| Issue |
A&A
Volume 613, May 2018
|
|
|---|---|---|
| Article Number | A53 | |
| Number of page(s) | 7 | |
| Section | Stellar structure and evolution | |
| DOI | https://doi.org/10.1051/0004-6361/201730816 | |
| Published online | 31 May 2018 | |
The mass and age of the first SONG target: the red giant 46 LMi★
1
Stellar Astrophysics Centre, Department of Physics and Astronomy, Aarhus University,
Ny Munkegade 120,
8000
Aarhus C, Denmark
e-mail: This email address is being protected from spambots. You need JavaScript enabled to view it.
2
School of Physics and Astronomy, Sun Yat-sen University,
2 Daxue Road, Tangjia,
Zhuhai,
519082
Guangdong Province, PR China
3
Instituto de Astrofísica de Canarias (IAC),
38200
La Laguna,
Tenerife, Spain
4
Niels Bohr Institute, University of Copenhagen,
Juliane Maries Vej 30,
2100
København Ø, Denmark
5
Niels Bohr Institute & Centre for Star and Planet Formation, University of Copenhagen,
Øster Voldgade 5,
1350
Copenhagen K, Denmark
6
Centre for Electronic Imaging, Dept. of Physical Sciences, The Open University,
Milton Keynes
MK7 6AA, UK
Received:
17
March
2017
Accepted:
19
February
2018
Abstract
Context. The Stellar Observation Network Group (SONG) is an initiative to build a worldwide network of 1m telescopes with high-precision radial-velocity spectrographs. Here we analyse the first radial-velocity time series of a red-giant star measured by the SONG telescope at Tenerife. The asteroseismic results demonstrate a major increase in the achievable precision of the parameters for red-giant stars obtainable from ground-based observations. Reliable tests of the validity of these results are needed, however, before the accuracy of the parameters can be trusted.
Aims. We analyse the first SONG time series for the star 46 LMi, which has a precise parallax and an angular diameter measured from interferometry, and therefore a good determination of the stellar radius. We use asteroseismic scaling relations to obtain an accurate mass, and modelling to determine the age.
Methods. A 55-day time series of high-resolution, high S/N spectra were obtained with the first SONG telescope. We derive the asteroseismic parameters by analysing the power spectrum. To give a best guess on the large separation of modes in the power spectrum, we have applied a new method which uses the scaling of Kepler red-giant stars to 46 LMi.
Results. Several methods have been applied: classical estimates, seismic methods using the observed time series, and model calculations to derive the fundamental parameters of 46 LMi. Parameters determined using the different methods are consistent within the uncertainties. We find the following values for the mass M (scaling), radius R (classical), age (modelling), and surface gravity (combining mass and radius): M = 1.09 ± 0.04M⊙, R = 7.95 ± 0.11R⊙ age t = 8.2 ± 1.9 Gy, and logg = 2.674 ± 0.013.
Conclusions. The exciting possibilities for ground-based asteroseismology of solar-like oscillations with a fully robotic network have been illustrated with the results obtained from just a single site of the SONG network. The window function is still a severe problem which will be solved when there are more nodes in the network.
Key words: stars: fundamental parameters / stars: individual: HD 94264 / techniques: radial velocities / telescopes
Based on observations made with the Hertzsprung SONG telescope operated at the Spanish Observatorio del Teide on the island of Tenerife by the Aarhus and Copenhagen Universities and by the Instituto de Astrofísica de Canarias.
© ESO 2018
1 Introduction
Asteroseismology has made a big step forward thanks to space-borne photometry missions. This has been a revolution, particularly for red-giant stars (Bedding et al. 2011; Beck et al. 2012; Christensen-Dalsgaard 2014), as the need for very long time series has been solved by the long-duration observations of CoRoT and Kepler. Ground-based campaigns suffer from much shorter time coverage, and even for long campaigns (Arentoft et al. 2008) we are far from the time coverage of space-borne missions. Furthermore, campaigns must use high-precision radial velocities to detect the stellar oscillations since ground-based photometry is unable to obtain the required precision (Stello et al. 2006, 2007).
However, it is still useful to conduct ground-based radial- velocity campaigns, if we can use dedicated networks of telescopes which can give close to 24 h coverage for extended periods as discussed in detail by Arentoft et al. (2014). By measuring stellar oscillations using radial velocities the effects of surface granulation are strongly reduced compared to photometric measurements. This allows us to detect modes at lower frequencies, and modes of l = 3 are easier to detect using radial velocities.
We are particularly interested in nearby stars where an angular diameter can be measured accurately with an interferometer. The idea of combining interferometric measurements with observations of solar-type oscillations in the context of red-giant stars was employed for the star ϵ Oph (Mazumdar et al. 2009), where the asteroseismic data were obtained from space with the photometric MOST mission (Walker et al. 2003). This was a favourable case because the angular diameter was measured with high accuracy and the space data do not suffer from atmospheric and alias problems. This is reflected in the good agreement found between the interferometric radius and the asteroseismic radius. Another similar study has been presented by Beck et al. (2015) for the red-giant stars γ Per and θ1 Tau, where the asteroseismic measurements come from multisite radial-velocity measurements.
The Stellar Observations Network Group (SONG) is an initiative which aims to establish a ground-based network of automated 1m telescopes to obtain high-precision radial-velocity measurements of nearby, bright stars and to study their properties, primarily using the technique of asteroseismology. The targets being studied will be close enough that accurate parameters, such as angular diameter, parallax, temperature, and abundances, are well known in advance or can be easily determined.
The first SONG node consists of a 1m telescope produced by ASTELCO GmBH and is installed at the Observatorio del Teide, Tenerife, Spain. There are two instruments: a lucky imaging photometer (Skottfelt et al. 2015) and a high-resolution spectrograph (R =100 000) installed at the Coudé focus in a container next to the dome. The spectrograph, which is the instrument relevant for this paper, has been optimized for high-precision radial-velocity measurements and employs an iodine cell for wavelength reference. All operations are fully automatic and no operator is needed on site or remotely. For more details see Andersen et al. (2014, 2016). The SONG radial-velocity pipeline is described in Grundahl et al. (2017). In this paper we present the results of the first long test run with the SONG node on Tenerife.
2 The first SONG target 46 LMi
The bright (V = 3.83) red giant 46 LMi (HR 4247, HD 94264, HIP 53229) with spectral type K0III was selected as a suitable first target for SONG as the amplitudes and the timescale of the solar-like oscillations in this star are large. These requirements were necessary to test the telescope and spectrograph performance.
The star also presents a good test case for asteroseismology as there are several high-precision measurements of its basic parameters (Table 1). This includes a well-determined parallax (π = 34.38 ± 0.21 mas, van Leeuwen 2007), and an angular diameter (ΘL = 2.54 ± 0.03 mas) measured by interferometry (Nordgren et al. 1999). Together, these lead to a classical measurement of the radius of R = 7.95 ± 0.11R⊙.
In Table 1 the selected values from the literature are listed. The estimate of the age comes from the possible membership of the moving group WOLF 630 (Bubar & King 2010) of 46 LMi.
3 Observations and data reduction
The SONG node permitted a very good time coverage, but with just one node operational the data still suffer from gaps in the time series during daytime. Nevertheless, we were able to obtain a very long time series without involving any observer.
We obtained a total of 3211 exposures, each with an exposure time of 240 s and a CCD readout time of 2.5 s. The observations were carriedout from 14 February to 27 April 2014, with data obtained on 35 of the nights. The main causes for interruptions were poor weather conditions and technical work being done on the telescope and control system. All observations were carried out automatically; in the late afternoon we inserted the observing requests for the coming night into our queue system, and these requests were then executed during the night. All calibration files (bias, flats, ThAr reference) were obtained automatically each afternoon prior to the start of the observations. Fig. 1 shows the distribution of data points over the 55-day period allocated to this target. The large gap is due to a period of necessary technical upgrades; the data were obtained while the telescope was being commissioned. The rest of the time the only interruptions were due to bad weather.
The spectrograph has six possible slits, and for all observations we used the one providing a resolution of 90 000. For accurate wavelength calibration, we used an iodine cell. All spectra were bias corrected, flat-fielded and wavelength calibrated using the REDUCE package implemented in IDL (see Piskunov & Valenti 2002)1. To extract the precise radial velocities we used the software iSONG (also IDL based) (see e.g. Corsaro et al. (2012), Antoci et al. (2013), and Grundahl et al. (2017) for more details). There are a total of 24 useful orders with iodine lines available for calculating the velocities.
In Fig. 2 we present a full night of the radial-velocity measurements. The typical characteristic timescale of variability of the stochastic oscillations is clearly seen in the velocity curve as the noise level per data point is much lower than the periodic signal. Typically, the instrumental noise per data point is 1.5 ms−1 on a good night, where the noise has been calculated as the scatter around a smooth curve through the data.
![]() |
Fig. 1 Time coverage of the 46 LMi campaign. First night: 14 February 2014. |
![]() |
Fig. 2 Radial velocity curve of a single night. |
4 Analysis of the radial-velocity time series
4.1 Frequency of maximum power: νmax
The power spectrum (shown in Fig. 3) was calculated as a fit of sinusoids to the raw radial-velocity time series, as described in Frandsen et al. (1995). The oscillation signal is clearly visible as the power excess around 60 μHz. A low-frequency filtering has been applied where ten frequencies below 6 μHz were cleaned from the power spectrum. The effect of single-site observations is illustrated by the window function in the inset, which shows strong alias peaks at ± 11.57 μHz corresponding to the daily gap in the time series. This significantly complicates the determination of the frequencies of the p modes.
The frequency of maximum power (νmax) is a widely used value which relates to the large frequency separation through scaling relations (Stello et al. 2009; Huber et al. 2010; Handberg et al. 2017; Arentoft et al. 2017). Based on the available data we determined νmax from a Gaussian fit to the high-pass filtered power spectrum. The uncertainty on νmax was determined by splitting the time series into seven chunks, each with the same number of data points. For each chunk the unfiltered power spectrum was calculated and a value for νmax was determined by fitting a Gaussian to the interval showing power excess, 30 μHz–100 μHz. The uncertainty on the final frequency of maximum power was then given as the standard deviation of the mean error. This procedure yielded νmax = 59.4 ± 1.4 μHz. It is worth mentioning that the expected mode lifetime is of the order of the time span of the data set. This can have an effect on the determined νmax, which will be highly influenced by the dominant mode in the power spectrum.
Basic parameters of 46 LMi.
4.2 Individual frequencies
We have attempted to determine the frequencies of modes in the power spectrum of 46 LMi using two techniques. In the first method, illustrated in Fig. 4, peaks found in a smoothed power spectrum are plotted in an échelle diagram with frequency modulo 11.574 μHz on the abscissa andν on the ordinate. Then modes are found by looking for patterns similar to the window function in the vertical direction. The size of the symbols represents the amplitude of each detected peak and can be used to select the correct frequency, but in some cases an alias might be obtained instead. Some of the peaks shown in the figure are statistically non-significant and are only included to look for the aliases in the window pattern.
In the second method an iterative frequency determination is performed using PERIOD04. First, the frequency of the mode with maximum signal is found. A weighted cosine fit to the time series with the corresponding period is calculated and subtracted from the time series. This way side bands caused by the window function are removed in the power spectrum. This is repeated on the residual spectrum, but the following iterations simultaneously fit multiple cosines to the time series. This operation is halted when the same number of frequencies as in the first method has been reached. This method is possible because the resolution in the power spectrum (0.2 μHz) is larger than the line width of the stochastic modes in red giants (≈0.1 μHz, Handberg et al. 2016). This means excited modes will be represented by only one peak in the power spectrum in most cases and not by a set producing a Lorentzian profile, which is the case when the observations span many life cycles.
Finally, we get a list of modes (frequency, amplitude, and phase), where modes are only included if they are detected by both methods and agree to better than 0.1 μHz. Both results(ν1, ν2) are presented in Table 2 to give an idea of the precision, and generally good agreement is seen. The amplitude A2 is given for the PERIOD04 method. For two frequencies PERIOD04 detects what could be an alias, which we have enclosed in parentheses. All modes included in Table 2 have high signal-to-noise ratios (S/N). More modes are likely present; however, forthe remaining peaks we were not able to determine which are the true modes and which are the aliases, and they have therefore not been included.
Possible modes in 46 LMi.
4.3 Solution using νmax
The global asteroseismic observables include νmax defined above and the large frequency separation Δν, i.e. the average frequency spacing between modes of the same degree and adjacent orders.
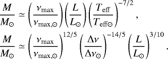
As presented by Miglio et al. (2012), the asteroseismic scaling relations for mass can be expressed in the following four different ways if the luminosity L is included as an independent variable along with Teff, Δν, and νmax:

Using L we exploit the asteroseismic scaling relation for mass in the form that does not involve Δν. We use the standard asteroseismic values and Teff for the Sun (Miglio et al. 2012), which are Δν⊙ = 135 μHz, νmax,⊙ = 3100 μHz, and Teff,⊙ = 5777 K.
We adopted the luminosity (L = 27.42 ± 1.38L⊙) determined by combining the spectroscopic Teff and radius, R = 7.95 ± 0.11 R⊙ from angular diameter and parallax distance since in that way we avoid making use of a bolometric correction. We checked that the luminosity derived in an alternative way from the parallax π = 34.38 mas, the visual magnitude V = 3.83, and the bolometric corrections from Casagrande & VandenBerg (2014), BCV = −0.384 and BCV,⊙ = −0.068, are in agreement with the adopted values to well within the 1σ uncertainty.
With this approach we obtained M = 1.09 ± 0.04M⊙, after which reversing any of the other mass equations leads to Δν = 6.30 ± 0.08 μHz with the uncertainties determined by bootstrapping (Feigelson & Babu 2012). With the estimate of the mass and radius we can determine the surface gravity of 46 LMi to logg = 2.674 ± 0.013.
It is well known that a correction to the observed Δν is needed before its use with the asteroseismic scaling relations (Brogaard et al. 2016; Handberg et al. 2017; Miglio et al. 2012; Mosser et al. 2013; Guggenberger et al. 2016). From Fig. 3 in Rodrigues et al. (2017) for a mass of 1.09 M⊙ and νmax = 59.4 μHz in the two cases with [Fe/H] = –0.25 and [Fe/H] = 0.00 to match the [Fe/H] = –0.1 of 46 LMi we get a correction factor of 0.966 as the mean of the two solutions. Applying this correction to Δν = 6.30 ± 0.08 μHz we obtain an estimate for the observed Δν = 6.09 ± 0.09 μHz. The increase in uncertainty comes from the metallicity dependence of the correction.
![]() |
Fig. 3 High-pass filtered power spectrum of 46 LMi. The inset shows the normalized window function, which shows strong sidelobes. |
![]() |
Fig. 4 Échelle diagram with respect to the daily alias 11.57 μHz, which brings out peaks belonging to the window function. This is the basis for locating a number of possible modes listed in Table 2. The arrow points to the five peaks corresponding to the dominant mode in the power spectrum. |
![]() |
Fig. 5 Four red giants scaled to KIC 4672904. The scale factor applied to the frequency axis of each power spectrum is shown. The l-mode label marks the mode identification of the dominant mode in the given spectrum. |
4.4 Estimating Δν using other methods
We tried to find the large frequency separation Δν by plotting the detected modes in an échelle diagram with different guesses for the large separation, but no convincing Δν could be found in this way due to the significant number of alias peaks. Another unsuccessful approach was to calculate the autocorrelation of the power spectrum, and we therefore tried the method that we now discuss here.
We made use of the wealth of information available from the Kepler observations (Jenkins et al. 2010). From the APOKASC2 catalogue (Pinsonneault et al. 2014) we chose five red giants observed by Kepler with similar APOKASC effective temperatures and radii to 46 LMi (see Table 3). The asteroseismic masses of the five stars are close to the value we determined in Sect. 4.3 for 46 LMi. The idea is to apply a scale factor to the power spectrum of a Kepler red giant to match the power spectrum of 46 LMi, but first the method was tested on the Kepler stars alone. The frequencies in the power spectrum of each Kepler star was multiplied by a variable scale factor, and the cross-correlation between the smoothed power spectrum and a chosen smoothed reference spectrum (KIC 4672904) was determined for each value of the scale factor. Each power spectrum was normalized with the power of the highest peak in the region of the oscillation signal. A first guess on the scale factor was based on the Δν given in APOKASC and the cross-correlation was done for a range around this value. For each star the maximum in the cross-correlation function was found and this value of the scale factor was applied to the frequencies in the power spectrum. The result of this test (see Fig. 5) demonstrates how well all modes align and proves that the method works for this sample of Kepler stars. We also tested the method on a larger sample of more than 50 Kepler stars which were not as similar to 46 LMi, but we still obtained a good agreement.
It is important to mention that applying the determined scale factor for the individual Kepler stars to the Δν of the reference does not produce the exact same Δν as given in APOKASC but they are well within the 1σ uncertainties. The scaled values are given in Table 3.
The method was then applied to 46 LMi which was used as the reference for the cross-correlation. In Fig. 6 the cross-correlation function for each of the Kepler stars from Table 3 is shown. The correlation to 46 LMi is almost entirely dominated by the highest peak in the 46 LMi power spectrum producing a highly correlated signal when matched with a central peak (around 60 μHz in Fig. 5) in the Kepler red giants. This results in three dominant peaks in the cross-correlation corresponding to l = 0, 1, and 2 from the Kepler stars scaled to the dominant peak in 46 LMi. In the case of KIC 8545291 and KIC 3734104 the dominant mode in the power spectrum is outside the central region (see Fig. 5). Nevertheless, it is still one of the modes in the central region that produces the highest correlation. This is illustrated in Fig. 7 where the cross-correlation between KIC 3734104 and 46 LMi is shown with a larger range of scale factors. The first peak in this figure corresponds to the match whenthe dominant mode in KIC 3734104 is scaled to the dominant mode in 46 LMi. Even though this mode is almost twice as high in the power spectrum the cross-correlation is still stronger around the central modes around 60 μHz.
The three possible values of Δν from the correlation corresponding to the different l-values can be determined with high accuracy (better than 0.01 μHz), but the real uncertainty on these values comes from the uncertainty in the Δν from the APOKASC catalogue. We selected KIC 4672904 as our reference for the scaled Δν in Table 3 because it is the one closest to 46 LMi in the physical parameters. These values for Δν are used to plot the correlation as a function of frequency on the abscissa in Fig. 6. This is simply done by multiplying the given Δν with the scale-factor values found from the cross-correlations. This means that if we selected another star as our reference, the abscissa could shift up to 0.05 μHz (in the case of KIC 6844373).
From this scaling method we get three possible values for the large frequency separation for 46 LMi, which we take as the mean of the five scaled Δν from Table 3 with the uncertainty given as the half of the full range in these values:
Δν46LMi = (5.85 ± 0.03) μHz (Dominant mode in 46 LMi is l = 0)
Δν46LMi = (5.92 ± 0.03) μHz (Dominant mode in 46 LMi is l = 2)
Δν46LMi = (6.12 ± 0.03) μHz (Dominant mode in 46 LMi is l = 1)
We cannot say which Δν is the correct one because we do not know the identification of the dominant mode in 46 LMi, but by looking at each value we can argue which are more or less likely. Remembering the value of νmax found in Sect. 4.3, and using this with the known physical parameters of 46 LMi and the asteroseismic scaling relations, we found Δν = 6.09 ± 0.09 μHz. From this, we can argue that the Δν corresponding to the highest peak being a l = 1 mode is the most likely. This solution has some implications which do not support it. When the power spectrum from any of the Kepler stars is scaled using the l = 1 value, none of their radial modes near νmax match peaks in the power spectrum of 46 LMi. This seems unlikely since no Kepler red giant in our sample shows this behaviour. However, it is well known that radial modes have less power relative to the dipole modes in RV compared to intensity (Bedding et al. 1996), which again could favor this solution. The relative ratio between l = 0 and l = 1 modes for SONG was computed in Handberg & Campante (2011) and was determined to be 1.35. The solution where the dominant mode in 46 LMi is a l = 0 mode is less likely (~ 3σ) when compared to the Δν estimated from νmax in Sect. 4.3. However, more modes from the power spectrum of a given Kepler giant match peaks in the power spectrum of 46 LMi. This could be a result of the Δν being very close to one half of the daily splitting produced by the sampling from single-site observations. Every second mode in the Kepler power spectrum would then roughly match an alias peak if this were the true value and the high correlation for the l = 0 mode might simply be a result of the sampling of our data.
The same is the case for the value related to the dominant mode in 46 LMi being a l = 2 mode. This value is also close to one half of the daily alias. The fact that it is a bit further away from the alias peaks mightmirror the correlation power in Fig. 6, which is in general a bit lower for the l = 2 peaks than the l = 0 modes.
The high peaks in Fig. 6 have their origin in the dominant modes in the power spectra of 46 LMi and the template. To reduce the effect of the dominant modes we have divided the power spectra by a Gaussian fit to the power spectra before cross correlation. We have also performed a test with a power law. In none of the cases did we see any significant change of the results. The heights of the peaks in Fig. 6 were modified, but not the positions.
All three values of Δν can be used to scale a given Kepler star to 46 LMi, and all three fail to match all frequencies given in Table 2. This indicates that we have either incorrectly determined some of the frequencies given or that none of the stars in our sample matches 46 LMi completely, or a combination of the two. We know from the Kepler red giants that some show clear splitting of the dipole modes caused by mixing with g-modes. If this were the case in 46 LMi it would make the analysis of the power spectrum significantly more difficult since all split modes would produce alias peaks due to the window function.
![]() |
Fig. 6 Cross-correlation function for each of the Kepler stars correlated with 46 LMi. The abscissa is the scale factor multiplied by the Δν of KIC 4672904. The dashed lines indicate the different l-values coming from the identified modes in the Kepler stars when scaled to the dominant mode in 46 LMi. See the text for further information. |
![]() |
Fig. 7 Cross-correlation between KIC 3734104 and 46LMi for a larger range of scale factors. The peak at 0.95 corresponds to the match when the dominant mode in KIC 3734104 (see bottom panel in Fig. 5) is scaled to the dominant mode in 46 LMi. |
Large separation of 46 LMi, Δν46LMi in μHz from scaling the large separation Δν of Kepler giants.
Most likely model parameters given the constraints from observations.
5 Modelling
We can show that a model exists that reproduces our new asteroseismic results and existing non-seismic measurements. In addition, wecan find a “best” solution in terms of all constraints.
We employed the ASTEC evolution code (Christensen-Dalsgaard 2008b) for stellar evolution modelling computations, and the ADIPLS oscillation package (Christensen-Dalsgaard 2008a) for frequency calculations. ASTEC can evolve models up to the tip of the red giant branch, which is adequate for 46 LMi. The input physics of the ASTEC version that we used included the latest OPAL opacity tables (Iglesias & Rogers 1996), OPAL 2005 equation of state (Rogers & Nayfonov 2002), and NACRE reaction rates (Angulo et al. 1999). At low temperatures, opacities are obtained from Ferguson et al. (2005). Convection is treated under the assumption of mixing length theory (Böhm-Vitense 1958). We did not take rotation, diffusion, or convective overshoot into consideration in our calculation.
For model selection, we used a tool called DIAMONDS that performs Bayesian parameter estimation and model comparison by means of the nested sampling Monte Carlo (NSMC) algorithm (Corsaro & De Ridder 2014). The mass, heavy-element abundance Z, and mixing-length parameter α are set as free parameters. The mass is restricted to the range of 0.95–1.25 M⊙, Z to the range 0.001–0.03, and α to 1–3. Based on a Galactic chemical-evolution model (Carigi 2000; Pietrinferni et al. 2004) the hydrogen abundance X is obtained as X = −2.4Z + 0.748, which gives X = 0.7 when Z = 0.02 and a helium-to-metal enhancement ratio ΔY∕ΔZ = 1.4.
We use the observed parameters (with their uncertainties) R, Teff from Table 1, and νmax from Sect. 4.1 as constraints to obtain the likelihood of a given model based on the χ2 value. The results are given in Table 4 where the errors are given as Bayesian errors which only represent the capability of the model to fit the given observations. We use a 68.3% probability for the Bayesian credible intervals.
If we assume that we know R and Teff, we can use the scaling relation for νmax to calculate M which we did in Sect. 4.3. Not surprisingly, the best fitting model therefore has parameters consistent with the previous results in this paper. The χ2 of the best models is 1.36. The values given in Table 4 are from the Bayesian and they give χ2 = 0.87. Removing the constraint on νmax changes the results very little. The age determined here is significantly older than found by Bubar & King (2010), but it is the expected age for a ~1.09 M⊙ red giant. If 46 LMi were indeed a member of the moving group Wolf 630, this would suggest a higher age for the group. More likely, 46 LMi is not a member.
6 Conclusions
Even if SONG is not yet a network of telescopes, the use of just one dedicated automatic telescope leads to ground-based results comparable to or better than previous asteroseismic campaigns. The reason is the easy way SONG can perform long time observations. The main results are summarized here.
-
The first SONG observations demonstrate that we have perhaps obtained the best ground-based red-giant power spectrum to date. 46 LMi shows a clear solar-like power excess centred at 59.4 ± 1.4μHz, where the uncertainty is mainly due to the stochastic excitation. The power reaches nearly zero at low frequencies (≤30 μHz) for the high-pass filtered radial-velocity time series. The power spectrum is affected by alias peaks due to the use of single-site data. Comparison to stars observed by Kepler leads to three possible values for the large frequency separation. We therefore base our mass and radius estimates on νmax as the only asteroseismic measure and combine it with classical results, as described in Sect. 4.3.
-
Our best estimate of the mass of 46 LMi (from the νmax solution)is M = 1.09 ± 0.04M⊙ and the radius from classical estimates is R = 7.95 ± 0.11R⊙. The surface gravity estimate is logg = 2.674 ± 0.013 derived from the mass and radius just listed leading to an improved accuracy compared to the spectroscopic gravity logg = 2.61 ± 0.2.
-
The age of 8.2 ± 1.9 Gyr that we find for 46 LMi is significantly higher than that reported by Bubar & King (2010). This suggests that 46 LMi is not a member of the moving group WOLF 630. We thus demonstrate that asteroseismic age determination can be used to determine membership of stellar constellations such as moving groups and clusters.
Improvements will be possible from multisite observations, as we will be able to identify individual mode frequencies since alias peaks will be highly suppressed. This will lead to a more precise age estimate, and a measurement of mass and radius from the asteroseismic scaling relations that is independent of the distance. We will then be able to get a high-accuracy test of the asteroseismic scaling relations by comparing the radius derived from asteroseismology to that obtained from interferometry. This clearly shows why more SONG nodes are needed.
Acknowledgements
This research took advantage of the Simbad and Vizier databases, operated at the CDS, Strasbourg (France), and NASA’s Astrophysics Data System Bibliographic Services. We would like to acknowledge the Villum Foundation, The Danish Council for Independent Research | Natural Science and the Carlsberg Foundation for the support on building the SONG prototype on Tenerife. K.B. acknowledges support from the Villum Foundation. The Stellar Astrophysics Centre is funded by The Danish National Research Foundation (Grant DNRF106) and research was supported by the ASTERISK project (ASTERo-seismic Investigations with SONG and Kepler) funded by the European Research Council (Grant agreement n. 267864). We also gratefully acknowledge the support from the Spanish Ministry of Economy Competitiveness (MINECO) grant AYA2016-76378-P.
References
- Andersen, M. F., Grundahl, F., Christensen-Dalsgaard, J., et al. 2014, in Rev. Mex. Astron. Astrofis., 45, 83 [Google Scholar]
- Andersen, M. F., Grundahl, F., Beck, A. H., & Pallé, P. 2016, in Rev. Mex. Astron. Astrofis., 48, 54 [Google Scholar]
- Angulo, C., Arnould, M., Rayet, M., et al. 1999, Nucl. Phys. A, 656, 3 [NASA ADS] [CrossRef] [Google Scholar]
- Antoci, V., Handler, G., Grundahl, F., et al. 2013, MNRAS, 435, 1563 [NASA ADS] [CrossRef] [Google Scholar]
- Arentoft, T., Kjeldsen, H., Bedding, T. R., et al. 2008, ApJ, 687, 1180 [NASA ADS] [CrossRef] [Google Scholar]
- Arentoft, T., Tingley, B., Christensen-Dalsgaard, J., et al. 2014, MNRAS, 437, 1318 [NASA ADS] [CrossRef] [Google Scholar]
- Arentoft, T., Brogaard, K., Jessen-Hansen, J., et al. 2017, ApJ, 838, 115 [NASA ADS] [CrossRef] [Google Scholar]
- Beck, P. G., Montalban, J., Kallinger, T., et al. 2012, Nature, 481, 55 [NASA ADS] [CrossRef] [Google Scholar]
- Beck, P. G., Kambe, E., Hillen, M., et al. 2015, A&A, 573, A138 [NASA ADS] [CrossRef] [EDP Sciences] [Google Scholar]
- Bedding, T. R., Kjeldsen, H., Reetz, J., & Barbuy, B. 1996, MNRAS, 280, 1155 [NASA ADS] [CrossRef] [Google Scholar]
- Bedding, T. R., Mosser, B., Huber, D., et al. 2011, Nature, 471, 608 [NASA ADS] [CrossRef] [PubMed] [Google Scholar]
- Böhm-Vitense, E. 1958, Z. Astrophys., 46, 108 [Google Scholar]
- Brogaard, K., Jessen-Hansen, J., Handberg, R., et al. 2016, Astron. Nachr., 337, 793 [NASA ADS] [CrossRef] [Google Scholar]
- Bubar, E. J., & King, J. R. 2010, AJ, 140, 293 [NASA ADS] [CrossRef] [Google Scholar]
- Carigi, L. 2000, Rev. Mex. Astron. Astrofis., 36, 171 [NASA ADS] [Google Scholar]
- Casagrande, L., & VandenBerg, D. A. 2014, MNRAS, 444, 392 [NASA ADS] [CrossRef] [MathSciNet] [Google Scholar]
- Christensen-Dalsgaard, J. 2008a, Ap&SS, 316, 113 [NASA ADS] [CrossRef] [Google Scholar]
- Christensen-Dalsgaard, J. 2008b, Ap&SS, 316, 13 [NASA ADS] [CrossRef] [Google Scholar]
- Christensen-Dalsgaard, J. 2014, Asteroseismology of red giants, P. L. Pallé, & C. Esteban (Cambridge University Press) [Google Scholar]
- Corsaro, E., & De Ridder, J. 2014, A&A, 571, A71 [NASA ADS] [CrossRef] [EDP Sciences] [Google Scholar]
- Corsaro, E., Grundahl, F., Leccia, S., et al. 2012, A&A, 537, A9 [NASA ADS] [CrossRef] [EDP Sciences] [Google Scholar]
- Feigelson, E., & Babu, G. 2012, Modern Statistical Methods for Astronomy (Cambridge University Press) [Google Scholar]
- Ferguson, J. W., Alexander, D. R., Allard, F., et al. 2005, ApJ, 623, 585 [NASA ADS] [CrossRef] [Google Scholar]
- Frandsen, S., Jones, A., Kjeldsen, H., et al. 1995, A&A, 301, 123 [NASA ADS] [Google Scholar]
- Grundahl, F., Fredslund Andersen, M., Christensen-Dalsgaard, J., et al. 2017, ApJ, 836, 142 [NASA ADS] [CrossRef] [Google Scholar]
- Guggenberger, E., Hekker, S., Basu, S., & Bellinger, E. 2016, MNRAS, 460, 4277 [NASA ADS] [CrossRef] [Google Scholar]
- Handberg, R., & Campante, T. L. 2011, A&A, 527, A56 [NASA ADS] [CrossRef] [EDP Sciences] [Google Scholar]
- Handberg, R., Miglio, A., Brogaard, K., Bossini, D., & Elsworth, Y. P. 2016, Astron. Nachr., 337, 799 [NASA ADS] [CrossRef] [Google Scholar]
- Handberg, R., Brogaard, K. F., Miglio, A., et al. 2017, MNRAS, 472, 979 [NASA ADS] [CrossRef] [Google Scholar]
- Huber, D., Bedding, T. R., Stello, D., et al. 2010, ApJ, 723, 1607 [NASA ADS] [CrossRef] [Google Scholar]
- Iglesias, C. A., & Rogers, F. J. 1996, ApJ, 464, 943 [NASA ADS] [CrossRef] [Google Scholar]
- Jenkins, J. M., Caldwell, D. A., Chandrasekaran, H., et al. 2010, ApJ, 713, L120 [NASA ADS] [CrossRef] [Google Scholar]
- Massarotti, A., Latham, D. W., Stefanik, R. P., & Fogel, J. 2008, AJ, 135, 209 [NASA ADS] [CrossRef] [Google Scholar]
- Mazumdar, A., Mérand, A., Demarque, P., et al. 2009, A&A, 503, 521 [NASA ADS] [CrossRef] [EDP Sciences] [Google Scholar]
- Miglio, A., Brogaard, K., Stello, D., et al. 2012, MNRAS, 419, 2077 [NASA ADS] [CrossRef] [Google Scholar]
- Mosser, B., Michel, E., Belkacem, K., et al. 2013, A&A, 550, A126 [NASA ADS] [CrossRef] [EDP Sciences] [Google Scholar]
- Nordgren, T. E., Germain, M. E., Benson, J. A., et al. 1999, AJ, 118, 3032 [NASA ADS] [CrossRef] [Google Scholar]
- Pietrinferni, A., Cassisi, S., Salaris, M., & Castelli, F. 2004, ApJ, 612, 168 [NASA ADS] [CrossRef] [Google Scholar]
- Pinsonneault, M. H., Elsworth, Y., Epstein, C., et al. 2014, ApJS, 215, 19 [NASA ADS] [CrossRef] [Google Scholar]
- Piskunov, N. E., & Valenti, J. A. 2002, A&A, 385, 1095 [NASA ADS] [CrossRef] [EDP Sciences] [Google Scholar]
- Rodrigues, T. S., Bossini, D., Miglio, A., et al. 2017, MNRAS, 467, 1433 [NASA ADS] [Google Scholar]
- Rogers, F. J., & Nayfonov, A. 2002, ApJ, 576, 1064 [Google Scholar]
- Skottfelt, J., Bramich, D. M., Hundertmark, M., et al. 2015, A&A, 574, A54 [NASA ADS] [CrossRef] [EDP Sciences] [Google Scholar]
- Stello, D., Arentoft, T., Bedding, T. R., et al. 2006, MNRAS, 373, 1141 [NASA ADS] [CrossRef] [Google Scholar]
- Stello, D., Bruntt, H., Kjeldsen, H., et al. 2007, MNRAS, 377, 584 [NASA ADS] [CrossRef] [Google Scholar]
- Stello, D., Chaplin, W. J., Basu, S., Elsworth, Y., & Bedding, T. R. 2009, MNRAS, 400, L80 [NASA ADS] [CrossRef] [Google Scholar]
- van Leeuwen, F. 2007, A&A, 474, 653 [NASA ADS] [CrossRef] [EDP Sciences] [Google Scholar]
- Walker, G., Matthews, J., Kuschnig, R., et al. 2003, PASP, 115, 1023 [NASA ADS] [CrossRef] [Google Scholar]
- Wenger, M., Ochsenbein, F., Egret, D., et al. 2000, A&AS, 143, 9 [NASA ADS] [CrossRef] [EDP Sciences] [Google Scholar]
APOKASC comes from a combination of Apache Point Observatory Galactic Evolution Experiment (APOGEE) and of the Kepler Asteroseismic Science Consortium (KASC)
All Tables
Large separation of 46 LMi, Δν46LMi in μHz from scaling the large separation Δν of Kepler giants.
All Figures
![]() |
Fig. 1 Time coverage of the 46 LMi campaign. First night: 14 February 2014. |
| In the text | |
![]() |
Fig. 2 Radial velocity curve of a single night. |
| In the text | |
![]() |
Fig. 3 High-pass filtered power spectrum of 46 LMi. The inset shows the normalized window function, which shows strong sidelobes. |
| In the text | |
![]() |
Fig. 4 Échelle diagram with respect to the daily alias 11.57 μHz, which brings out peaks belonging to the window function. This is the basis for locating a number of possible modes listed in Table 2. The arrow points to the five peaks corresponding to the dominant mode in the power spectrum. |
| In the text | |
![]() |
Fig. 5 Four red giants scaled to KIC 4672904. The scale factor applied to the frequency axis of each power spectrum is shown. The l-mode label marks the mode identification of the dominant mode in the given spectrum. |
| In the text | |
![]() |
Fig. 6 Cross-correlation function for each of the Kepler stars correlated with 46 LMi. The abscissa is the scale factor multiplied by the Δν of KIC 4672904. The dashed lines indicate the different l-values coming from the identified modes in the Kepler stars when scaled to the dominant mode in 46 LMi. See the text for further information. |
| In the text | |
![]() |
Fig. 7 Cross-correlation between KIC 3734104 and 46LMi for a larger range of scale factors. The peak at 0.95 corresponds to the match when the dominant mode in KIC 3734104 (see bottom panel in Fig. 5) is scaled to the dominant mode in 46 LMi. |
| In the text | |
Current usage metrics show cumulative count of Article Views (full-text article views including HTML views, PDF and ePub downloads, according to the available data) and Abstracts Views on Vision4Press platform.
Data correspond to usage on the plateform after 2015. The current usage metrics is available 48-96 hours after online publication and is updated daily on week days.
Initial download of the metrics may take a while.






