta T 0 T ¯ )| V r,0 | J 1,D J 0,D A D 2 α 2,D k D 2 l D (ρ V r 3 ) 0 C p ρ ¯ T ¯ J 4,D J 0,D . Mathematical equation: \begin{align*}&- \frac{1}{\alpha l} \Bigl(\frac{{\UpDelta} T_0}{\overline{T}}\Bigr) \Bigl\vert V_{r,0}\Bigr\vert \frac{J_{1,M}}{J_{0,M}} - \alpha_2 \frac{k}{2 \, l} \frac{\Bigl(\rho V_r^3\Bigr)_0}{C_p \overline{\rho} \overline{T}} \frac{J_{4,M}}{J_{0,M}} = \nonumber \\ &- \frac{\Bigl\vert A_D \Bigr\vert}{\alpha_D l_D} \Bigl(\frac{{\UpDelta} T_0}{\overline{T}}\Bigr) \Bigl\vert V_{r,0}\Bigr\vert \frac{J_{1,D}}{J_{0,D}} - A_D^2 \alpha_{2,D} \frac{k_D}{2\,l_D} \frac{\Bigl(\rho V_r^3\Bigr)_0}{C_p \overline{\rho} \overline{T}} \frac{J_{4,D}}{J_{0,D}}. \end{align*}(91)

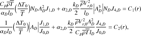
Equations (88) and (91) form a system connecting the two sets of variable (i.e. α, α2 and αD , α2,D). Obviously, if one decides that α and α2 are constants then the other pair must be variable. However, there is no reason to treat α, α2 as constants and αD, α2,D as variables (or the other way around). The only way to avoid this is if these variables are the solution of the following two systems: C p ρ ¯ T ¯ αl ( \UpDelta T 0 T ¯ )N J 1,M + α 2 k 2 ρ ¯ V r,0 2 l N J 4,M = C 1 (r) 1 αl ( \UpDelta T 0 T ¯ ) J 1,M J 0,M + α 2 k 2 ρ ¯ V r,0 2 C p ρ ¯ T ¯ l J 4,M J 0,M = C 2 (r) Mathematical equation: \begin{align*} &\frac{C_p \overline{\rho} \overline{T}}{\alpha l} \Bigl(\frac{{\UpDelta} T_0}{\overline{T}}\Bigr) N J_{1,M} &#x002B; \alpha_2 \frac{k}{2} \frac{\overline{\rho} V_{r,0}^2}{l} N J_{4,M} = C_1(r) \\ & \frac{1}{\alpha l} \Bigl(\frac{{\UpDelta} T_0}{\overline{T}}\Bigr) \frac{J_{1,M}}{J_{0,M}} &#x002B; \alpha_2 \frac{k}{2} \frac{\overline{\rho} V_{r,0}^2}{C_p \overline{\rho} \overline{T} l} \frac{J_{4,M}}{J_{0,M}} = C_2(r) \end{align*}(92) (93)

and C p ρ ¯ T ¯ α D l D ( \UpDelta T 0 T ¯ ) N D A D 2 J 1,D + α 2,D k D 2 ρ ¯ V r,0 2 l D | A D 3 | N D J 4,D = C 1 (r) 1 α D l D ( \UpDelta T 0 T ¯ )| A D | J 1,D J 0,D + α 2,D k D 2 ρ ¯ V r,0 2 A D 2 C p ρ ¯ T ¯ l D J 4,D J 0,D = C 2 (r), Mathematical equation: \begin{align*} &\frac{C_p \overline{\rho} \overline{T}}{\alpha_D l_D} \Bigl(\frac{{\UpDelta} T_0}{\overline{T}}\Bigr) N_D A_D^2 J_{1,D} &#x002B; \alpha_{2,D} \frac{k_D}{2} \frac{\overline{\rho} V_{r,0}^2}{l_D} \Bigl\vert A_D^3 \Bigr\vert N_D J_{4,D} = C_1(r) \\ & \frac{1}{\alpha_D l_D} \Bigl(\frac{{\UpDelta} T_0}{\overline{T}}\Bigr) \Bigl\vert A_D \Bigr\vert \frac{J_{1,D}}{J_{0,D}} &#x002B; \alpha_{2,D} \frac{k_D}{2} \frac{\overline{\rho} V_{r,0}^2 A_D^2}{C_p \overline{\rho} \overline{T} l_D} \frac{J_{4,D}}{J_{0,D}} = C_2(r), \end{align*}(94) (95)

where C1(r) and C2(r) are the new arbitrary coefficients, constant over a spherical surface.

The coefficients C1(r) and C2(r) still depend on the radius even within the LMLT framework. This can be fixed by introducing to other coefficients, namely C 1 (r) = C p ρT ¯ l ( \UpDelta T 0 T ¯ ) C 1 (r) C 2 (r) = 1 l ( \UpDelta T 0 T ¯ ) C 2 (r). Mathematical equation: \begin{align*} C_1(r) &= \frac{C_p \overline{\rho T}}{l} \Bigl(\frac{{\UpDelta} T_0}{\overline{T}}\Bigr) C_1^{\prime}(r) \\ C_2(r) &= \frac{1}{l} \Bigl(\frac{{\UpDelta} T_0}{\overline{T}}\Bigr) C_2^{\prime}(r). \end{align*}(96) (97)

With this choice, within the LMLT, C 1 Mathematical equation: $C_1^{\prime}$ and C 2 Mathematical equation: $C_2^{\prime}$ no longer depend on the radius and are constants. Indeed, within the LMLT, one has ( \UpDelta T 0 T ¯ ) V r,0 2 C p T ¯ a , Mathematical equation: \begin{equation*} \Bigl(\frac{{\UpDelta} T_0}{\overline{T}}\Bigr) \propto \frac{V_{r,0}^2}{C_p \overline{T} \nabla_{a}}, \end{equation*}(98)

since the mixing length is proportional to the pressure scale height. Moreover, one has AD = −1, NJ1,M = NDJ1,D, J4,M = NDJ4,D, J1,MJ0,M = J1,DJ0,D, J4,MJ0,M = J4,DJ0,D, the latter being constants. We see that the two sets of equations are identical and the two sets of unknowns are equal. However, if α and α2 are constants, then αD and α2D will vary only slightly as ∇a . This justifies once more the absence of the term in α2 in the LMLT. There is a slight difference with the usual LMLT, which results from a different choice of the “horizontal” variation of the variables. In the LMLT, the function h( θ, ϕ) is assumed to be constant in the up- (h(θ, ϕ) = 1) and down-flows (h( θ, ϕ) = −1). This finally suggests that we should take C 1 Mathematical equation: $C_1^{\prime}$ and C 2 Mathematical equation: $C_2^{\prime}$ as true constants independent of the distance to the centre.

7 Boundary conditions at the centre

Boundary conditions at the centre of convective cores constitute a non-trivial issue even if it is a coordinate singularity rather than a physical one. Regarding 3D hydrodynamical simulations, it is difficult to obtain the temperature gradient since the 3D hydrodynamical simulations are not yet able to reach the thermal relaxation as its characteristic time is very long. Also, for the vertical component of the velocity, two recent numerical simulations by Gilet (2012) and Cai et al. (2011) adopt different boundary condition. The first one considers V r (0) = 0 while the second one considers a non-vanishing value.

In this section, we provide boundary conditions for our model but we would like to stress that the discussion that follows is closely linked to our hypothesis that the plumes theory we decided to develop is valid down to the centre. One of the consequences of this hypothesis is that the equations have a singularity there and that the behaviour of the variables of the problem close to it is given by the requirement that the solution is regular. Of course our hypothesis can be put in question as the physics of the problem does not necessarily require a singularity at the centre. One could for instance prefer the kind of behaviour adopted by Cai et al. (2011). Nevertheless we may reasonably hope that this choice will not significantly modify the solution in the outer part of the convective core where the temperature gradient departs significantly from the adiabatic value. The same point of view justifies our decision to ignore the very small super adiabatic central core we will find in the discussion here below and to assume that the central regions of the core are adiabatic.

7.1 The temperature gradient at the centre

Let us now consider Eq. (66) (or Eq. (84)). It contains several terms that may lead to a singularity at the centre. The second to last of the right hand side member is the most singular one, so let us first compare it to the fourth one as these terms are the two components of the divergence of the radiative flux convective fluctuation. Clearly, close to the centre the non-radial component will dominate, because the “horizontal” extent of a plume becomes very small, so that the “horizontal” temperature gradient is very large. This term is still larger than the radial one far from the centre. Indeed, we can roughly write the radial term such that 1 C p T ¯ ρ ¯ 1 r 2 d S ¯ dr { r 2 χ 2 dln(\UpDelta T 0 / T ¯ ) dr } 4ac 3 T ¯ 3 C p κ ρ ¯ 2 H p 2 ( \UpDelta T 0 T ¯ ). Mathematical equation: \begin{equation*} -\frac{1}{C_p \overline{T} \overline{\rho}}\frac{1}{r^2 } {\frac{\textrm{d} {\overline{S}} } {\textrm{d} {r}} } \Bigl\{ r^2 \, \chi_2 {\frac{\textrm{d} {\ln \Bigl({\UpDelta} T_0 / \overline{T}\Bigr)} } {\textrm{d} {r}} } \Bigr\}\simeq\frac{4ac}{3} \frac{\overline{T}^3}{C_p \kappa \overline{\rho}^2 H_p^2} \Bigl(\frac{{\UpDelta} T_0}{\overline{T}}\Bigr). \end{equation*}(99)

Therefore, the radial term is the leading one if H p r < π 2 θ M sin θ M J 0,M or| dlnp dlnr |> ( π 2 θ M sin θ M J 0,M ) 1/2 . Mathematical equation: \begin{equation*} \frac{H_p}{r} < \sqrt{\frac{\pi}{2} \frac{\theta _M}{\sin \theta _M} J_{0,M}} \; \; {\textrm{or}} \; \; \Bigl\vert {\frac{\textrm{d} {\ln p} } {\textrm{d} {\ln r}} } \Bigr\vert > \Bigl(\frac{\pi}{2} \frac{\theta _M}{\sin \theta _M} J_{0,M}\Bigr)^{-1/2}. \end{equation*}(100)

Consequently, except for large values of θM approachingone, this condition will not be fulfilled in most of the radiative cores so that we have to take the non-radial component into account. However, because of the low conductivity of the gas deep in stars, the second term of the right hand side member in Eq. (66) (or Eq. (84)) is expected to become quickly the leading one.

Finally, we conclude that, because the radiative dissipation through the “horizontal” component will be important in the vicinity of the centre, our formalism leads to a small non-adiabatic core near the centre. At first, we will estimate the extent of the non-adiabatic convective core.

Close tothe centre, Eq. (66) reduces to V r,0 ( ¯ a ) dln p ¯ dr = 8ac 3π sin θ M θ M r 2 ( T 3 C p κ ρ 2 ) ¯ ( \UpDelta T 0 T ¯ ) 1 J 0,M , Mathematical equation: \begin{equation*}V_{r,0} \Bigl(\overline{\nabla} - \nabla_a\Bigr) {\frac{\textrm{d} {\ln \overline{p}} } {\textrm{d} {r}} } = - \frac{8 ac}{3 \pi} \frac{\sin \theta _M}{\theta _M r^2} \overline{\Bigl(\frac{T^3}{C_p \kappa \rho^2}\Bigr)} \Bigl(\frac{{\UpDelta} T_0}{\overline{T}}\Bigr) \frac{1}{J_{0,M}}, \end{equation*}(101)

which must be solved together with Eq. (79) and Eq. (80) where F R,r ¯ = L R ¯ 4π r 2 = 4ac 3 ( T 4 κρ ) ¯ ¯ dln p ¯ dr F r ¯ = L ¯ 4π r 2 = 4ac 3 ( T 4 κρ ) ¯ ¯ R dln p ¯ dr , Mathematical equation: \begin{align}\overline{F_{R,r}} &= \frac{\overline{L_R}}{4\pi r^2} = -\frac{4ac}{3} \overline{\Bigl(\frac{T^4}{\kappa \rho}\Bigr)} \; \overline{\nabla} \, {\frac{\textrm{d} {\ln \overline{p}} } {\textrm{d} {r}} } \\\overline{F_{r}} &= \frac{\overline{L}}{4\pi r^2} = -\frac{4ac}{3} \overline{\Bigl(\frac{T^4}{\kappa \rho}\Bigr)} \; \overline{\nabla}_R \, {\frac{\textrm{d} {\ln \overline{p}} } {\textrm{d} {r}} }, \end{align}(103) (103)

where R ¯ Mathematical equation: $\overline{\nabla_R}$ is the radiative gradient.

Thus, using Eqs. (102) and (103) into Eq. (101), Eq. (80) becomes 4ac 3 ( T 4 κρ ) ¯ dln p ¯ dr [ ¯ R a ( ¯ a )]= 4ac 3 ( T 4 κρ ) ¯ ×[( ¯ R a ) dln p ¯ dr + 8ac 3π sin θ M θ M r 2 ( T 3 C p κ ρ 2 ) ¯ ( \UpDelta T 0 T ¯ ) 1 J 0,M V r,0 ] = C p T ¯ ( \UpDelta T 0 T ¯ ) (ρ V r ) 0 G 1 + k 2 (ρ V r 3 ) 0 G 3 . Mathematical equation: \begin{align*} &-\frac{4ac}{3} \overline{\Bigl(\frac{T^4}{\kappa \rho}\Bigr)} {\frac{\textrm{d} {\ln \overline{p}} } {\textrm{d} {r}} } \Bigl[\overline{\nabla}_R - \nabla_a - \Bigl(\overline{\nabla} - \nabla_a\Bigr)\Bigr] = -\frac{4ac}{3} \overline{\Bigl(\frac{T^4}{\kappa \rho}\Bigr)} \nonumber \\ &\times \Bigl[ \Bigl(\overline{\nabla}_R - \nabla_a\Bigr) {\frac{\textrm{d} {\ln \overline{p}} } {\textrm{d} {r}} } &#x002B;\frac{8 ac}{3 \pi} \frac{\sin \theta _M}{\theta _M r^2} \overline{\Bigl(\frac{T^3}{C_p \kappa \rho^2}\Bigr)} \Bigl(\frac{{\UpDelta} T_0}{\overline{T}}\Bigr) \frac{1}{J_{0,M} V_{r,0}} \Bigr] \nonumber \\ &= C_p \overline{T} \Bigl(\frac{{\UpDelta} T_0}{\overline{T}}\Bigr) \Bigl(\rho V_r\Bigr)_0 G_1 &#x002B; \frac{k}{2} \Bigl(\rho V_r^3\Bigr)_0 G_3. \end{align*}(104)

To go further, it is necessary to take the Taylor expansion of V r,0 and \UpDelta T 0 / T ¯ Mathematical equation: ${\UpDelta} T_0 / \overline{T}$ at least to the second order to ensure that the temperature gradient does not remain equal to the radiative one and becomes adiabatic at some point off-centre. To that end, we assume that V r,0 = C V r m [1 ( r r 1 ) 2p ] ( \UpDelta T 0 T ¯ )= C T r n [1 ( r r 2 ) 2q ], Mathematical equation: \begin{align*} &V_{r,0} = C_V r^m \Bigl[1- \Bigl(\frac{r}{r_1}\Bigr)^{2p}\Bigr] \\ &\Bigl(\frac{{\UpDelta} T_0}{\overline{T}}\Bigr) = C_T r^n \Bigl[1- \Bigl(\frac{r}{r_2}\Bigr)^{2q}\Bigr], \end{align*}(105) (106)

with nm = 3, as demanded by Eq. (101).

Further assuming that G1 and G3 are constant (which will be found justified later on) and that l = β1r (which is justified by the large radiative dissipations), we get the relations 8ac 3π sin θ M θ M r 2 ( T 3 C p κ ρ 2 ) ¯ ( \UpDelta T 0 T ¯ ) 1 J 0,M C T = ¯ R a r H p J 0,M C V [(3q+2) k 2 G 3 + 2 β 1 G 4 ] C V = ( ¯ R a )Qg r J 0,M G 1 r H p × [ 8ac 3π sin θ M θ M r 2 ( T 3 C p κ ρ 2 ) ¯ ( \UpDelta T 0 T ¯ )] 1 ( r 1 r 2 ) 12 =2, Mathematical equation: \begin{align*} &\frac{8 ac}{3 \pi} \frac{\sin \theta _M}{\theta _M r^2} \overline{\Bigl(\frac{T^3}{C_p \kappa \rho^2}\Bigr)} \Bigl(\frac{{\UpDelta} T_0}{\overline{T}}\Bigr) \frac{1}{J_{0,M}} C_T = \frac{\overline{\nabla}_R - \nabla_a}{r H_p} J_{0,M} C_V \\ &\Bigl[\Bigl(3q&#x002B;2\Bigr)\frac{k}{2} G_3 &#x002B; \frac{2}{\beta_1} G_4\Bigr] C_V = \frac{\Bigl(\overline{\nabla}_R - \nabla_a\Bigr) Qg}{r} \frac{J_{0,M} G_1}{r H_p} \nonumber \\ &\times \Bigl[\frac{8 ac}{3 \pi} \frac{\sin \theta _M}{\theta _M r^2} \overline{\Bigl(\frac{T^3}{C_p \kappa \rho^2}\Bigr)} \Bigl(\frac{{\UpDelta} T_0}{\overline{T}}\Bigr)\Bigr]^{-1} \\ &\Bigl(\frac{r_1}{r_2}\Bigr)^{12} = 2, \end{align*}(107) (108) (109)

and G 1 C V 2 = 2 π sin θ M θ M [ 4ac 3 T 3 C p κ ρ 2 ¯ ] 2 1 J 0,M ( 1 r 1 ) 12 Mathematical equation: \begin{equation*}G_1 C_V^2 = \frac{2}{\pi} \frac{\sin \theta _M}{\theta _M} \Bigl[ \frac{4ac}{3} \overline{\frac{T^3}{C_p \kappa \rho^2}}\Bigr]^2 \frac{1}{J_{0,M}} \Bigl(\frac{1}{r_1}\Bigr)^{12} \end{equation*}(110)

together with the values m = 5, n = 8, and p = q = 6.

We have computed these quantities for a few main-sequence models with an initial composition X = 0.72 and Z = 0.015 either close to the ZAMS or close to the middle main sequence (MMS). The values of CT and CV depend on the assumed values for the Gi (see Table 1). They allow nevertheless a good accuracy on r1 because it appears at the power 12 in Eq. (110). The results are given in Table 1.

Though it is not very accurate to compute the extent of the super-adiabatic convective core with just a second-order expansion, we may expect that r1 gives its right order of magnitude. Since r1r(2) (r(2) being the radius of the first off-centre point of the models) in all cases considered in Table 1 and since T(1)T(2)r (2) 2 Mathematical equation: $T(1)-T(2) \propto r (2)^2$ (T(1) − T(2) being the temperature difference between the centre and the second mesh point of the models) is small, it will in practice make no difference (it will be smaller than the accuracy of the models computation) whether the temperature gradient is adiabatic down to the centre or whether there is a small super-adiabatic core. Moreover, it would be necessary to introduce many mesh points in that small domain in order to compute accurately the structure of this non-adiabatic core and particularly to follow the variation of the temperature gradient. Therefore we will ignore the latter and we will assume that ¯ R = a Mathematical equation: $\overline{\nabla}_R = \nabla_a$ until we are far enough from the centre. Then, Eq. (84) may be used to compute the departure from the adiabatic gradient. Nevertheless, this small super-adiabatic core as predicted by the plume theory as well as the nuclear reactions might help the formation ofup-rising plumes.

Table 1

Central hydrogen abundance of the model (first line), radius of the first off-centre point (fifth line), temperature difference between the centre and point 2 (sixth line).

7.2 The boundary conditions

We will nowconsider the Taylor expansion of the equations Eq. (79) to Eq. (86), assuming that the temperature gradient is adiabatic at the centre justified in the previous section.

Let us first recast Eq. (79) and Eq. (80) as dy dr +[ 2 G 4 l G 3 + a H p ]y= a H p L ¯ (r) L ¯ R (r) 4π , Mathematical equation: \begin{equation*}{\frac{\textrm{d} {y} } {\textrm{d} {r}} } &#x002B; \Bigl[\frac{2 G_4}{l G_3} &#x002B; \frac{\nabla_a}{H_p} \Bigr] y = \frac{\nabla_a}{H_p} \frac{\overline{L}(r)-\overline{L}_R(r)}{4 \pi}, \end{equation*}(111)

with y= k 2 r 2 (ρ V r 3 ) 0 G 3 . Mathematical equation: \begin{equation*} y = \frac{k}{2} r^2 \Bigl(\rho V_r^3\Bigr)_0 G_3. \end{equation*}(112)

The second term in the bracket is negligible close to the centre and we will take again l = β1r. More generally, we suggest taking l = min[β1r, β2RCC, β3Hp], where RCC is the radius of the convective core and the βi are undetermined constants. This would be the usual way to define l but, following the recent findings by Arnett et al. (2009, 2015), one can instead suggest to consider l = min[β1r;β2RCC]. The solution of Eq. (111) is given by y= r 2 k 2 (ρ V r 3 ) 0 G 3 = r a H p L ¯ (r) L ¯ R (r) 4π[5+ 2 G 4 β 1 G 3 ] , Mathematical equation: \begin{equation*}y = r^2 \frac{k}{2} \Bigl(\rho V_r^3\Bigr)_0 G_3 = \frac{r \nabla_a}{H_p} \frac{\overline{L}(r)-\overline{L}_R(r)}{4 \pi \Bigl[5&#x002B;\frac{2G_4}{\beta_1 G_3}\Bigr]}, \end{equation*}(113)

which showsthat (ρ V r ) 0 r Mathematical equation: $\Bigl(\rho V_r\Bigr)_0 \propto r$. As a result, the kinematic convective energy flux is negligible compared to the convective flux and (\UpDelta T 0 / T ¯ ) Mathematical equation: $\Bigl({\UpDelta} T_0 / \overline{T}\Bigr)$ is given by L ¯ (r) L ¯ R (r) 4π r 2 = 4ac 3 ( T 4 κρ ) ¯ dln p ¯ dr [ ¯ R a ] = C p T ¯ ( \UpDelta T 0 T ¯ ) (ρ V r ) 0 G 1 , Mathematical equation: \begin{align*}\frac{\overline{L}(r)-\overline{L}_R(r)}{4 \pi r^2} &= - \frac{4ac}{3} \overline{\Bigl(\frac{T^4}{\kappa \rho}\Bigr)} {\frac{\textrm{d} {\ln \overline{p}} } {\textrm{d} {r}} } \Bigl[\overline{\nabla}_R - \nabla_a\Bigr] \nonumber \\ &= C_p \overline{T} \Bigl(\frac{{\UpDelta} T_0}{\overline{T}} \Bigr) \Bigl(\rho V_r\Bigr)_0 G_1, \end{align*}(114)

and it is different from zero at the centre. Not surprisingly, we recover the same results as Lo & Schatzman (1997).

To go further, we consider a Taylor expansion of V r,0 and \UpDelta T 0 / T ¯ Mathematical equation: ${\UpDelta} T_0 / \overline{T}$ and we will keep the notations as in the previous section, V r,0 = C V r m ( \UpDelta T 0 T ¯ )= C T r n , Mathematical equation: \begin{align*} V_{r,0}=C_V r^m \\ \Bigl(\frac{{\UpDelta} T_0}{\overline{T}} \Bigr) =C_T r^n, \end{align*}(115) (116)

but now m=1 and n=0 as imposed by Eq. (113) and Eq. (114).

We now consider the equations for a plume. Let us first consider Eq. (59). The second term of the equation is negligible as it is at least proportional to r3 so that we obtain (m+2) J 0,M (ρ V r ) 0 +sin θ M (ρ V θ ) θ M =0 Mathematical equation: \begin{equation*} \Bigl(m&#x002B;2\Bigr) J_{0,M} \Bigl(\rho V_r\Bigr)_0 &#x002B; \sin \theta _M \Bigl(\rho V_{\theta} \Bigr)_{ \theta _M} = 0 \end{equation*}(117)

or (ρ V θ 3 ) θ M = ( (m+2) J 0,M sin θ M ) 3 (ρ V r 3 ) 0 . Mathematical equation: \begin{equation*} \Bigl(\rho V_{\theta} ^3\Bigr)_{ \theta _M} = - \Bigl(\frac{\Bigl(m&#x002B;2\Bigr) J_{0,M}}{\sin \theta _M}\Bigr)^3 \Bigl(\rho V_r^3\Bigr)_0. \end{equation*}(118)

We see that close to the centre the advection is directed towards the interior of the plume.

Let us now turn to Eq. (82). It leads to 3r J 5,M [ k 2 dln θ M dr ]=sin θ M ( (m+2) J 0,M sin θ M ) 3 (3m+2) J 4,M k 2 + J 1,M Q p ¯ ρ ¯ r H p C T C V 2 1 β 1 J 4,M k, Mathematical equation: \begin{align*} &3 r J_{5,M} \Bigl[\frac{k}{2} {\frac{\textrm{d} {\ln \theta _M} } {\textrm{d} {r}} }\Bigr] = \sin \theta _M \Bigl(\frac{\Bigl(m&#x002B;2\Bigr) J_{0,M}}{\sin \theta _M}\Bigr)^3 - \Bigl(3m&#x002B;2\Bigr) J_{4,M} \frac{k}{2} \nonumber \\ &&#x002B; J_{1,M} Q \frac{\overline{p}}{\overline{\rho} r H_p} \frac{C_T}{C_V^2} - \frac{1}{\beta_1} J_{4,M} k, \end{align*}(119)

and to avoid the singularity of d lnθM∕dr, we must have sin θ M ( (m+2) J 0,M sin θ M ) 3 (3m+2) J 4,M k 2 + J 1,M Q p ¯ ρ ¯ r H p C T C V 2 1 β 1 J 4,M k=0. Mathematical equation: \begin{align*} &\sin \theta _M \Bigl(\frac{\Bigl(m&#x002B;2\Bigr) J_{0,M}}{\sin \theta _M}\Bigr)^3 - \Bigl(3m&#x002B;2\Bigr) J_{4,M} \frac{k}{2} &#x002B; J_{1,M} Q \frac{\overline{p}}{\overline{\rho} r H_p} \frac{C_T}{C_V^2} \nonumber \\ &- \frac{1}{\beta_1} J_{4,M} k = 0. \end{align*}(120)

This equation shows that θM is constant over the domain of the Taylor expansion. Also through the Gi appearing in the definition of CT and CV, the three variables N, ND, and θMD appear in this equation. There is a relation between N, ND, θM, and θMD as we have either N(1 − cosθM) + ND(1 − cosθMD) = 2 or N(1 − cosθMD) = 2 (see Eq. (A.19)).

Finally,we consider Eq. (86). The leading terms of this equation include FC,r,0 , which gives J 6,M r dln θ M dr =(m+n+2) J 1,M +(m+n+2)(1cos θ M ) G 1 + J 1,M α β 1 . Mathematical equation: \begin{align*} J_{6,M} r {\frac{\textrm{d} {\ln \theta _M} } {\textrm{d} {r}} } &=- \Bigl(m&#x002B;n&#x002B;2\Bigr) J_{1,M} \nonumber \\ &&#x002B; \Bigl(m&#x002B;n&#x002B;2\Bigr) \Bigl(1- \cos \theta _{M}\Bigr)G_1 &#x002B; \frac{J_{1,M}}{\alpha \beta_1}. \end{align*}(121)

Proceeding as previously, one has (m+n+2)(1cos θ M ) G 1 = J 1,M α β 1 +(m+n+2) J 1,M . Mathematical equation: \begin{equation*} \Bigl(m&#x002B;n&#x002B;2\Bigr) \Bigl(1- \cos \theta _{M}\Bigr)G_1 = -\frac{J_{1,M}}{\alpha \beta_1} &#x002B; \Bigl(m&#x002B;n&#x002B;2\Bigr) J_{1,M}. \end{equation*}(122)

This equation provides the second relation between θM and N. We see that the values of N and θM depend on two poorly known parameters α and β1.

It could also be tempting to cancel the terms in (ρ V r 3 ) 0 Mathematical equation: $\Bigl(\rho V_{r}^3\Bigr)_0$ so that J 5,M r dln θ M dr =(3m+2) J 4,M +(3m+2)(1cos θ M ) G 3 + 2 k sin θ M ( (q+2) J 0,M sin θ M ) 3 + α 2 β 1 J 4,M . Mathematical equation: \begin{align*} J_{5,M} r {\frac{\textrm{d} {\ln \theta _M} } {\textrm{d} {r}} } &=-\Bigl(3m&#x002B;2\Bigr) J_{4,M} &#x002B; \Bigl(3m&#x002B;2\Bigr) \Bigl(1-\cos \theta _M\Bigr) G_3 \nonumber \\ &&#x002B; \frac{2}{k} \sin \theta _M \Bigl(\frac{\Bigl(q&#x002B;2\Bigr) J_{0,M}}{\sin \theta _M}\Bigr)^3 &#x002B; \frac{\alpha_2}{\beta_1} J_{4,M}. \end{align*}(123)

Thus, (3m+2) J 4,M +(3m+2)(1cos θ M ) G 3 + α 2 β 1 J 4,M + 2 k sin θ M ( (m+2) J 0,M sin θ M ) 3 =0. Mathematical equation: \begin{align*}&-\Bigl(3m&#x002B;2\Bigr) J_{4,M} &#x002B; \Bigl(3m&#x002B;2\Bigr) \Bigl(1-\cos \theta _M\Bigr) G_3 &#x002B; \frac{\alpha_2}{\beta_1} J_{4,M} \nonumber \\ &&#x002B; \frac{2}{k} \sin \theta _M \Bigl(\frac{\Bigl(m&#x002B;2\Bigr) J_{0,M}}{\sin \theta _M}\Bigr)^3 = 0. \end{align*}(124)

This equation would enable the computation of α2. However, we have to remember that the solutions for V r,0 and therefore for \UpDelta T 0 / T ¯ Mathematical equation: ${\UpDelta} T_0 / \overline{T}$ are valid to the first order only and that if a solution taking higher-order terms had been computed, the lower order terms in (ρ V r 3 ) 0 Mathematical equation: $\Bigl(\rho V_{r}^3\Bigr)_0$ would be mixed with higher order terms in FC,r,0 so that Eq. (124 ) is not valid and α2 remains a free parameter.

8 Case of an expanding core with a discontinuity of chemical composition at its surface

During some fraction of the main-sequence phase in stars slightly more massive than the Sun and in many stars during central helium burning, the expanding core creates a discontinuity of chemical composition at its surface. In that situation, rising convective matter will reach the discontinuity with a finite radial velocity and will try to overshoot above it, but the difference between the densities on both sides of the discontinuity will soon become very large compared to the convective density fluctuations. That is to say, if ρ+ and ρ are respectively the densities above and below the discontinuity, one has | ρ+ρ| ≫|Δρ0,−|. Therefore, ifwe consider the radial motion of matter above the discontinuity, it is given with a good approximation by 1 r 2 d S ¯ dr ( r 2 ρ V r,0 2 )=( ρ + ρ ) Gm(r) r 2 , Mathematical equation: \begin{equation*} \frac{1}{r^2} {\frac{\textrm{d} {\overline{S}} } {\textrm{d} {r}} } \Bigl( r^2 \rho_- V_{r,0}^2 \Bigr) = (\rho_&#x002B; - \rho_-) \frac{G m(r)}{r^2}, \end{equation*}(125)

as it is essentially slowed down by the buoyancy force, which is much larger that the dissipation term. This gives a penetration length, Δr, given by V r,0, 2 c 2 = 1 Γ 1 ( ρ + ρ ) ρ \UpDeltar H p , Mathematical equation: \begin{equation*} \frac{V_{r,0,-}^2}{c_-^2} = -\frac{1}{\Gamma_1} \frac{(\rho_&#x002B; - \rho_-)}{\rho_-} \frac{{\UpDelta} r}{H_{p-}}, \end{equation*}(126)

where V r,0,− and c are respectively the radial velocity and the sound speed just below the discontinuity. As V r,0, 2 / c 2 10 6 10 7 Mathematical equation: $V_{r,0,-}^2 / c_-^2 \simeq 10^{-6}-10^{-7}$ using orders of magnitude given by the LMLT and (ρ+ρ)∕ρ≃ 10−1 − 10−2, ΔrHp≃ 10−4 and the overshooting distance will be very small. As a matter of fact, rather than to overshoot, the rising material will crush against the discontinuity as the ratio (ρ+ρ)∕Δρ0,− is enormous. This will generate internal gravity waves (see Meakin & Arnett 2007b,a; Arnett et al. 2009) propagating along the discontinuity and producing some mixing, which will be proportional to (X+X) for main-sequence stars or to (Y +Y ) during central helium burning and to [ S M (ρ V r ) M ] Mathematical equation: $[S_{M} (\rho V_r )_M ]_-$ where SM is the fraction of the spherical surface coinciding with the discontinuity occupied by rising material and (ρ V r ) M Mathematical equation: $(\rho V_r)_M$ is the average radial component of the impulsion of rising material at the position of the discontinuity of chemical composition.

The equations obtained in the preceding sections are still valid below this complex mixing layer coinciding just with the discontinuity, and therefore provide the value of Δρ0,− and V r,0,−. However, one must also determine the evolution of the mass of the convective core. To do so, we will consider stars during the main-sequence phase, but the transposition to the central helium burning phase is straightforward.

The variation of the mass of the convective core can be written as d M NC dt =4π r 2 F X,r ( X + X ) , Mathematical equation: \begin{equation*}{\frac{\textrm{d} {M_{\textrm{NC}}} } {\textrm{d} {t}} } = 4\pi r^2 \frac{F_{X,r}}{\Bigl(X_&#x002B; - X_-\Bigr)}, \end{equation*}(127)

where FX,r is the radial component of the hydrogen flux, which is given by F X,r = \UpDeltaM M ( X + X ) [ S M (ρ V r ) M ] = X [ S M (ρ V r ) M ] +X [ S D (ρ V r ) D ] =( X X) [ S M (ρ V r ) M ] , Mathematical equation: \begin{align*}F_{X,r} &= - \frac{{\UpDelta} M}{M} \Bigl( X_&#x002B; - X_- \Bigr) \Bigl[ S_M \Bigl(\rho V_r\Bigr)_M \Bigr]_- \nonumber \\ &= X_- \Bigl[ S_M \Bigl(\rho V_r\Bigr)_M \Bigr]_- &#x002B; X \Bigl[ S_D \Bigl(\rho V_r\Bigr)_D \Bigr]_- \nonumber \\ &= (X_- - X) \Bigl[ S_M \Bigl(\rho V_r\Bigr)_M \Bigr]_-, \end{align*}(128)

where the subscript D corresponds to down-moving matter and X is the abundance in descending material after having interacted and exchanged some matter with the material above the discontinuity and it reads X= X + \UpDeltaM M ( X + X ), Mathematical equation: \begin{equation*}X = X_- &#x002B; \frac{{\UpDelta} M}{M} \Bigl(X_&#x002B; - X_-\Bigr), \end{equation*}(129)

where ΔMM is the constant of proportionality. We recall that (ρ V r ) M Mathematical equation: $\Bigl(\rho V_r\Bigr)_M$ and (ρ V r ) D Mathematical equation: $\Bigl(\rho V_r\Bigr)_D$ stand for averaged values and therefore we have (ρ V r ) M = (ρ V r ) 0 2 θ M 2 0 θ M cos ( π 2 θ θ M )sinθdθ = 2 J 0,M θ M 2 (ρ V r ) 0 = 2 J 0,M θ M 2 (ρ V r ) 0, . Mathematical equation: \begin{align*}\Bigl(\rho V_r\Bigr)_M &= \Bigl(\rho V_r \Bigr)_0 \frac{2}{\theta _M^2} \int_{0}^{\theta _M} \cos\Bigl(\frac{\pi}{2}\frac{\theta }{\theta _M}\Bigr) \sin \theta \, {\textrm{d}}\theta \nonumber \\ &=\frac{2J_{0,M}}{\theta _M^2} \Bigl(\rho V_r \Bigr)_0 = \frac{2J_{0,M}}{\theta _M^2} \Bigl(\rho V_r \Bigr)_{0,-}. \end{align*}(130)

Finally, using Eq. (127) together with Eq. (128) and Eq. (130), one gets d M NC dt =4π r 2 F X,r ( X + X ) =4π r 2 \UpDeltaM M 2 J 0,M θ M 2 S M, (ρV) 0, . Mathematical equation: \begin{equation*}{\frac{\textrm{d} {M_{\textrm{NC}}} } {\textrm{d} {t}} } = 4\pi r^2 \frac{F_{X,r}}{\Bigl(X_&#x002B; - X_-\Bigr)} = 4\pi r^2 \frac{{\UpDelta} M}{M} \frac{2J_{0,M}}{\theta _M^2} S_{M,-}\Bigl(\rho \mathbf{V}\Bigr)_{0,-}. \end{equation*}(131)

From Eq. (131), we can obtain the value of ΔMM, which allowsa growth rate of the core mass given by the location of the chemical composition discontinuity such that, at its lower side, that is to say in the convective core, LR = L is verified. The value obtained is the value assumed implicitly in stellar evolution. It is also a minimal one (even though one could also consider evolutions with undershooting). This is what we consider to be an evolution without overshooting. If a larger value is chosen, it will lead to an evolution with overshooting and thus models with larger convective cores and also LR > L at the location of the chemical discontinuity. However, (ρ V r ) 0, Mathematical equation: $\Bigl(\rho V_r \Bigr)_{0,-}$ decreases with increasing overshooting and this could quickly require unreasonable values of ΔMM to have the convective core mass still growing fast enough. This leads naturally to a maximum overshooting. We see that the mechanism that determines the extent of the overshooting is different in shrinking and in expanding convective cores. In shrinking cores, the extent of the overshooting layers is given by the rate of slowing down of the rising material computed in the frame of a coherent theory. In an expanding core, it is given by the ability of the rising material to erode the chemical discontinuity; the rate of this process fixes the extent of the overshooting region and there is no argument to choose it as proportional to the pressure scale height.

We notice from Eq. (55) that if the kinetic energy flux is positive (G3 > 0) at the location of the chemical composition discontinuity where LLR, the convective flux must be negative and \UpDelta ρ M / ρ ¯ >0 Mathematical equation: ${\UpDelta} \rho_M /\overline{\rho}>0$ there. If we take Spruit (2015)’s suggestion that the density fluctuation of the descending material must be positive, we can get a maximum value of ΔMM, assuming that \UpDelta ρ D / ρ ¯ =0 Mathematical equation: ${\UpDelta} \rho_D / \overline{\rho}=0$ since, if it was negative, the material would not move down spontaneously.

Since p ¯ = p D Mathematical equation: $\overline{p} = p_D$ , if we expand this equation to the first order taking into account that the chemical composition of the down-moving material is different from that of the convective core, assuming that the rising material has the same composition as the average medium, we get ρ ¯ ρ D ρ ¯ =Q T ¯ T D T ¯ ( lnp X ) T,ρ ( lnp Y ) T,ρ ( lnp lnρ ) T, X i ( X M X D )=0, Mathematical equation: \begin{equation*} \frac{\overline{\rho}-\rho_D}{\overline{\rho}} = -Q \frac{\overline{T}-T_D}{\overline{T}} - \frac{\Bigl({\frac{\partial {\ln p}} {\partial {X}} }\Bigr)_{T,\rho}-\Bigl({\frac{\partial {\ln p}} {\partial {Y}} }\Bigr)_{T,\rho}}{\Bigl({\frac{\partial \ln p } {\partial \ln \rho} }\Bigr)_{T,X_i}} \Bigl(X_M-X_D \Bigr) =0, \end{equation*}(132)

and Q T ¯ T D T ¯ = ( lnp X ) T,ρ ( lnp Y ) T,ρ ( lnp lnρ ) T, X i ( X D X M ) = ( lnp ln μ 1 ) T,ρ μ[23/4] ( lnp lnρ ) T, X i ( X D X M ). Mathematical equation: \begin{align*} Q \frac{\overline{T}-T_D}{\overline{T}} &= \frac{\Bigl({\frac{\partial {\ln p}} {\partial {X}} }\Bigr)_{T,\rho}-\Bigl({\frac{\partial {\ln p}} {\partial {Y}} }\Bigr)_{T,\rho}}{\Bigl({\frac{\partial \ln p } {\partial \ln \rho} }\Bigr)_{T,X_i}} \Bigl(X_D-X_M \Bigr) \nonumber \\ &= \frac{\Bigl(\frac{\ln p}{\ln \mu^{-1}}\Bigr)_{T,\rho} \mu \Bigl[ 2-3/4 \Bigr]}{\Bigl({\frac{\partial \ln p } {\partial \ln \rho} }\Bigr)_{T,X_i}} \Bigl(X_D-X_M\Bigr). \end{align*}(133)

For a perfect gas, ( X D X M )= 4 5μ T ¯ T D T ¯ . Mathematical equation: \begin{equation*}(X_D-X_M) = \frac{4}{5\mu} \frac{\overline{T}-T_D}{\overline{T}}. \end{equation*}(134)

This requires a hypothesis concerning T ¯ T D T ¯ Mathematical equation: $\frac{\overline{T}-T_D}{\overline{T}}$ and it seems reasonable to assume that T ¯ T D T ¯ = T ¯ T M T ¯ >0. Mathematical equation: \begin{equation*}\frac{\overline{T}-T_D}{\overline{T}} = - \frac{\overline{T}-T_M}{\overline{T}} >0. \end{equation*}(135)

If we notice that X and X in Eq. (129) correspond to XD and XM in Eq. (134) and since (X+X) is given by the model, these two equations provide us with a value of ΔMM that according to Spruit (2015)’s suggestion is the maximum one. Also we see that the hypothesis made in Eq. (135) maximizes the value of ΔMM.

When the convective core grows, a parameter-free alternative approach is to use the entrainment velocity, obtained from numerical simulations, given by Meakin & Arnett (2007b). It provides the growth rate of the core boundary ν. It is given by ν=AR i B n Mathematical equation: $\nu = A Ri_B^{-n}$ with lnA = 0.027 ± 0.38 and n = 1.05 ± 0.21. We will define the Richardson number as in Cristini et al (2017) by R i B = l 0 r D +\UpDeltar N 2 dr V M 2 , Mathematical equation: \begin{equation*} Ri_B = \frac{l \int_{0}^{r_D&#x002B;{\UpDelta} r} N^2 {\textrm{d}}r}{V_M^2}, \end{equation*}(136)

where V M is the mean velocity at the location of the discontinuity, Δr is the penetration depth in the stable region, and l is a length scale for the turbulent motions, which is often taken to be the horizontal integral scale of the turbulence near the interface, according Meakin & Arnett (2007b), so that lrD sinθM(rD). The lower boundary of the integral is not very important as the main contribution will come from the sub-adiabatic layers below the chemical discontinuity. When computing the integral, we should not forget that N2 is a delta function at the location of the chemical composition discontinuity and then varies slowly in the stable region where N2 > 0. As the penetration depth will be very small compared to the density scale height, we have r D r D +\UpDeltar N 2 drg( r D )ln ρ ρ + , Mathematical equation: \begin{equation*} \int_{r_D}^{r_D&#x002B;{\UpDelta} r} N^2 {\textrm{d}}r \approx g(r_D) \ln \frac{\rho_-}{\rho_&#x002B;}, \end{equation*}(137)

where g is the gravitational acceleration and ρ and ρ+ are respectively the density below and above the chemical composition discontinuity so that R i B = l[ 0 r D N 2 dr+g( r D )ln ρ ρ + ] V M 2 . Mathematical equation: \begin{equation*} Ri_B = \frac{l \Bigl[\int_{0}^{r_D} N^2 {\textrm{d}}r &#x002B; g(r_D) \ln \frac{\rho_-}{\rho_&#x002B;}\Bigr]}{V_M^2}. \end{equation*}(138)

If when the discontinuity coincides with the point where L = LR (as assumedin stellar evolution without overshooting) the entrainment rate is larger than required by stellar evolution (RiB too small), the sub-adiabatic layer with ∇ < ∇a (N2> 0) will grow until 0 r D N 2 dr Mathematical equation: $\int_0^{r_D} N^2 {\textrm{d}}r$ becomes sufficiently positive and V M sufficiently small to have the required value of the entrainment rate (this will correspond to a Richardson number only slightly smaller than 1∕4). If without overshooting the entrainment rate is too small (RiB too large), then we have an evolution with undershooting and the discontinuity should be moved inwards in order to reduce the size of the sub-adiabatic region.

9 Conclusion

Up to now, there have been mainly three ways of handling the overshooting region at the upper boundary of convective zones. First, in most of the current existing codes, its extent is considered as a free parameter (generally a fraction of the local pressure scale height) and more importantly the temperature gradient is arbitrarily taken as either equal to the adiabatic one or to the radiative one. Second, higher-order methods based on Reynolds stress models naturally provide an estimate of the overshooting. However, such models are subject to many uncertainties and are quite difficult to implement in stellar evolutionary codes. Third, based on numerical simulations (see Meakin & Arnett 2007b; Arnett et al. 2009; Arnett & Meakin 2011; Viallet et al. 2013); Arnett et al. (2015; Sect. 3.8) propose an alternative model to account for the braking at the upper edge of convective cores and more generally to compute the structure of convective zones. They named it the 321D algorithm.

In this work, we have developed a theory of convection based on a plume model, which takes also into account the counter flow. We have also introduced a new equation that closes the system. The theory is comparable with a non-local mixing length theory but with a somewhat different interpretation of the mixing length. Its main advantage is that it allows the computation of the departure of the temperature gradient from the adiabatic value in the whole convective core, that is to say also in the overshooting layers. This finally provides eight differential equations (including the usual ones: the mass conservation, the hydrostatic equilibrium, and the thermal energy conservation) and essentially two algebraic relations for ten unknowns. It is worth noticing that the set of equations is complete if we assume that the number of regions with down- and up-moving flows is equal. If not, the number of down-moving regions is a free parameter. Interestingly enough, we do not have to make several hypotheses done in the classical plume theory, such as Taylor’s advection (or entrainment) hypothesis, which is replaced by a closure based on mean-field equations. Of course our theory still contains a few free parameters, some of which are the same as in the LMLT while others are related to the assumed geometry. In this respect, 3D hydrodynamical simulations are certainly valuable tools to help constrain those parameters. We also notice that the 321D approach as proposed by Arnett et al. (2015) is certainly more general since it does not require flow assumptions. Comparisons between our approach and the 321D model are thus desirable in the near future.

The equation giving the departure from the adiabatic gradient shows that at the bottom of the overshooting zone the temperaturegradient will be close to the adiabatic value, but that when the distance to the bottom becomes a significant fraction of the pressure scale height the temperature gradient becomes strongly sub-adiabatic and progressively reaches the radiative value. It is what is also found by numerical simulations (Brummell et al. 2002), with Xiong’s code (see Xiong & Deng 2001; Zhang & Li 2012, and the reference therein), or by use of semi-analytical models (Rempel 2004). Also the development of the theory allowed us to show rigorously, that is without any approximation, that it is necessary that the convective kinetic energy flux is not null everywhere in order to have overshooting at any boundary of a convective zone. This implies that all theories developed so far that neglect that term get results because they neglect at least one of the basic equations ofthe problem, very often the convective kinetic energy conservation. Consequently, their results must be considered with caution. Indeed, as discussed in Appendix B and shown in Arnett et al. (2015), the braking region must always be sub-adiabatic in order to have enough braking and this region does not exist in the LMLT.

Finally, we emphasize that our theory is not valid in the surface layers of stars where convective cells form (i.e. at the photosphere). However, it could be adapted to convective envelopes provided numerical simulations can provide the boundary conditions below the strongly non-adiabatic layers. We also point out that the bulk of our work focused on the case of shrinking convective cores. For an expanding core, the problem is much more difficult because one has to determine the mixing rate at the location of the chemical composition discontinuity. We did not solve that problem but we introduced an extra parameter the minimum value of which can be obtained from an evolution without overshooting. This will at least provide the order of magnitude of that parameter. This is certainly an issue that deserves more theoretical development. However, an alternative approach based on results of numerical simulations and which is parameter-free has been given by Meakin & Arnett (2007b).

Acknowledgement

We thank Arlette Noels for providing us with the models required to compute Table 1.

Appendix A: Computation of the coefficients Ji,M, Ji,D , and J i,D Mathematical equation: $J_{i,D}^{\prime}$

In this appendix, we provide the coefficients Ji,M, Ji,D ,and J i,D Mathematical equation: $J_{i,D}^{\prime}$ that appear from angular integration on a spherical surface or over a plume horizontal section. The computation of those coefficients is simple even if somewhat lengthy. It requires only the use of simple fundamental trigonometric functions.

A.1:

The coefficients Ji,M, Ji,D

In the first hypothesis discussed at the end of Sect. 3.1, we have Ji,M = Ji,D. We thus start by defining the parameter ζ = π∕(2θM), so that one obtains

  • for J0,M

J 0,M = 0 θ M cos (ζθ)sinθdθ= 1ζsin θ M 1 ζ 2 , Mathematical equation: \begin{equation*} J_{0,M} = \int_0^{\theta _M} \cos \Bigl(\zeta \theta \Bigr) \sin \theta \, {\textrm{d}}\theta = \frac{1-\zeta \sin \theta _M}{1-\zeta^2}, \end{equation*}(A.1)

and, in the limit of small angle θM, one has J 0,M ζ 2 ( π 2 1). Mathematical equation: \begin{equation*}J_{0,M} \simeq \zeta^{-2} \Bigl( \frac{\pi}{2} - 1\Bigr). \end{equation*}(A.2)

  • for J1,M J 1,M = 0 θ M cos 2 (ζθ)sinθdθ = 1 2 [(1cos θ M )+ (1+cos θ M ) 1 (2ζ) 2 ] Mathematical equation: \begin{align*} J_{1,M} &= \int_0^{\theta _M} \cos^2 \Bigl(\zeta \theta \Bigr) \sin \theta \, {\textrm{d}}\theta \nonumber \\ &= \frac{1}{2} \Bigl[ (1-\cos \theta _M) &#x002B; \frac{(1&#x002B;\cos \theta _M)}{1-(2\zeta)^2}\Bigr] \end{align*}(A.3)

    and, in the limit of small angle θM, one has

J 1,M ( 1 2ζ ) 2 [ π 2 4 1]. Mathematical equation: \begin{equation*} J_{1,M} \simeq \Bigl(\frac{1}{2 \zeta}\Bigr)^2 \Bigl[\frac{\pi^2}{4}-1\Bigr]. \end{equation*}(A.4)
  • for J2,M J 2,M = 0 θ M ( ζθ)sin(ζθ)sinθdθ= ζ/2 [1 ζ 2 ] 2 ×{4ζ+2sin( θ M )(1+ ζ 2 ) π ζ cos( θ M )(1 ζ 2 )} Mathematical equation: \begin{align*} &J_{2,M} = \int_0^{\theta _M} \Bigl(\zeta \theta \Bigr) \sin \Bigl(\zeta \theta \Bigr) \sin \theta \, {\textrm{d}}\theta = \frac{\zeta / 2}{\Bigl[1-\zeta^2\Bigr]^{2}} \nonumber \\ &\times \Bigl\{ -4 \zeta &#x002B; 2 \sin \Bigl(\theta _M\Bigr) \Bigl(1&#x002B;\zeta^2\Bigr) - \frac{\pi}{\zeta} \cos\Bigl(\theta _M\Bigr) \Bigl(1-\zeta^2\Bigr) \Bigr\} \end{align*}(A.5)

    and, in the limit of small angle θM, one has

J 2,M ζ 2 (π2). Mathematical equation: \begin{equation*} J_{2,M} \simeq \zeta^{-2} \Bigl(\pi- 2\Bigr). \end{equation*}(A.6)
  • for J3,M J 3,M = 0 θ M ( ζθ ) 2 cos(ζθ)sinθdθ = ζ 2 (ζ1) 3 [cos θ M F 1 +sin θ M F 2 + π 2 2ζ (3 ζ 2 +1)] Mathematical equation: \begin{align*} J_{3,M} &= \int_0^{\theta _M} \Bigl(\zeta \theta \Bigr)^2 \cos \Bigl(\zeta \theta \Bigr) \sin \theta \, {\textrm{d}}\theta \\ &= \frac{\zeta^2}{\Bigl(\zeta-1\Bigr)^3} \Bigl[\cos \theta _M \, \mathcal{F}_1 &#x002B; \sin \theta _M \, \mathcal{F}_2 &#x002B; \frac{\pi^2}{2\zeta} \Bigl(3\zeta^2&#x002B;1\Bigr) \Bigr]\nonumber \end{align*}(A.7)

    with F 1 =2π(1 ζ 2 ) F 2 =[ ζ 3 +3ζ][ ( π 2 ) 2 + ( π 2ζ ) 2 2]2ζ[3 ζ 2 +1] Mathematical equation: \begin{align*} \mathcal{F}_1 &= 2\pi \Bigl(1-\zeta^2\Bigr) \\ \mathcal{F}_2 &= \Bigl[\zeta^3&#x002B;3\zeta\Bigr] \Bigl[\Bigl(\frac{\pi}{2}\Bigr)^2 &#x002B; \Bigl(\frac{\pi}{2\zeta}\Bigr)^2 -2\Bigr] - 2\zeta \Bigl[3\zeta^2&#x002B;1\Bigr] \end{align*}(A.8) (A.9)

    and, in the limit of small angle θM, one has

J 3,M ζ 2 [ ( π 2 ) 3 6( π 2 1)]. Mathematical equation: \begin{equation*} J_{3,M} \simeq \zeta^{-2} \Bigl[\Bigl(\frac{\pi}{2}\Bigr)^3 - 6 \Bigl(\frac{\pi}{2}-1\Bigr)\Bigr]. \end{equation*}(A.10)
  • for J4,M J 4,M = 0 θ M cos 3 (ζθ)sinθdθ = 1 4 {3 1ζsin( θ M ) 1 ζ 2 + 1+3ζsin( θ M ) 19 ζ 2 } Mathematical equation: \begin{align*} J_{4,M} &= \int_0^{\theta_M} \cos^3 \Bigl(\zeta \theta \Bigr) \sin \theta \, {\textrm{d}}\theta \nonumber \\ &= \frac{1}{4} \Bigl\{ 3 \frac{1-\zeta \sin \Bigl(\theta_M\Bigr)}{1-\zeta^2} &#x002B;\frac{1&#x002B;3\zeta \sin \Bigl(\theta_M\Bigr)}{1-9\zeta^2} \Bigr\} \end{align*}(A.11)

    and, in the limit of small angle θM, one has

J 4,M ζ 2 [ π 3 7 9 ]. Mathematical equation: \begin{equation*} J_{4,M} \simeq \zeta^{-2} \Bigl[\frac{\pi}{3} - \frac{7}{9}\Bigr]. \end{equation*}(A.12)
  • for J5,M 4 ζ J 5,M = 4 ζ 0 θ M ( θζ) cos 2 (ζθ)sin(ζθ)sinθdθ = ( ζ 2 +1)sin( θ M )2ζ+ π 2ζ ( ζ 2 1)cos( θ M ) ( ζ 2 1) 2 (9 ζ 2 +1)sin( θ M )6ζ π 2ζ (9 ζ 2 1)cos( θ M ) (9 ζ 2 1) 2 Mathematical equation: \begin{align*} \frac{4}{\zeta} J_{5,M} &= \frac{4}{\zeta} \int_0^{\theta_M} \Bigl( \theta \zeta\Bigr) \cos^2 \Bigl(\zeta \theta \Bigr) \sin \Bigl(\zeta \theta \Bigr) \sin \theta \, {\textrm{d}}\theta \\ &= \frac{\Bigl(\zeta^2&#x002B;1\Bigr) \sin\Bigl(\theta_M\Bigr)-2\zeta &#x002B; \frac{\pi}{2\zeta} \Bigl(\zeta^2-1\Bigr) \cos\Bigl(\theta_M\Bigr) }{\Bigl(\zeta^2-1\Bigr)^2} \nonumber \\ &- \frac{\Bigl(9\zeta^2&#x002B;1\Bigr) \sin\Bigl(\theta_M\Bigr)-6\zeta - \frac{\pi}{2\zeta}\Bigl(9\zeta^2-1\Bigr)\cos\Bigl(\theta_M\Bigr) }{\Bigl(9\zeta^2-1\Bigr)^2}\nonumber \end{align*}(A.13)

    and, in the limit of small angle θM, one has

3 J 5,M 2 ζ 2 [ π 3 7 9 ] Mathematical equation: \begin{equation*} 3 J_{5,M} \simeq 2 \zeta^{-2} \Bigl[\frac{\pi}{3} - \frac{7}{9}\Bigr] \end{equation*}(A.14)
  • for J6,M J 6,M =2 0 θ M ( θζ)cos(ζθ)sin(ζθ)sinθdθ = πζ (4 ζ 2 1) 2 [ 4ζ π (cos( θ M )+1)+sin( θ M )(4 ζ 2 1)] Mathematical equation: \begin{align*} & J_{6,M} = 2\int_0^{\theta_M} \Bigl( \theta \zeta\Bigr) \cos \Bigl(\zeta \theta \Bigr) \sin \Bigl(\zeta \theta \Bigr) \sin \theta \, {\textrm{d}}\theta \\ &= \frac{\pi\zeta}{\Bigl(4\zeta^2-1\Bigr)^2} \Bigl[-\frac{4\zeta}{\pi} \Bigl(\cos \Bigl(\theta_M\Bigr)&#x002B;1\Bigr) &#x002B;\sin \Bigl(\theta_M\Bigr) \Bigl(4\zeta^2 -1\Bigr)\Bigr] \nonumber \end{align*}(A.15)

    and, in the limit of small angle θM, one has

J 6,M 1 8 ζ 2 [ π 2 4]. Mathematical equation: \begin{equation*} J_{6,M} \simeq \frac{1}{8 \zeta^2} \Bigl[\pi^2-4\Bigr]. \end{equation*}(A.16)

We also have S M = N 2 (1cos θ M ). Mathematical equation: \begin{equation*} S_M = \frac{N}{2} \Bigl(1-\cos \theta_M\Bigr). \end{equation*}(A.17)

When we assume that the geometry of the descending regions is the same as that of the plume, the coefficients Ji,D are given by the same formulae as the Ji,M (and θM becomes θD). However, when we assume that each plume is surrounded by a hollow cone with an opening between θM and θM,D where the gas is flowing downwards, the Ji,D are given by the different formulae that we write J i,D Mathematical equation: $J_{i,D}^{\prime}$.

A.2:

The coefficients J i,D Mathematical equation: $J_{i,D}^{\prime}$

In the following, we will consider only the coefficients J i,D Mathematical equation: $J_{i,D}^{\prime}$ that are required in the integration over a spherical surface.

First, we have for SD S D = θ M θ M,D sinθdθ= N 2 (cos θ M cos θ M,D ) Mathematical equation: \begin{equation*} S_D = \int_{\theta_M}^{\theta_{M,D}} \; \sin \theta \, {\textrm{d}}\theta = \frac{N}{2} \Bigl(\cos\theta_M - \cos\theta_{M,D}\Bigr) \end{equation*}(A.18)

and the condition SM + SD = 1 leads to N 2 (1cos θ M,D )=1. Mathematical equation: \begin{equation*}\frac{N}{2} \Bigl(1-\cos \theta_{M,D}\Bigr) = 1. \end{equation*}(A.19)

The condition ρV ¯ =0 Mathematical equation: $\overline{\rho \mathbf{V}} = 0$ implies (see Eq. (51)) J 0,M + A D J 0,D = 0 θ M cos( π 2 θ θ M )sinθdθ + A D θ M θ M,D sin(π θ θ M θ M,D θ M )sinθdθ=0 Mathematical equation: \begin{align*}&J_{0,M} &#x002B; A_D J_{0,D}^{\prime} \nonumber \\ & = \int_{0}^{\theta_M} \; \cos\Bigl(\frac{\pi}{2}\frac{\theta}{\theta_M}\Bigr) \sin\theta {\textrm{d}}\theta \nonumber \\ & &#x002B; A_D \int_{\theta_M}^{\theta_{M,D}} \; \sin \Bigl(\pi \frac{\theta-\theta_M}{\theta_{M,D}-\theta_M}\Bigr) \sin\theta {\textrm{d}}\theta =0 \end{align*}(A.20)

with J 0,D = π( θ M,D θ M ) π 2 ( θ M,D θ M ) 2 [sin( θ M,D )+sin( θ M )]. Mathematical equation: \begin{equation*} J_{0,D}^{\prime} = \frac{\pi \Bigl(\theta_{M,D}-\theta_M\Bigr)}{\pi^2-\Bigl(\theta_{M,D}-\theta_M\Bigr)^2} \; \Bigl[\sin(\theta_{M,D})&#x002B;\sin(\theta_M)\Bigr]. \end{equation*}(A.21)

Therefore, Eq. (A.20) gives AD. If θM,D and θM are small, one has J O,D ( θ M,D 2 θ M 2 ) π . Mathematical equation: \begin{equation*} J_{O,D}^{\prime} \simeq \frac{\Bigl(\theta_{M,D}^2-\theta_M^2\Bigr)}{\pi}. \end{equation*}(A.22)

Consequently, using Eq. (A.2), one gets A D 4 π (1 π 2 ) ( θ M θ M,D θ M ) 2 = 4 π (1 π 2 ) S M S D . Mathematical equation: \begin{equation*} A_D \simeq \frac{4}{\pi} \Bigl(1-\frac{\pi}{2}\Bigr) \Bigl(\frac{\theta_M}{\theta_{M,D}-\theta_M}\Bigr)^2 = \frac{4}{\pi} \Bigl(1-\frac{\pi}{2}\Bigr) \frac{S_M}{S_D}. \end{equation*}(A.23)

Now we consider the angular integrals Gi in Eq. (54 ). This gives

  • for G1 G 1 = N 2 J 1,M + N 2 A D 2 J 1,D Mathematical equation: \begin{equation*} G_1 = \frac{N}{2} J_{1,M} &#x002B; \frac{N}{2} A_D^2 J_{1,D}^{\prime} \end{equation*}(A.24)

    where J 1,D = θ M θ M,D sin 2 (π θ θ M θ M,D θ M )sinθdθ = 2 π 2 4π ( θ M,D θ M ) 2 (cos θ M cos θ M,D ) Mathematical equation: \begin{align*} J_{1,D}^{\prime} &= \int_{\theta_M}^{\theta_{M,D}} \, \sin^2 \Bigl(\pi \frac{\theta-\theta_M}{\theta_{M,D}-\theta_M}\Bigr) \sin \theta \, {\textrm{d}}\theta \nonumber \\ &=\frac{2\pi^2}{4\pi-\Bigl(\theta_{M,D}-\theta_M\Bigr)^2} \Bigl(\cos \theta_M - \cos \theta_{M,D}\Bigr) \end{align*}(A.25)

    which, for small values of θM,D and θM, reduces to

J 1,D π 2 ( θ M,D 2 θ M 2 ) 4 π 2 ( θ M,D 2 θ M 2 ) ( θ M,D 2 θ M 2 ) 4 . Mathematical equation: \begin{equation*} J_{1,D}^{\prime} \simeq \frac{\pi^2 \Bigl(\theta_{M,D}^2-\theta_M^2\Bigr)}{4\pi^2 - \Bigl(\theta_{M,D}^2-\theta_M^2\Bigr)} \simeq \frac{\Bigl(\theta_{M,D}^2-\theta_M^2\Bigr)}{4}. \end{equation*}(A.26)
  • for G3 and G4 G 3 = N 2 J 4,M + N 2 A D 3 J 4,D G 4 = N 2 J 4,M + N 2 | A D 3 | J 4,D Mathematical equation: \begin{align*} G_3 &= \frac{N}{2} J_{4,M} &#x002B; \frac{N}{2} A_D^3 J_{4,D}^{\prime} \\ G_4 &= \frac{N}{2} J_{4,M} &#x002B; \frac{N}{2} \Bigl\vert A_D^3 \Bigr\vert J_{4,D}^{\prime} \end{align*}(A.27) (A.28)

    where J 4,D = θ M θ M,D sin 3 (π θ θ M θ M,D θ M )sinθdθ = 6 π 2 ( θ M,D θ M )(sin θ M,D +sin θ M ) [ π 2 ( θ M,D θ M ) 2 ][9 π 2 ( θ M,D θ M ) 2 ] , Mathematical equation: \begin{align*} J_{4,D}^{\prime} &= \int_{\theta_M}^{\theta_{M,D}} \, \sin^3 \Bigl(\pi \frac{\theta-\theta_M}{\theta_{M,D}-\theta_M}\Bigr) \sin \theta \, {\textrm{d}}\theta \nonumber \\ &= \frac{6\pi^2 \Bigl(\theta_{M,D}-\theta_M\Bigr)\Bigl(\sin\theta_{M,D}&#x002B;\sin\theta_M\Bigr)}{\Bigl[\pi^2-\Bigl(\theta_{M,D}-\theta_M\Bigr)^2\Bigr] \Bigl[9\pi^2-\Bigl(\theta_{M,D}-\theta_M\Bigr)^2\Bigr]}, \end{align*}(A.29)

    which, for small values of θM,D and θM, reduces to

J 4,D 2 3π [ θ M,D 2 θ M 2 ]. Mathematical equation: \begin{equation*} J_{4,D}^{\prime} \simeq \frac{2}{3\pi} \Bigl[ \theta_{M,D}^2-\theta_M^2 \Bigr]. \end{equation*}(A.30)

Appendix B: Influence of the sign of LK on the extent of the overshooting

From Eq. (79) and Eq. (80) 1 r 2 d S ¯ dr ( k 2 r 2 (ρ V r 3 ) 0 G 3 ) = Qg C p T ¯ [ L ¯ L ¯ R 4π r 2 k 2 (ρ V r 3 ) 0 G 3 ] k (ρ V r 3 ) 0 l G 4 . Mathematical equation: \begin{align*} \frac{1}{r^2} {\frac{\textrm{d} {\overline{S}} } {\textrm{d} {r}} } \Bigl(\frac{k}{2} r^2 \Bigl(\rho V_r^3\Bigr)_0 G_3 \Bigr) &= \frac{Qg}{C_p \overline{T}} \Bigl[\frac{\overline{L}-\overline{L}_R}{4\pi r^2}-\frac{k}{2} \Bigl(\rho V_r^3\Bigr)_0 G_3\Bigr] \nonumber \\ &-\frac{k\Bigl(\rho V_r^3\Bigr)_0}{l} G_4. \end{align*}(B.1)

The latter equation can be recast such that dy dr +[ 2 l G 4 G 3 + a H p ]y= a H p L L R 4π Mathematical equation: \begin{equation*}{\frac{\textrm{d} {y} } {\textrm{d} {r}} } &#x002B; \Bigl[\frac{2}{l}\frac{G_4}{G_3}&#x002B;\frac{\nabla_a}{H_p}\Bigr] y = \frac{\nabla_a}{H_p} \frac{L-L_R}{4\pi} \end{equation*}(B.2)

where y= k 2 r 2 (ρ V r 3 ) 0 G 3 . Mathematical equation: \begin{equation*} y = \frac{k}{2} r^2 \Bigl(\rho V_r^3\Bigr)_0 G_3. \end{equation*}(B.3)

When G3 > 0 (FK,r > 0), then y > 0 and Eq. (B.2) shows that dy∕dr < 0 when L < LR, that is to say above the point where L = LR, as G4 > 0. This implies that braking starts when the convective luminosity is negative, that is to say when the temperature fluctuation of rising material is negative, which is only possible if the temperature gradient is sub-adiabatic. This is also what is found in numerical simulations (see Arnett et al. 2015). This seems to exclude the second possibility discussed next. Then we are sure to obtain a solution y = 0. On the other hand, if G3 < 0 (FK,r < 0) then y < 0 and it is necessary that dy∕dr > 0 above the point where L = LR to have a point where y = 0. However, the only term which contributes to make the derivative positive is ∇a yHp and as long as (LLR)∕4πy < 0, the derivative is negative, y decreases as the radius grows, and it is impossible to have y = 0. Consequently, when G3 < 0 the existence of a solution seems problematic or, if it exists, it will be found for a very small overshooting.

References

  1. Arnett, W. D., & Meakin, C. 2011, ApJ, 741, 33 [NASA ADS] [CrossRef] [Google Scholar]
  2. Arnett, D., Meakin, C., & Young, P. A. 2009, ApJ, 690, 1715 [CrossRef] [Google Scholar]
  3. Arnett, W. D., Meakin, C., Viallet, M., et al. 2015, ApJ, 809, 30 [NASA ADS] [CrossRef] [Google Scholar]
  4. Bonin, P. & Rieutord, M. 1996, A&A, 310, 221 [NASA ADS] [Google Scholar]
  5. Brummell, N. H., Clune, T. L., & Toomre, J. 2002, ApJ, 570, 825 [Google Scholar]
  6. Cai, T., Chan,K. L., & Deng, L. 2011, J. Comput. Phys., 230, 8698 [NASA ADS] [CrossRef] [Google Scholar]
  7. Cowling, T. G. 1935, MNRAS, 96, 42 [NASA ADS] [Google Scholar]
  8. Cristini, A., Meakin, C., Hirschi, R., et al. 2017, MNRAS, 471, 279 [NASA ADS] [CrossRef] [Google Scholar]
  9. Gabriel, M. 1996, Bull. Astr. Soc. India, 24, 233 [Google Scholar]
  10. Gabriel, M., Noels, A., Montalbán, J., & Miglio, A. 2014, A&A, 569, A63 [NASA ADS] [CrossRef] [EDP Sciences] [Google Scholar]
  11. Gabriel, M., Scuflaire, R., Noels, A., & Boury, A. 1974, Bull. Acad. Roy. de Belgique, 60, 866 [NASA ADS] [Google Scholar]
  12. Gabriel, M., Scuflaire, R., Noels, A., & Boury, A. 1975, A&A, 40, 33 [Google Scholar]
  13. Gilet, C. E. 2012, Ph.D. thesis, University of California, Berkeley, USA [Google Scholar]
  14. Henyey, L., Vardya, M. S., & Bodenheimer, P. 1965, ApJ, 142, 841 [NASA ADS] [CrossRef] [Google Scholar]
  15. Kupka, F. & Montgomery, M. H. 2002, MNRAS, 330, L6 [NASA ADS] [CrossRef] [Google Scholar]
  16. Kupka, F. & Muthsam, H. J. 2017, Liv. Rev. Comput. Astrophys., 3, 1 [Google Scholar]
  17. Landau, L. & Lifchitz, E. 1967, Physique statistique, ed. M. Mir (Ellipses Marketing) [Google Scholar]
  18. Ledoux, P. & Walraven, T. 1958, Handbuch der Physik, 51, 353 [NASA ADS] [CrossRef] [Google Scholar]
  19. Lo, Y.-C. & Schatzman, E. 1997, A&A, 322, 545 [NASA ADS] [Google Scholar]
  20. Massaguer, J. M. & Zahn, J.-P. 1980, A&A, 87, 315 [NASA ADS] [Google Scholar]
  21. Meakin, C. A.& Arnett, D. 2007a, ApJ, 665, 690 [NASA ADS] [CrossRef] [Google Scholar]
  22. Meakin, C. A.& Arnett, D. 2007b, ApJ, 667, 448 [NASA ADS] [CrossRef] [Google Scholar]
  23. Rempel, M. 2004, ApJ, 607, 1046 [NASA ADS] [CrossRef] [Google Scholar]
  24. Renzini, A. 1987, A&A, 188, 49 [NASA ADS] [Google Scholar]
  25. Rieutord, M. & Zahn, J.-P. 1995, A&A, 296, 127 [NASA ADS] [Google Scholar]
  26. Schmitt, J. H. M. M., Rosner, R., & Bohn, H. U. 1984, ApJ, 282, 316 [NASA ADS] [CrossRef] [Google Scholar]
  27. Shaviv, G. & Salpeter, E. E. 1973, ApJ, 184, 191 [NASA ADS] [CrossRef] [Google Scholar]
  28. Smith, N. & Arnett, W. D. 2014, ApJ, 785, 82 [NASA ADS] [CrossRef] [Google Scholar]
  29. Spruit, H. C. 2015, A&A, 582, L2 [NASA ADS] [CrossRef] [EDP Sciences] [Google Scholar]
  30. Stein, R. F. & Nordlund, Å. 1998, ApJ, 499, 914 [Google Scholar]
  31. Turner, J. S. 1986, J. Fluid Mech., 173, 431 [NASA ADS] [CrossRef] [Google Scholar]
  32. Viallet, M., Meakin, C., Arnett, D., & Mocák, M. 2013, ApJ, 769, 1 [NASA ADS] [CrossRef] [Google Scholar]
  33. Xiong, D. R. & Deng, L. 2001, MNRAS, 327, 1137 [NASA ADS] [CrossRef] [Google Scholar]
  34. Zahn, J.-P. 1991, A&A, 252, 179 [NASA ADS] [Google Scholar]
  35. Zhang, Q. S. & Li, Y. 2012, ApJ, 746, 50 [NASA ADS] [CrossRef] [Google Scholar]

All Tables

Table 1

Central hydrogen abundance of the model (first line), radius of the first off-centre point (fifth line), temperature difference between the centre and point 2 (sixth line).

Current usage metrics show cumulative count of Article Views (full-text article views including HTML views, PDF and ePub downloads, according to the available data) and Abstracts Views on Vision4Press platform.

Data correspond to usage on the plateform after 2015. The current usage metrics is available 48-96 hours after online publication and is updated daily on week days.

Initial download of the metrics may take a while.