| Issue |
A&A
Volume 613, May 2018
|
|
|---|---|---|
| Article Number | C3 | |
| Number of page(s) | 1 | |
| Section | Extragalactic astronomy | |
| DOI | https://doi.org/10.1051/0004-6361/201628702e | |
| Published online | 31 May 2018 | |
Corrigendum
Subarcsecond international LOFAR radio images of Arp 220 at 150 MHz
A kpc-scale star forming disk surrounding nuclei with shocked outflows (Corrigendum)
1
Department of Earth and Space Sciences, Chalmers University of Technology, Onsala Space Observatory,
439 92
Onsala, Sweden
e-mail: This email address is being protected from spambots. You need JavaScript enabled to view it.
2
Department of Astronomy, University of Virginia,
530 McCormick Road,
Charlottesville,
VA
22904, USA
3
The Netherlands Institute for Radio Astronomy (ASTRON),
PO Box 2,
7990 AA
Dwingeloo, The Netherlands
4
Now at: Centre for Astrophysics and Supercomputing, Swinburne University of Technology,
PO Box 218,
Hawthorn,
VIC
3122, Australia
5
Jodrell Bank Centre for Astrophysics, Alan Turing Building, School of Physics and Astronomy, The University of Manchester,
Manchester
M13 9PL, UK
6
Instituto de Astrofísica de Andalucía (IAA, CSIC),
Glorieta de las Astronomía, s/n,
18008
Granada, Spain
7
Departamento de Física Teorica, Facultad de Ciencias, Universidad de Zaragoza, Spain
8
Department of Astronomy, University of Wisconsin-Madison,
WI
53706, USA
9
Department of Physics, University of Wisconsin-Madison,
WI
53706, USA
10
Center for Magnetic Self-Organization in Laboratory and Astrophysical Plasmas, University of Wisconsin-Madison,
WI
53706, USA
11
Leiden Observatory, Leiden University,
PO Box 9513,
2300 RA
Leiden, The Netherlands
12
Now at: Astrophysics, University of Oxford, Denys Wilkinson Building,
Keble Road,
Oxford
OX1 3RH, UK
13
Max-Planck-Institut für Radioastronomie,
Auf dem Hügel 69,
53121
Bonn, Germany
Received:
20
November
2017
Accepted:
20
November
2017
Key words: ISM: structure / techniques: high angular resolution / galaxies: individual: Arp 220 / galaxies: starburst / errata, addenda
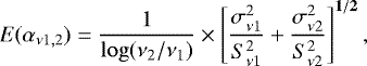
In Sect. 3.2.1 of Varenius et al. (2016), Eq. (2) was missing an exponent. The correct equation is
(1)
as given by Kim & Trippe (2014). Although written incorrectly in the text, we emphasize that the correct equation was used to generate Figs. 5b–d.
The peak surface brightness values published in Table 3 and Fig. 7 for convolved images were given as twice the true values. A factor of two was missing when converting from convolved units of Jy beam−1 into Jy arcsec−2. The correct values are given here in Table 1 and Fig. 1. We note that since both measured and simulated values were scaled by the same factor, the ratio of 60% referred to in Sect. 4.3.1 was correct, although the model surface brightness quoted at 150 MHz (after convolving to 0.′′7 × 0.′′5) should be corrected to 90 mJy arcsec−2. We emphasize that the error in these peak surface brightness values does not affect the modeling or conclusions in the paper as these were based on integrated flux densities or peak values in units of Jy beam−1.
References
- Kim, J.-Y., & Trippe, S. 2014, J. Korean Astron. Soc., 47, 195 [NASA ADS] [CrossRef] [Google Scholar]
- Varenius, E., Conway, J. E., Martí-Vidal, I., et al. 2016, A&A, 593, A86 [NASA ADS] [CrossRef] [EDP Sciences] [Google Scholar]
© ESO 2018
All Tables
All Figures
![]() |
Fig. 1 Figure to replace Fig. 7 in Varenius et al. (2016). |
| In the text | |
Current usage metrics show cumulative count of Article Views (full-text article views including HTML views, PDF and ePub downloads, according to the available data) and Abstracts Views on Vision4Press platform.
Data correspond to usage on the plateform after 2015. The current usage metrics is available 48-96 hours after online publication and is updated daily on week days.
Initial download of the metrics may take a while.
