Free Access

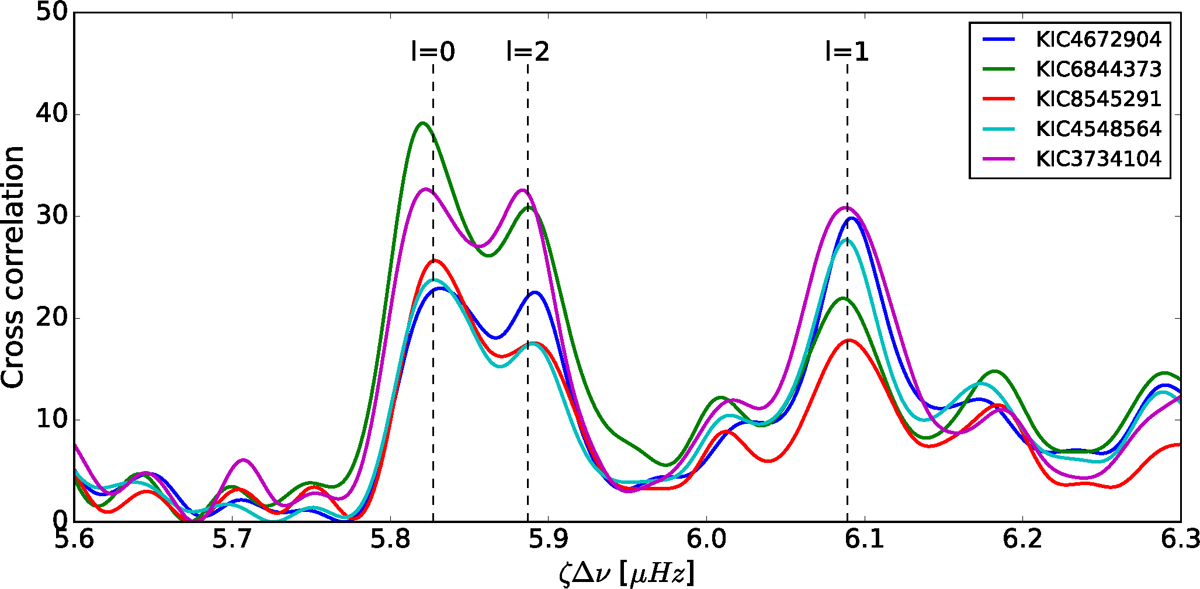
Fig. 6

image

Cross-correlation function for each of the Kepler stars correlated with 46 LMi. The abscissa is the scale factor multiplied by the Δν of KIC 4672904. The dashed lines indicate the different l-values coming from the identified modes in the Kepler stars when scaled to the dominant mode in 46 LMi. See the text for further information.

Current usage metrics show cumulative count of Article Views (full-text article views including HTML views, PDF and ePub downloads, according to the available data) and Abstracts Views on Vision4Press platform.

Data correspond to usage on the plateform after 2015. The current usage metrics is available 48-96 hours after online publication and is updated daily on week days.

Initial download of the metrics may take a while.