| Issue |
A&A
Volume 612, April 2018
|
|
|---|---|---|
| Article Number | L1 | |
| Number of page(s) | 5 | |
| Section | Letters to the Editor | |
| DOI | https://doi.org/10.1051/0004-6361/201832626 | |
| Published online | 10 April 2018 | |
Letter to the Editor
More about solar g modes
Université Côte d’Azur, Observatoire Côte d’Azur, CNRS, Laboratoire Lagrange,
CS 34229
Nice cedex 4, France
e-mail: This email address is being protected from spambots. You need JavaScript enabled to view it.
Received:
12
January
2018
Accepted:
20
February
2018
Abstract
Context. The detection of asymptotic solar g-mode parameters was the main goal of the GOLF instrument onboard the SOHO space observatory. This detection has recently been reported and has identified a rapid mean rotation of the solar core, with a one-week period, nearly four times faster than all the rest of the solar body, from the surface to the bottom of the radiative zone.
Aim. We present here the detection of more g modes of higher degree, and a more precise estimation of all their parameters, which will have to be exploited as additional constraints in modeling the solar core.
Methods. Having identified the period equidistance and the splitting of a large number of asymptotic g modes of degrees 1 and 2, we test a model of frequencies of these modes by a cross-correlation with the power spectrum from which they have been detected. It shows a high correlation peak at lag zero, showing that the model is hidden but present in the real spectrum. The model parameters can then be adjusted to optimize the position (at exactly zero lag) and the height of this correlation peak. The same method is then extended to the search for modes of degrees 3 and 4, which were not detected in the previous analysis.
Results. g-mode parameters are optimally measured in similar-frequency bandwidths, ranging from 7 to 8 μHz at one end and all close to 30 μHz at the other end, for the degrees 1 to 4. They include the four asymptotic period equidistances, the slight departure from equidistance of the detected periods for l = 1 and l = 2, the measured amplitudes, functions of the degree and the tesseral order, and the splittings that will possibly constrain the estimated sharpness of the transition between the one-week mean rotation of the core and the almost four-week rotation of the radiative envelope. The g-mode periods themselves are crucial inputs in the solar core structure helioseismic investigation.
Key words: Sun: interior / Sun: helioseismology / Sun: rotation / Sun: oscillations
© ESO 2018
Open Access article, published by EDP Sciences, under the terms of the Creative Commons Attribution License (http://creativecommons.org/licenses/by/4.0), which permits unrestricted use, distribution, and reproduction in any medium, provided the original work is properly cited.
1 Introduction
Since the discovery of solar oscillations by Leighton et al. (1962), the interest of measuring pressure modes (p modes) and of detecting gravity modes (g modes) has never decreased. As stated by Appourchaux & Pallé (2013), “while the p modes provide extensive information on the structure and dynamics of the convection and radiative zones, the g modes promise access to the structure of the solar core”. The g-mode quest was the essential goal of the Global Oscillations of Low Frequencies (GOLF) instrument Gabriel et al. (1995) onboard the ESA-NASA SOlar and Heliospheric Observatory (SOHO) mission (Domingo et al. 1995).
In Fossat et al. (2017), hereafter paper I, we reported the detection of asymptotic solar g modes in the power spectrum of the so-called large separation of the low-degree p-mode frequencies measured from 16.5 yr of GOLF data (Fig. A.1, from Fig. 7 of paper I). This has been the final success of a long quest, thanks to the unexpected long lifetime of the SOHO mission, and more precisely of the GOLF instrument. The detection was possible thanks to the asymptotic properties of the g modes that exhibit an equidistance in period between modes of consecutive radial order n, and to the rotational splitting of the low-degree modes l = 1 and l = 2. This structure is described in Provost et al. (2000). The asymptotic period equidistances and the mode periods themselves will help to more severely constrain the solar core model parameters. The measured rapid rotation of the solar core, a one-week period, raises interesting questions surrounding the historical evolution of the rotation in general, and the probable sharpness of the transition between the rapidly rotating core and the slowly rotating envelope.
Regarding the data analysis, an interesting question refers to the possibility of extracting more g-mode parameters, to provide even more constraints on the solar core model.
2 Cross-correlating g-mode model and real data
We have in hand the parameters of the l = 1 and l = 2 g modes, that have been measured in the broad frequency range of about 7 to 30 μHz. The optimum detection has been made on 76 modes of degree 1 and 112 modes of degree 2. It is possible to build a simple model of the power spectrum of these modes, as a straightforward list of frequencies, each one being given a power spectrum amplitude of 1. The model consists of triplets for l = 1 and quintuplets for l = 2, taking into account the known splitting values of about 210 and 630 nHz. To be consistent with the large separation power spectrum used for the detection (Fig. A.1), this model is also smoothed by a six-bin window. It is subsequently easy to test this model by a cross-correlation between model and real data power spectrum in the same frequency range.
This can be done separately for a model of 76 triplets of l = 1, a model of 112 quintuplets of l = 2, and a complete model including both l = 1 and l = 2. Not surprisingly,each one of these cross-correlations displays a high peak at lag = 0, as well as the splitting side-lobes, which confirms that our model exists, even if hidden inside surrounding noise, in the large separation spectrum. Starting from this observation,several fine adjustments can be tested for optimizing the height and the position of the central correlation peak.
![]() |
Fig. 1 Cross-correlation between a model of 73 g modes of degree 1 and the large separation power spectrum in the frequency range from 7 to 32 μHz. The central peak stands at 8.43σ. |
![]() |
Fig. 2 Cross-correlation between a model adding 109 g modes of degree 2 to the 73 modes of degree 1, and the large separation power spectrum in the frequency range from 8 to 32 μHz. The central peak stands at 10.55σ. |
![]() |
Fig. 3 Cross-correlation between a model containing both g modes of degrees 1 and 2, and the power spectrum of an artificial data set in the frequency range from 7 to 32 μHz. No significant correlation is visible. |
The g modes have long lifetimes, so the six-bin smoothing initially used for the detection can certainly be decreased, permitting us to better exploit the very fine frequency resolution provided by the 16.5-yr time series. A degree by degree optimisation can be made, by tuning all parameters of the model. These are first the period equidistance, linked to a parameter defining the small (hyperbolically decreasing with radial order) departure from this equidistance, and the accurate value of the first one of all these periods. Remaining inside the published error bars, this makes possible a significant increase of the correlation peak, that happens to coincide with a very fine adjustment of its abscissa at exactly zero. As a second step, the precise value of the splitting is also adjusted, still inside its error bar, which increases a little more the correlation peak height. Adjusting the relative amplitudes of the triplet (central peak vs. side-lobes) or the quintuplet provides a third correlation increase. As expected, an important increase of correlation can be obtained by reducing the power spectrum smoothing, down to a two-bin width (convolution with a triangular window equal to [0.25 0.5 0.25]). This demonstrates that our model is able to provide frequencies as precise as the size of two bins, that is, 4 nHz. All further analyses presented here are made with this two-bin resolution. A last improvement is still possible, by adjusting the frequency range of the model on which the cross-correlation is computed. The highest correlations are obtained by using 73 modes of degree 1 (instead of 76 in paper I) and 109 modes of degree 2 (instead of 112 in paper I).
The optimum amplitudes of the central and tesseral components are defined by the maximum correlation. They are shown in Fig. 6.
If the split components are exactly symmetrical in abscissa around the zero lag, an efficient tool for easily optimising each parameter is to plot the mean of the cross-correlation and its left-right image, as this mean is very sensitive to the abscissa of all the symmetrical components, including the central one. Figures 1 and 2 show these two symmetrised cross-correlations for l = 1 and the sum of l = 1 and l = 2, respectively. In this symmetrical format, the central peaks stand at 8.43σ and 10.5σ, respectively. The model that includes both l = 1 and 2 gives a maximum correlation if the mean amplitudes of the l = 2 model are multiplied by 0.43 with respect to those of l = 1. In contrast the same (l = 1 and 2) model cross-correlated with a power spectrum obtained from an artificial GOLF data set (Sect. 3 of paper I), does not show any peak out of the standard noise (Fig. 3).
![]() |
Fig. 4 Cross-correlation between a model adding 250 g modes of degree 4 to 168 modes of degree 3, and the large separation power spectrum in the frequency range from 7 to 32 μHz. The central peak stands at 7.3σ |
![]() |
Fig. 5 Complete model of 73 g modes of degree 1, 109 of degree 2, 168 of degree 3 and 250 of degree 4, with adjusted relative amplitudes that maximize the cross-correlation shown in the following figure. |
![]() |
Fig. 6 This shows the general distribution of all tesseral amplitudes of our model, that maximizes the central peak of Fig. 7. |
![]() |
Fig. 7 Cross-correlation between the complete model of all g modes of degrees 1 to 4 (Fig. 5) and the large separation power spectrum in the frequency range from 7 to 32 μHz. The central peak stands above 12σ. |
![]() |
Fig. 8 Scanning the g-mode rotation rate from 0 to 1800 nHz and applying each value to the complete g-mode model shows that only one mean rotation rate is not masked by noise, at 1280 ± 5 nHz. |
3 Detection of higher-degrees g modes
These impressive levels of correlation increase the chance of detecting more g modes of higher degrees in this power spectrum of the large separation. Those of degree 2 are detected with less than half the (squared) amplitude of those of degree 1, but they are more numerous, meaning that their visibility in the cross-correlation is only a little less. Itseems therefore worth looking for the modes of degree 3, and possibly more, in the same frequency range.
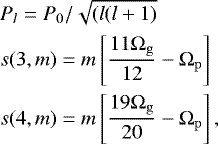
For this search we can start from a good approximation of the asymptotic period equidistance and of the splitting, by using the asymptotic equations:
![Mathematical equation: \begin{align*} &P_l=P_0/\sqrt{(l(l+1)}\\ &s(3,m)=m\left[{11{\UpOmega}_{\mathrm{g}}\over 12} -{\UpOmega}_{\mathrm{p}}\right]\\ &s(4,m)=m\left[{19{\UpOmega}_{\mathrm{g}}\over 20} -{\UpOmega}_{\mathrm{p}}\right], \end{align*}](/articles/aa/full_html/2018/04/aa32626-18/aa32626-18-eq1.png)
where P0 is the periodicity related to the Brunt-Väisälä frequency, and l and m are the degree and azimutal number of the spherical harmonics. Ωg and Ωp are the rotation frequency of the Sun as seen by the g modes and the p modes, respectively (Provost et al. 2000). In paper I, we found P0 = 34 min 01 s ± 1 s and Ωg = 1277 ± 10 nHz.
The l = 3 values must then be expected around P3 = 589 s and s3 = 741 nHz.
For these modes of degree 3 (and beyond) we can probably neglect the small departure from asymptotic equidistance (much higher radial orders), and then start by building a model with only one free parameter, which is the first period of our long equidistant list. The small uncertainties on equidistance and splitting should be consistent with the initial six-bin smoothing. The first step of this analysis consists of scanning a range of this initial period around 30 000 s, at least as broad as the expected equidistance of about 590 s, and check if for one of these periods, the cross-correlation of this model with the real spectrum would show its highest value near the zero lag abscissa. If yes, as before, a fine tuning remains to be carried out on the four parameters: period equidistance, splitting, relative amplitudes and frequency range, in order to optimize the height and position at zero lag of this peak, and see at the end if it can be regarded as significant, and also check the visibility of at least some of the split tesseral components. The best result (Fig. B.1, back to the two-bin smoothing) is obtained with a model of 168 modes in a similar frequency range of 7.3 to 26 μHz, and any attempt to include a small departure from the asymptotic period equidistance fails to improve the signal to noise ratio (S/N). Period equidistance and splitting are found at 590.02 ± 0.1 s and 741.1 ± 0.1 nHz, close to the expectations provided by the asymptotic equations.
The optimal relative amplitudes of the tesseral components are again defined by the maximum possible correlation. In this case the central component has to be set to zero amplitude, the other three can be seen in Fig. 6. Adding this l = 3 model to the model that already contains the l = 1 and l = 2 modes improves again the S/N up to 11.35σ, this improvement being optimized by a modeled relative amplitude of 0.115 (factor applied to the m = ±1 peaks, against the m = 0 of l = 1).
It remains worth attempting the same search with a model of the l = 4 g modes. The expected asymptotic values are estimated to be around 457 s for the equidistance and 784 nHz for the splitting. Again, one solution is found, in the frequency range 7–30 μHz in which the highest peak of correlation is exactly at the zero lag abscissa. As in the case of the l = 3 modes, the values of equidistance, 457.24 ± 0.1 s, and of the splitting, 785.7 ± 0.1 nHz, are found inside the uncertainty range of the expected asymptotic values. With the optimal tesseral distribution of relative amplitudes shown in Fig. 6, the central correlation peak is still as high as 4.6σ. Even more interesting is the fact that a model that only contains all modes of degree 3 and these 250 modes of degree 4 provides a correlation peak at 7.3σ, (Fig. 4), high enough to give confidence in the reality of the detection. This optimized correlation is obtained with a still lower amplitude of the modes l = 4, as can be seen in Fig. 6. The number of peaks in the explored frequency range increases with the degree, which increases the statistical benefit of the correlation method. However, the detected amplitudes decrease almost as fast as this increase, and they drop deeper and deeper in the background noise. In practice and not surprisingly, this detection method does not succeed for the g modes of degrees higher than 4.
Our most complete g-mode model contains many modes of degrees 1 to 4 in a frequency range approximately comprised between 7 and 30 μHz. This model, with each tesseral amplitude adjusted by maximizing the correlation, is shown in Fig. 5, with the detail of tesseral amplitudes distribution in Fig. 6. Figure 5 looks like noise, but its cross-correlation with the spectrum of the large separation, shown is Fig. 7, is unexpectedly convincing evidence for the presence of this model in the real spectrum, even if hidden in noise. This correlation displays a central peak at 12σ, with a resolution of 4 nHz. The probability of getting one value at 12σ by pure chance is so close to zero that it can really be neglected.
This last assessment can be made even stronger by separately computing the cross-correlation of the complete model with the spectra of the large separation obtained from two independent time series, just cutting the 16.5 yr Golf data into two non-overlapping parts. This is illustrated in Figs. C.1 and C.2.
4 Discussion and conclusions
In the very low frequency range explored here, all these modes are in the asymptotic regime (with the minor exception ofthe highest frequencies of degrees 1 and 2). We have used a priori asymptotic knowledge to look for these g modes of degrees 3 and 4 in only a very narrow range of period equidistance and splitting. We nevertheless consider the existence of another solution farther than the assumed uncertainty range of this asymptotic approximation. Figure 8 illustrates one of the many tests, on the rotational splitting, that can be done to rule out this possibility. Here, we have assumed that all splittings s(l, n) are consistent with
(4)
where C is the Coriolis g-mode factor, the p-mode rotation rate Ωp is a constant taken as 432.5 nHz, and the g-mode rotation rate Ωg is assumed unknown but independent of l and n (in reality, our four measured splittings give slightly different values of Ωg , within less than 1 percent; see Table 1). We scan Ωg from 0 to 1800 nHz, compute the four splitting values for our 4 degree, and apply these values to our g-mode model of periods, from which we compute the cross-correlation spectrum-model. We then divide the zero lag value of this cross-correlation by its root mean square value, and this division is plotted against Ωg in Fig. 8. Only one g-mode rotation rate, at 1.28 μHz, is consistent with our complete model of asymptotic periods and splittings, and confirms the paper I measurements made with only l = 1 and 2.
Table 1 summarises the essential numbers of these results. In this analysis, the period equidistances are sharply defined within 0.3 to 0.1 s from l = 1 to 4. These uncertainties propagate to approximately the same uncertainty of 0.5 s on the values of P0 . However these values average at 2042.5 s with a root mean square scatter of 2 s. This is very small, but still larger than the apparent uncertainty, meaning that we could possibly regard these differences as a significant helioseismic input regarding the solar core model. A similar comment can be made regarding the splitting values. They are measured within at most 1 nHz thanks to the contribution of many tesseral components, while the deduced scatter on the g-mode rotation rate is of the order of 5 nHz around 1280 nHz. Even if this is as small as 0.4 percent, it is possibly significant as an input regarding the rotation rate vertical gradient near the transition region between solar core and radiative envelope.
The l = 3 and 4 periods are found to be strictly equidistant, so they are all directly obtained by adding the equidistance to the previous one. In the case of l = 1 and 2, a small departure from equidistance is detected, meaning that the periods can be obtained by
-
Pn,1 = P−22,1 + (|n|− 22)(P1 − 50∕|n|) for n = −95…−23.
-
Pn,2 = P−36,2 + (|n|− 36)(P2 − 4∕|n|) for n = −142…−37.
The numbers are slightly different from those already published, thanks to the finer analysis provided by the reduced smoothing, however they globally remain inside the published error bars.
The amplitudes given in the last line of Table 1 are measured by assuming that Fig. 7 can be regarded as the sum of an autocorrelation of the model and of a cross-correlation between the model and the noise part of the large separation spectrum. Computing the cross-correlation between model and (spectrum – β* model) permits to adjust the coefficient β to cancel the autocorrelation component. This works well and demonstrates again the presence of our model in the spectrum, and also permits us to obtain the true amplitudes of the g modes detected in the spectrum, using the details of Fig. 6. These amplitudes are expressed in s, and they are averaged on all tesseral components for each degree. The mean S/N of individual tesseral peaks of l = 4 is less than 0.1.
Although the method of measurement of these acoustic-wave travel-time modulations was carefully designed for that purpose, understanding the physical mechanism that makes these modulations so clearly visible remains an intriguing challenge.
Main g modes parameters.
Acknowledgements
The GOLF instrument on board SOHO is a cooperative effort of scientists, engineers, and technicians, to whom we are indebted. For more details, see Gabriel et al. (1995) or http://www.ias.u-psud.fr/golf/. GOLF data are available at MEDOC data and operations centre (CNES/CNRS/Univ. Paris-Sud), http://medoc.ias.u-psud.fr/. They are available as well on the GOLF web site. The data file used in this analysis has been calibrated by R. García. The high quality of the GOLF data is due equally to the outstanding performance of the SOHO platform and overall system. SOHO is a project of international collaboration between ESA and NASA. We sincerely thank our co-authors of paper I for their contributions.
Appendix A The original power spectrum of the large separation, from paper I
The whole of this g-mode search has been done using a differential parameter of the most global p modes, those of low degree observed by the full disk GOLF instrument. This parameter is the so-called large separation, and the details are described in paper I. The main property of the power spectrum of this parameter is that it is almost flat, with only a slight increase in the very lowest frequency range, below 7 or 8 mHz, inside which, in any case, no g-mode search couldbe attempted. Figure A.1 is extracted from paper I.
![]() |
Fig. A.1 Power spectrum of the p-mode large separation measured from 16.5 yr of GOLF data (Fig. 7 of paper I). |
Appendix B Detection of modes of degree 3
Figure B.1 is obtained by a model which contains only the modes of degree 3. The high peak of correlation, precisely centered at zero lag, indicates that this l = 3 model is also present in the power spectrum, with a very high level of confidence.
![]() |
Fig. B.1 Cross-correlation between a model of 168 g modes ofdegree 3 and the Power spectrum of Fig.1 in the frequency range from 7.3 to 25 μHz. The central peak stands at 5.6σ. |
Appendix C Independent time series
It is of crucial importance with any scientific result to be able to confirm it by an independent analysis or by another analysis using an independent data set. This is possible here (as already done in paper I) thanks to the very long data set provided by the almost two decades of SOHO lifetime. The very high S/N visible in Fig. 7 permits us to separate the 16.5-yr time series that we have used in two sub-series, and still obtain highly significant cross-correlations. The best balance of S/N is obtained by using a first time series of 10.5 yr (Fig. C.1) and a second one with the remaining 6 yr (Fig. C.2). These both provide a cross-correlation between model and spectrum with a central peak of about 8σ. These two series are non-redundant, and consequently independent regarding their background noise. The high correlation obtained in both cases with the g-mode model does not leave any doubt regarding the reality of the presence of g-mode signatures in this spectrum. It is also interesting to note that despite the decreasing quality of the GOLF data along the lifetime of the mission, we need a longer integration during the first years to obtain a S/N as high as that during the last years. This is presumably due to the fact that the first years contain the maximum of the solar cycle 23, that was high, while the second part contains theminimum and the rising part of the weaker cycle 24. We assume that it is the solar noise inside the p-modes that makes the difference.
![]() |
Fig. C.1 Cross-correlation between the complete g-mode model and the power spectrum of the large separation computed from the first 10.5 yr of GOLF data. The central correlation peak stands at 8σ. |
![]() |
Fig. C.2 Cross-correlation between the complete g-mode model and the power spectrum of the large separation computed on the last 6 yr of GOLF data. The central correlation peak stands also at 8σ. |
References
- Appourchaux, T., & Pallé, P. 2013, in Fifty Years of Seismology of the Sun and Stars, The History of the g-mode Quest, eds. K. Jain, S. C. Tripathy, F. Hill, J. W. Leibacher, & A. A. Pevtsov (San Francisco: ASP) ASP Conf. Ser., 478, 125 [NASA ADS] [Google Scholar]
- Domingo, V., Fleck, B., Poland, A. I. 1995, Sol. Phys., 162, 1 [NASA ADS] [CrossRef] [Google Scholar]
- Fossat, E., Boumier, P., Corbard, T., et al. 2017, A&A, 604, A40 [NASA ADS] [CrossRef] [EDP Sciences] [Google Scholar]
- Gabriel, A. H., Grec, G., Charra, J., et al. 1995, Sol. Phys. 162, 61 [NASA ADS] [CrossRef] [Google Scholar]
- Leighton, R. B., Noyes, R. W., & Simon, G .W. 1962, ApJ, 135, 474 [NASA ADS] [CrossRef] [Google Scholar]
- Provost, J., Berthomieu, G., & Morel, P. 2000, A&A, 353, 775 [NASA ADS] [Google Scholar]
All Tables
All Figures
![]() |
Fig. 1 Cross-correlation between a model of 73 g modes of degree 1 and the large separation power spectrum in the frequency range from 7 to 32 μHz. The central peak stands at 8.43σ. |
| In the text | |
![]() |
Fig. 2 Cross-correlation between a model adding 109 g modes of degree 2 to the 73 modes of degree 1, and the large separation power spectrum in the frequency range from 8 to 32 μHz. The central peak stands at 10.55σ. |
| In the text | |
![]() |
Fig. 3 Cross-correlation between a model containing both g modes of degrees 1 and 2, and the power spectrum of an artificial data set in the frequency range from 7 to 32 μHz. No significant correlation is visible. |
| In the text | |
![]() |
Fig. 4 Cross-correlation between a model adding 250 g modes of degree 4 to 168 modes of degree 3, and the large separation power spectrum in the frequency range from 7 to 32 μHz. The central peak stands at 7.3σ |
| In the text | |
![]() |
Fig. 5 Complete model of 73 g modes of degree 1, 109 of degree 2, 168 of degree 3 and 250 of degree 4, with adjusted relative amplitudes that maximize the cross-correlation shown in the following figure. |
| In the text | |
![]() |
Fig. 6 This shows the general distribution of all tesseral amplitudes of our model, that maximizes the central peak of Fig. 7. |
| In the text | |
![]() |
Fig. 7 Cross-correlation between the complete model of all g modes of degrees 1 to 4 (Fig. 5) and the large separation power spectrum in the frequency range from 7 to 32 μHz. The central peak stands above 12σ. |
| In the text | |
![]() |
Fig. 8 Scanning the g-mode rotation rate from 0 to 1800 nHz and applying each value to the complete g-mode model shows that only one mean rotation rate is not masked by noise, at 1280 ± 5 nHz. |
| In the text | |
![]() |
Fig. A.1 Power spectrum of the p-mode large separation measured from 16.5 yr of GOLF data (Fig. 7 of paper I). |
| In the text | |
![]() |
Fig. B.1 Cross-correlation between a model of 168 g modes ofdegree 3 and the Power spectrum of Fig.1 in the frequency range from 7.3 to 25 μHz. The central peak stands at 5.6σ. |
| In the text | |
![]() |
Fig. C.1 Cross-correlation between the complete g-mode model and the power spectrum of the large separation computed from the first 10.5 yr of GOLF data. The central correlation peak stands at 8σ. |
| In the text | |
![]() |
Fig. C.2 Cross-correlation between the complete g-mode model and the power spectrum of the large separation computed on the last 6 yr of GOLF data. The central correlation peak stands also at 8σ. |
| In the text | |
Current usage metrics show cumulative count of Article Views (full-text article views including HTML views, PDF and ePub downloads, according to the available data) and Abstracts Views on Vision4Press platform.
Data correspond to usage on the plateform after 2015. The current usage metrics is available 48-96 hours after online publication and is updated daily on week days.
Initial download of the metrics may take a while.











