| Issue |
A&A
Volume 616, August 2018
|
|
|---|---|---|
| Article Number | A159 | |
| Number of page(s) | 19 | |
| Section | Interstellar and circumstellar matter | |
| DOI | https://doi.org/10.1051/0004-6361/201731555 | |
| Published online | 30 August 2018 | |
LRO/LAMP study of the interstellar medium via the HeI 58.4 nm resonance line
1
Southwest Research Institute,
San Antonio,
TX, USA
e-mail: This email address is being protected from spambots. You need JavaScript enabled to view it.
2
Central Arizona College,
Coolidge,
AZ, USA
3
Department of Physics and Astronomy, Johns Hopkins University,
Baltimore,
MD,
USA
Received:
12
July
2017
Accepted:
24
April
2018
Abstract
Context. Recent measurements by IBEX and detailed modeling have changed our understanding of the flow of the interstellar medium through the solar system. In particular, a time dependence of the direction of the interstellar medium flow has been proposed, and a new population of helium atoms, called the “warm breeze”, has been discovered.
Aims. We aim to constrain the structure of the interstellar medium close to the downwind focusing cone using the sensitive LAMP FUV/EUV imaging spectrograph onboard the Lunar Reconnaissance Orbiter.
Methods. We measured the brightness of the emission line from interstellar helium atoms resonantly scattering solar photons at 58.4 nm (HeI) and compare it to our “modified cold model” of interstellar HeI sky brightness as a function of ecliptic latitude and longitude. Additionally, we compared LAMP observations to a model with time-dependent inflow direction and a model of the brightness of the “warm breeze”, to see if they can be distinguished by LAMP.
Results. We find that the LAMP observations agree within error bars to our “modified cold model”, which in turn is consistent with the latest interstellar helium flow parameters found with IBEX. Our model can therefore be applied to other UV spectroscopic observations of the interstellar helium. However, LAMP observations cannot distinguish between our model and a model with a different inflow direction, since the latter has negligible effect on the 2D brightness of the interstellar HeI emission line. For the same reason, LAMP could not detect the effect of the “warm breeze”. We note a discrepancy between solar irradiances measured by TIMED/SEE and those measured by SDO/EVE. We recommend using values from SDO/EVE. Finally, we derive a value of LAMP sensitivity at the EUV wavelength (58.4 nm) of 0.485 ± 0.014 Hz/Rayleigh.
Conclusions. These measurements pave the way to observations of the interstellar wind from lunar orbit.
Key words: interplanetary medium / techniques: imaging spectroscopy / Sun: UV radiation / ISM: general / Sun: heliosphere
© ESO 2018
1 Introduction
The solar system is moving through the so-called local interstellar cloud (LIC), a low density, warm, and partially ionized cloud of gas and plasma (~9 pc across) which is in turn contained within the more diluted Local Bubble (~90 pc across). The Sun carves a region within the LIC, called the heliosphere, in which ions are precluded from entering by the interplanetary magnetic field, but not the neutrals, notably He, H, and O, which are free to travel. These atoms form the local interstellar medium (LISM). By studying these atoms, it is possible to infer the characteristics of the LIC such as direction of motion of the solar system and density and velocity of incoming neutrals. In the ~40 yr that intervened since the discovery of the interstellar wind (Bertaux & Blamont 1971; Thomas & Krassa 1971) different observation techniques have been used to study the motion of the solar system through the interstellar wind. Indeed, helium can be detected in three different ways: (1) in situ measurements of helium atoms through imaging, e.g. with IBEX (Möbius et al. 2009a; McComas et al. 2015b) and Ulysses (Witte et al. 2004); (2) pickup ions in the downwind gravitational focusing cone with ACE-SWICS (Gloeckler et al. 1998), AMPTE-IRM (Möbius et al. 1995), Nozomi (Gloeckler et al. 2004), STEREO-PLASTIC (Drews et al. 2012), and MESSENGER-FIPS (Gershman et al. 2013); and (3) HeI resonance emission line at 58.4 nm, the first method used to detect interstellar helium (Meier & Weller 1972), and the method we used and present here.
Advantages of studying the interstellar wind with the HeI 58.4 nm resonant line emission. Observations of the interstellar medium via the HeI 58.4 nm emission line due to resonant scattering of helium were carried out first by rockets (Meier & Weller 1972; Paresce et al. 1974), then by orbiting satellites such as STP 72-1 (Weller & Meier 1974), SOLRAD 11B (Weller & Meier 1981), Prognoz 6 (Dalaudier et al. 1984), and EUVE (Flynn et al. 1998; Vallerga et al. 2004), and also by satellites en route to other worlds, such as Mariner 10 (Ajello 1978; Broadfoot & Kumar 1978; Ajello et al. 1979), Nozomi (Yamazaki et al. 2006; Nakagawa et al. 2008), and Galileo (Pryor et al. 2014).
This technique has several advantages compared to the spectroscopy of interstellar hydrogen, which resonantly scatters Lyman-alpha (Ly-α) photons (121.6 nm; Weller & Meier 1981). Firstly, the interstellar extinction is significantly greater at 58.4 nm than at 121.6 nm, therefore contamination from the galactic background is negligible at 58.4 nm. Secondly, solar radiation pressure for helium is not as important as for hydrogen, due to the larger mass of helium and to the much lower solar flux at 58.4 nm. Therefore, helium penetrates much deeper in the heliosphere (i.e. much closer to the Sun) than hydrogen, and the downwind focusing cone is more pronounced. Thirdly, charge-exchange is negligible for He, but not for H or O, whose densities (and brightness) are therefore depleted (Fahr 1991). The main loss mechanisms for helium atoms are photoionization and electron impact ionization, especially important for heliocentric distances less than 1 Astronomical Unit (AU) (Rucinski & Fahr 1989; Bzowski et al. 2013; Scherer et al. 2014). Another advantage is that the HeI 58.4 nm line is optically thinner than the Ly-α line, so thatcomplex multiple scattering calculations are not needed in the model. The study of the interstellar wind through the HeI 58.4 nm resonance line has therefore the advantage, with respect to the Ly-α emission line of atomic H, of providing better determination of parameters pertinent to the interstellar wind, such as bulk flow velocity, ecliptic longitude and latitude of the direction of the interstellar wind, and temperature and density of neutral helium (for a thorough description of the parameters that affect HeI 58.4 nm emission line, see McMullin et al. 2004 and Lallement et al. 2004). Helium is therefore a very useful tracer of conditions of the LIC.
In addition to that, the study of the interstellar medium via spectroscopy of the 58.4 nm line has the advantage, compared to in situ pick-up ions measurements or energetic neutral atoms imaging, that it is the one with the longest observation baseline (>45 yr), being implemented since the 1970s. Therefore, an improvement on this method will benefit future attempts to study medium- or long-term variations in the interstellar flow direction.
The downwind focusing cone. The combination of the gravitational attraction of the Sun and the flowing of interstellar medium concentrate the helium population in the downwind direction, where atoms are channelled into the downwind focusing cone. The Interstellar Boundary Explorer (IBEX) spacecraft (McComas et al. 2009) report “nominal values” for interstellar helium of 25.4 km s−1 for velocity, 7500 K for temperature, 75.7° for ecliptic longitude and − 5.1° for ecliptic latitude of the downwind pristine interstellar flow direction outside the heliosphere at a distance of 1000 AU (McComas et al. 2015b). However, thanks to the advancements of modeling and of dedicated space missions to study the heliosphere, most notably IBEX, a more complex picture has emerged. For example, the hypothesis of a slowly changing location of the interstellar medium inflow longitude was advanced by a number of studies (Bzowski et al. 2012; Möbius et al. 2012; Drews et al. 2012; Frisch et al. 2013, 2015). But this idea was later challenged by Lallement & Bertaux (2014) and Bertaux & Lallement (2015). Moreover, an additional population of helium atoms has been discovered by Kubiak et al. (2014), using the IBEX-Lo instrument (Fuselier et al. 2009; Möbius et al. 2009b). This second population of neutral helium, dubbed “warm breeze”, has best-fitting flow parameters (at large distances from the Sun) of 11.3 km s−1 for velocity, ~15 000 K for temperature, 60.5° for ecliptic longitude, and –11.9° for ecliptic latitude in the downwind flow direction (Kubiak et al. 2014). Assuming a convective Maxwellian distribution, Kubiak et al. (2016) argued and Bzowski et al. (2017) confirmed that this secondary population of warmer, slower helium is created by charge exchange between the primary He neutrals and hot ionized helium in the outer heliosphere. The refined parameters at large distances from the Sun are a downwind flow direction of 71.6° ecliptic longitude, a temperature of 9480 K, and a density only 5.7% of the primary interstellar helium (note that the revised outflow ecliptic longitude is much closer to the primary helium flow direction). Park et al. (2015, 2016) also examined IBEX-Lo data and confirmed the presence of a secondary population of neutral helium, as well as a secondary population of neutral oxygen atoms produced by charge exchange between the primary population of interstellar hydrogen and hot ionized oxygen in the outer heliosphere.
Our study. The purpose of the analysis of the LAMP observations presented here is to test the validity of our “modified cold model” of the interstellar wind HeI 58.4 nm brightness, which is based on the “standard picture” of a fixed direction of motion of the interstellar wind, and to see if the presence of the “warm breeze” can be detected in the downwind focusing cone. Moreover, these observations are also useful for improving the knowledge of LAMP’s effective area at short wavelengths, since the LISM is largely opaque to the 58.4 nm radiation from the stars which are usually observed for calibration. As explained in Sect. 2.2, we take advantage of the fact that, being in orbit around the Moon, LAMP observations are not affected by the geocoronal foreground emission (Paresce et al. 1974).
2 Method
2.1 LAMP FUV/EUV imaging spectrograph
The Lyman-Alpha Mapping Project (LAMP; Gladstone et al. 2010), one of the seven instruments on the Lunar Reconnaissance Orbiter (LRO; Chin et al. 2007), is a sensitive, photon-counting, imaging FUV spectrograph that covers a bandpass of 57.5–196.5 nm. Its detector is a microchannel plate with a double-delay-line anode that allows 2D position sensing. Wavelength is dispersed along the horizontal direction of the resulting 2D data array (1024 columns, of which 776 are illuminated). The vertical direction (32 rows, of which 21 are illuminated) provides spatial information along the slit. The instrument collects data as pixel-list events within 4 ms intervals, and it is possible to integrate signals over longer timescales and regions of interest. Primary LAMP goals are to identify and localize exposed water frost in permanently shadowed regions (PSRs) of the Moon, characterize landforms and albedos in PSRs, and study the lunar atmosphere and its variability. As sources of illumination, LAMP exploits both sunlight, to study e.g. the hydration at the surface (Hendrix et al. 2012) and, at night and in the PSRs, starlight and sky-glow illumination from interstellar hydrogen (Gladstone et al. 2012). Its high sensitivity makes LAMP exceptionally suited to study emission from the interstellar medium.
2.2 Description of the observations
Most of the time, LAMP is pointed to the spacecraft nadir, meaning that it observes the lunar surface. However, LRO can be rolled and pitched so that LAMP can observe a different region than the lunar surface, e.g. the lunar limb or, as in the 14 such measurements presented here, the sky. These consist of dedicated campaigns to scan the region of the sky near the downwind He focusing cone in the anti-sunward direction. All the observations, except the first three, consist of scans parallel to either the ecliptic longitude or latitude. The first three were aimed to study the lunar helium atmosphere, but are included here because they scanned a region of sky close to the downwind focusing cone. The one period each year that has a suitable geometry for focusing cone observations is centered on December 6th. Near that time, the anti-sunward direction of LAMP’s line of sight coincides with the downwind direction of the interstellar flow so it is possible to look straight through the column of helium atoms which are resonantly scattering sunlight, therefore maximizing the signal. Figure 1 illustrates the geometry of one of the 14 LAMP observations, as well as the axes defining the Selenographic Solar Ecliptic (SSE) reference system mentioned in Sect. 2.6.
One of the advantages of carrying out such observations from lunar orbit is that the contamination from the helium geocorona was always absent. While the full disk brightness of the Earth at 58.4 nm is 330 Rayleighs (Meier 1991), the brightness of the geocorona is of the order of ~10 Rayleighs (Flynn et al. 1998; Vallerga et al. 2004). 1 Rayleigh = 106 photons cm−2 s−1 over 4π sr; (Baker & Romick 1976; Killen et al. 1999), or 106/ 4π photons cm−2 s−1 sr−1 (Hunten et al. 1956). The scale height of helium is ~4x smaller than that of hydrogen. For H atoms at 1000 K the scale height at 500 km altitude is ~ 1000 km; for He atoms the scale height is therefore ~250 km. So for the ~10 R HeI 58.4 nm geocorona to fall off to the ~2 R level of the sky would require ~10∕2∕e ~ 2 scale heights or less than 1 Earth radii (from the Earth’s surface). The minimum angular distance between the LAMP field of view and the Earth was ~10°, which places the LAMP field of view outside the area contaminated by the geocorona.
Figures 2 and 3 show the brightness in Rayleighs of the interstellar helium fromour “modified cold model” (Sect. 2.4) at two dates. In Fig. 2, pertaining to the date 2014-09-11, the downwind direction (relative to Earth) forms an angle of ~90° with the downwind focusing cone direction. Therefore, even if LAMP would look through the focusing cone, few helium atoms will resonantly scatter sunlight. Figure 3 depicts the situation on 2014-12-01, close in time to one of our observing campaigns. In this case, the anti-sunward direction (as seen from Earth) coincides with the downwind direction, and the population of helium atoms resonantly scattering sunlight is maximized. The LAMP field of view projected onto the sky is 6.0° long and 0.3° wide.
![]() |
Fig. 1 Geometry of one of the LAMP observations (not to scale). xSSE, xSSE, and xSSE define the Selenographic Solar Ecliptic (SSE) coordinate system. The view is from the ecliptic north pole. |
![]() |
Fig. 2 Contour map of the brightness of the HeI 58.4 nm emission line as calculated from our “modified cold model” for 2014-09-11. The (bigger) black dot at ecliptic longitude ~170° is the Sun. The scheme on the right of the figure depicts the geometry in the ecliptic plane, with the arrow representing the heliospheric flow direction; u = upwind direction; d = downwind direction; S = Sun; E = Earth (observer vantage point). The parameters used in this model are: downwind direction ecliptic lat. and long.: 75.4° and –5.2°; density, temperature, and velocity at infinity: 0.015 cm−3, 7440 K, and 25.4 km s−1. Contour levels are separated by 0.5 Rayleighs (R) up to 5 R, then 5 R separation. |
![]() |
Fig. 3 Contour map of the brightness of the HeI 58.4 nm emission line as calculated from our “modified cold model” for day 335 of 2014 (Dec. 1, 2014). The color scaling is the same as in Fig. 2. The black dot at ecliptic longitude ~250° is the Sun. |
2.3 Datareduction
For each observation, we have selected a subsection of interest, namely, the period of time when the instrument was pointing at the sky, and we binned this subset in 2-min time intervals. For each 2-min time bin, we collected the light from all the illuminated rows of the detector (from the 5th to the 25th inclusive), except the 16th row, for which an artifact of digitizing the signal is more apparent (further details in Stern et al. 2008 and Davis et al. 2011). Since the contribution from stars is negligible in the EUV wavelength region, the dominant source of background at this wavelength (58.4 nm) is the pile-up noise of the detector, due to the dark noise that “piles up” at the edge of the microchannel plate detector where it is clamped in place. These regions are usually outside the illuminated area of the detector (as in the other “Alice” UV spectrographs such as Juno-UVS and Rosetta-Alice), but for LAMP we extended the illuminated area to specifically include the emission line of lunar exospheric helium, at the very edge of the detector. The pileup noise is computed as the signal integrated over the rows 27–31 (inclusive) of the detector (these rows are not illuminated, hence they represent an optimal location to retrieve the pile-up noise), multiplied by 4, that is the ratio between the number of rows (20) used to integrate the signal and the number of rows (5) where the pile-up noise is calculated:
(1)
where λ is the wavelength (column of the detector) and count(λ, i) represents the counts integrated over rows 27–31. Figure 4 illustrates the steps performed for data reduction (for one particular 2-min time bin). On the left, the black line is the spectrum of the observation (in Hz). The red line is the pile-up noise. The green line is their difference. On the right we show in black their difference minus the “pedestal”, i.e. its average around 64.0 nm (spectral region encompassed by the vertical dashed blue lines in the left panel). Such “pedestal” is of the order of ~ 10−2 counts s−1. In orange is shown its Gaussian fit. We take the sum of the Gaussian fit to get the total flux inside the HeI emission line. This operation is performed for every 2-min bin for each observation and the LAMP light curve (count rates vs. time) is extracted.
![]() |
Fig. 4 Left panel: spectrum of sky observation (black), the pileup noise (red), and their difference (green). Right panel: the “scaled difference” (i.e. the green line in the left plot minus its average within the blue vertical lines) and its Gaussian fit (orange line). |
![]() |
Fig. 5 Solar irradiances measured at 58.4 nm from two different instruments (SDO/EVE, on the left, and TIMED/SEE, on the right) during 5 yr. |
![]() |
Fig. 6 Ratio of the irradiances measured by two instruments from 2011 to 2015: SDO/TIMED. It is evident the progressive decrease of TIMED/SEE sensitivity compared to that of SDO/EVE over time. |
2.4 The sky brightness model
The interstellar helium emission model (Figs. 2 and 3) is a “modified cold model” (Ajello 1978) used in calibrating previous LAMP observations of lunar helium (Stern et al. 2012; Feldman et al. 2012; Cook & Stern 2014; Hurley et al. 2016; Grava et al. 2016), where we incorrectly described it as a “hot model”. It was originally developed for Mariner 10 (Ajello 1978; Frisch et al. 2013) and updated with time-dependent solar fluxes for use with Galileo (Pryor et al. 2013, 2014) and LAMP data to create maps of sky brightness at the wavelength of HeI emission line (58.4 nm) as a function of ecliptic latitude andlongitude.
The model assumes that the interstellar wind helium atoms approaching the Sun “at infinity” have density 0.015 cm−3, temperature 7440 K, and velocity 25.4 km s−1, with an assumed downwind flow direction of ecliptic longitude 75.4° and ecliptic latitude, − 5.2°. These values are within the “4D parameters tube” reported in McComas et al. (2012). A recent review of IBEX measurements (McComas et al. 2015b) suggests that the community use “working values” for interstellar helium of velocity of 25.4 km s−1, temperature of 7500 K, and a downwind flow direction of 75.7° ecliptic longitude and − 5.1° ecliptic latitude. This suggestion leaves the flow direction almost unchanged from our baseline model.
2.5 The effect of the solar irradiance
Solar processes affect the loss of helium approaching the Sun (solar EUV photoionization). Our model uses photoionization loss rates taken from the Solar Irradiance Platform (SIP) v2.38 (Bouwer et al. 2011). Day-to-day solar variations in the solar He 58.4 nm emissionline illuminating the interstellar helium atoms were previously tracked in our models using the Solar EUV Experiment (SEE; Woods et al. 2005) instrument on the Thermosphere Ionosphere Mesosphere Energetics and Dynamics (TIMED) spacecraft, launched in 2001. However, somewhat different solar He 58.4 nm fluxes were found with the newer and better calibrated Extreme Ultraviolet Variability Experiment (EVE; Woods et al. 2012) instrument on the Solar Dynamics Observatory(SDO), launched in 2010.
Generally, SDO/EVE reports higher solar He 58.4 nm irradiances than TIMED/SEE by about a factor of 2 (see Figs. 5 and 6). Plots of the diverging trends in the measured solar He 58.4 nm fluxes were also presented inDel Zanna & Andretta (2015) in their Fig. 6 (HeI 58.4 panel). In that figure, it appears that the TIMED/SEE solar irradiances have been decreasing since 2010 (the values in 2014 are even lower than those in the 2009 solar minimum), and the Solar and Heliospheric Observatory (SOHO) Coronal Diagnostics Spectrometer (CDS) is more reliable than TIMED/SEE in measuring the solar irradiance at 58.4 nm. The same figure also shows a slight discrepancy between SOHO/CDS and SDO/EVE (lower than the discrepancy between SOHO/CDS and TIMED/SEE), suggesting that SOHO/CDS would be a better instrument to retrieve solar irradiances. However, data coverage for SOHO/CDSis sparse – once every 1 or 3 months (Del Zanna 2016 and Woods 2016, priv. comm.), therefore not suitable for deriving irradiances at daily cadence, which is needed for our study. Therefore, we decided to rely on SDO/EVE, Level 3, version 5, daily averages data files of the solar irradiance at 58.4 nm available on the LISIRD website1, which have been validated with sounding rocket under flights (Eparvier 2015, priv. comm.). In the current paper we use them to calculate the g-factor in Eq. 2 to obtain the foreground emission of lunar exospheric helium in the process to retrieve the brightness of the interstellar helium.
2.6 Data-model comparison
We use the ecliptic coordinates for the LAMP pointing obtained from SPICE (Acton 1996) to compute the brightness predicted by the “modified cold model” for our observations. The brightness of the model is reported in Rayleighs. At this point we need to add to the model the brightness of the foreground emission, i.e. lunar exospheric helium resonantly scattered sunlight. Unfortunately, the best time of year to perform these observations (late November–early December, Fig. 3) coincided with the period when the beta angle of LRO (the angle between the LRO orbital plane and the LRO–Sun direction) is close to 90°, meaning that the spacecraft is running along the terminator and the amount of time spent in shadow is minimal (see Fig. 1). As a result, none of the observations (all of which were performed during this period) had the spacecraft (and LAMP line of sight) completely in shadow. The amount of foreground emission that needs to be added to the model depends on the number of helium atoms in a column extending from the spacecraft to infinity along the LAMP line of sight, and on the g-factor(number of solar photons resonantly scattered per helium atom each second):
(2)
B is the brightness expressed in Rayleighs (R), N is the column density expressed in atoms cm−2, and the g-factor g is in photons atom−1 s−1. The g-factor is computed from the solar irradiance as (Barth 1969)
(3)
where e = 4.803 × 10−10 esu is the charge of the electron, me = 9.101 × 10−28 g is the mass of the electron, c = 2.998 × 1010 cm s−1 is the speed of light, λ = 58.4 nm is HeI wavelength, f = 2.7625 × 10−1 is the oscillator strength for the HeI 58.4 nm radiation (from the NIST database2, Kramida et al. 2015), and πF is the solar spectral irradiance measured at Earth at the center of the HeI line, expressed in photons cm−2 s−1 nm−1. The solar irradiance is usually given integrated over the line. Therefore, we divide it by the line width (assumed to be a Gaussian):
(4)
where I is the solar irradiance (in W m−2), hν (= hc∕λ) is the energy of each photon, 103 is the conversion factor between W m−2 and erg cm−2 s−1, σ is the standard deviation of the Gaussian, and FWHM is the Full Width at Half Maximum of the Gaussian line. We assume a FWHM of 0.0136 nm (from Lallement et al. 2004).
To include the brightness of the lunar helium exosphere, we need to know the column density of helium atoms along LAMP’s line of sight from the spacecraft to infinity. We obtained this quantity by integrating the number of atoms from an exospheric helium model (Hurley et al. 2016) along the line of sight for the LAMP pointing in the SSE reference system (Fig. 1). The SSE reference system has the x axis pointing to the Sun, the z axis pointing to the ecliptic north pole, and the y axis completes the right-hand system. In this reference system, latitudes refer to selenographic latitudes, while the longitudes are angles from the subsolar point and can be thought of in terms of local time (where 1 h in local time corresponds to 15° in longitude). Finally, we converted the column density sampled by LAMP to Rayleighs using g-factors derived from SDO/EVE irradiances.
The changing flux of solar wind alpha particles dominates the source population for lunar helium (e.g. Hodges & Hoffman 1974). Therefore, the actual number of helium atoms in the lunar exosphere will vary due to fluctuations in the solar wind alpha particle flux. The model, which uses a fixed source rate of 8 × 106 He atoms s−1, must therefore be able to account for such variations. If the solar wind alpha particle flux doubles, so does the source rate of helium at the Moon, and thus the lunar helium population. To account for variations in the source rate of lunar helium, we took the solar wind alpha particle flux measured from the twin spacecraft ARTEMIS (Acceleration, Reconnection, Turbulence and Electrodynamics of Moon’s Interaction with the Sun; Angelopoulos 2011) from 2011-09-01 to 2015-11-26, and smoothed it by a running average with a 5-day exponential escape time constant, which represents the lifetime of helium on the Moon (Feldman et al. 2012). We then calculated the median of the ARTEMIS flux over this time period and scaled our model, for an observation at a given day, according to the ratio between the solar wind alpha particle flux at that day and the median (see Fig. 7). In this way our fixed-source code can simulate a changing solar wind alpha particles flux, by simply varying the total content of helium accordingly. The lunar helium brightness can now be added to the interstellar helium brightness model for comparison with the LAMP observations.
Figure 8 shows a light curve of the various sources discussed so far, for one particular observation. The black line is the net LAMP count rate (as explained in Sect. 2.3), which includes both the emission from the interstellar helium and the lunar helium foreground. The red line is the HeI brightness of the “modified cold model” estimated from the LAMP observational geometry. The purple line is the brightness of the lunar exosphere. Finally, the blue line is the best estimate for the interstellar helium brightness for a given observation, and is the sum of the “modified cold model” and the lunar helium’s foreground emission. Figures A.1–A.3 show the light curves for all 14 observations.
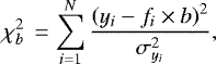
At this point we can compare LAMP brightness with the model+atmosphere to find the calibration factor (“calfactor”) between the LAMP count rate and the model. For every observation, we found where the following difference is minimal:
(5)
where yi is the observed count rate (black lines in Figs. A.1–A.3), b is the estimated “calfactor” derived for a given observation, fi are the values of model+atmosphere,
are the 1-sigma errors on the LAMP count rates (note that the error bars of Figs. A.1–A.3 are 3σ values), andi runs over the N time bins. For each of the 14 observations, we tested several values of b, within the range 0.01–3.00 Hz R−1 with steps of 0.01 Hz R−1. Once we find the best“calfactor” b for each of the 14 observations (Table C.1), we derive the weighed mean of all the 14 estimated calfactor values, that is 0.485 ± 0.014. For the estimated error, both fit uncertainties and propagation of uncertainties are taken into account (for further details on the statistical analysis, see Livadiotis 2007, 2014).
To see if LAMP observations are sensitive to a different inflow direction (Frisch et al. 2013) and to the “warm breeze” (Kubiak et al. 2016), we have further modified our “modified cold model” to include both a shift in ecliptic longitude and the brightness from the “warm breeze”. In the first case, we have produced interstellar helium brightness maps using the time-longitude relationship reported in Frisch et al. (2013): longitude = 70.6°+ 0.17° × (y − 1970), where y is the year of the observations (from 2012 to 2014). We have used the same density, velocity, and temperature of the “modified cold model”. To simulate the “warm breeze”, we have run a model with the upstream parameters listed in Kubiak et al. (2016), i.e. density 8.6 × 10−4 cm−3, temperature 9500 K, velocity 11.3km s−1, and upwind direction of 251.6°. We then have simply added the resulting sky brightness model to either our “modified cold model”or the “Frisch model”. The brightness of the warm breeze is predictably faint, ~3 R maximum (as a reference, the main interstellar helium population gives a maximum brightness of ~30 R).
![]() |
Fig. 7 Solar wind alpha particles flux measured by ARTEMIS and smoothed with a running average with a time decay constant of 5 days. The median value is the black horizontal line (8.6 × 108 cm−2 s−1), while the three vertical lines indicates the months when LAMP observations were made. |
![]() |
Fig. 8 Light curves for one specific observation. The vertical axis represents both counts s−1 and Rayleighs. Error bars are 3σ values. |
![]() |
Fig. 9 Left panel: light curves comparing LAMP calibrated measurements (black histograms) and the various models (colored lines), with inclusion of our best estimate of lunar exospheric helium foreground emission, for observations on 2012-12-15. Error bars are 3σ values. Right panel: contour plots of our “modified cold model” and LAMP’s slit field of view (whose width is enlarged by a factor of 3), color-coded by brightness (in Rayleighs) with the same color bar as the contour plot. The lunar exospheric helium brightness has been subtracted from LAMP brightness for direct comparison with the underlying contour plot of the model. For the unusual pointing of the first observation (slit almost fixed in the sky), the slits often overlap with each other; therefore, it’s impossible to associate each slit to the light curve on the left panel. The purple diamond is the downwind location of the “warm breeze” (Kubiak et al. 2016). |
![]() |
Fig. 12 Same as Fig. 9 but for day 2014-12-08. In computing the “calfactor” (indicated in the title of the left plots), we have removed the unusual “dip” in the last observations, at seconds ~1000 from the beginning, indicated by a red “x” in Fig. A.2. |
3 Results
In Figs. 9–15 we report the comparison between the LAMP observations and the models. The left panels show calibrated light curves of LAMP (black) and the models (colored lines): “modified cold model”, with (purple) and without (red) the “warm breeze”; the model resulting from the Frisch et al. (2013) direction, with (blue) and without (green) the “warm breeze”. To all the models we added the same lunar exospheric helium emission. The LAMP observationswere calibrated using the “calfactor” constrained by the “modified cold model”. The right panels show contour maps from the “modified cold model” sky brightness (in Rayleighs) and LAMP’s slit field of view (6° × 0.3°), calibrated in Rayleighs and with the lunar exospheric emission subtracted (for comparison with the contour plot). Both are color-coded according to the color bar on the right. LAMP’s slit width has been increased in size by a factor of 3 to enhance visibility. In the contour plots, a purple diamond shows the downwind location of the “warm breeze” (ecliptic longitude λ = 71.6°, ecliptic latitude β = 12°, according to Kubiak et al. 2016).
In the legend of the contour plots we report the flux of alpha particles from the solar wind impacting the Moon measured by ARTEMIS. As explained in Sect. 2.6, this flux is particularly important because the helium atoms on the Moon are mainly created by neutralization of solar wind alpha particles at the lunar surface: the greater the flux of alpha particles, the greater the column density of lunar helium and hence the foreground emission. For the same reason, we have included theMoon phase in the legend of the contour plots because when the Moon is in the Earth’s magnetotail (± 2 days from full moon), the solar wind has no access to the lunar surface, and the amount of lunar helium decreases with time (e.g. Feldman et al. 2012). None of the observations described here occurred in the ~4-day time period when the Moon is within the Earth’s magnetotail (Moon’s phase angle between 150° and 210°). To give a sense of the motion of LAMP’s slit across the sky the reader is referred to the right panels of Figs. B.1–B.5, where we used arrows (color-coded by time) to indicate the motion of the LAMP’s slit field of view from one 2-min bin to the next (the left panels of Figs. B.1–B.5 show other geometric parameters of interest, such as the sub-spacecraft latitude and longitude).
![]() |
Fig. 15 Same as Fig. 9 but for day 2014-12-12. In computing the “calfactor” (indicated in the title of the left plots), we have removed the unusual “dip” in the last observations, at seconds ~1000 from the beginning, as indicated by a red “x” in Fig. A.2. |
4 Discussion
Figures 9–15 show qualitatively good agreement for all observations, except for the set of 3 observations on 2012-12-15. These observations, shown in Fig. 9, were tailored to the lunar exospheric helium, and as such were the only ones with the direction of scan not parallel to the ecliptic latitude β or longitude λ. They are sensitive to the general area of the downwind focusing cone, and not specifically to a given latitude or longitude. In the top and bottom panels of Fig. 9, the light curve seen by LAMP is rather stable, not increasing with time as predicted by the models. In the middle panel, the overall trend of LAMP is similar to the model, i.e. slightly increasing with time. These observations had the highest solar wind alpha particles flux, as measured from ARTEMIS. Therefore, higher column densities (and hence, foreground emission) than in the rest of the observations are expected. It is possible that the high foreground diluted the tiny fluctuations predicted by the model.
All the remaining observations with direction of scan parallel to the ecliptic longitude are sensitive to the longitude of the downwind focusing cone. Since these scans occur at different ecliptic latitudes each time, when combined together they also are sensitive to the ecliptic latitude. The two observations in 2013-12-10 (Fig. 10) provide scans along the ecliptic latitude and longitude very close to the downwind focusing cone. Those observations were taken close to the “mini” solar wind maximum of Cycle 24 (Schwadron et al. 2014). The unusual brightness of the focusingcone was likely due to the effects of solar irradiance, as both were at their highest values observed in this analysis (green line in Fig. 5, left panel). The minimum and maximum of the predicted brightness on 2013-12-10 are observed by LAMP at the expected times. The remaining sets of observations (Figs. 11–15) all show longitudinal scans within ± 5° from the latitude of the downwind focusing cone. They show a good qualitative agreement between the model and the LAMP brightness, with a general decrease in brightness with time which is predicted by the model.
To further constrain the comparison between LAMP count rates and the brightness predicted by various models, we have computed the ratio between the last three points and the first three points of each scan, except for the 2 scans on 2013-12-10. In this way we are testing qualitatively the temporal variation of the LAMP brightness against that predicted by the model(s). This temporal trend (linear at first-order) appears to be present in all observations, except in that shown in Fig. 10, where the focusing cone is most pronounced. The ratio between the brightness of the first and last 3 bins is a proxy for the slope. For the two scans of 2013-12-10, since these do not present a linear variation, we took the ratio between three bins around the maximum and three bins around the minimum. Such ratios are reported in Table C.2.
The main conclusion is that, when we consider the error bars, the LAMP spectra cannot distinguish between the four scenarios. Therefore we can only conclude that LAMP observations are consistent with our “modified cold model”.
As the calibration of the LAMP instrument at HeI 58.4 nm was based on the earlier TIMED/SEE results, it isimportant to make sure that a switch in the solar He 58.4 nm data source to the SDO/EVE measurements is accompanied by a change in the LAMP calibration, previously listed as 0.75 Hz R−1 (Feldman et al. 2012). We now recommend using a value of 0.485 ± 0.014 Hz R−1 for interpretation of LRO/LAMP helium measurements.
Uncertainties in our model. Our model does not include electron impact ionization of helium atoms, which Rucinski & Fahr 1989 showed to be important to properly interpret the HeI 58.4 nm observations taken in the inner heliosphere (for Earth or Venus orbits). Even though electron impact ionization was not included in the models presented in this paper, we are exploring the process in some versions of our helium models to be used in looking at Galileo or Cassini helium data obtained near Venus. Examination of Fig. 1 of Bzowski et al. (2013) suggests that at 1 AU from the Sun, where LAMP is located, electron-impact helium loss rates are less than 10% of the photoionization. Electron impact losses are expected to have even less relative importance when looking at greater distances from the Sun (Möbius et al. 2004): LAMP is always looking outside 1 AU. This suggests that neglecting electron-impact ionization should not greatly distort the flow longitude of the 58.4 nm emission. Finally, there remain large uncertainties in the absolute values that come from the model. Absolute UV brightnesses on planetary instruments are good to about a factor of two at Lyman-alpha and below (Ajello et al. 1987). Therefore, a model designed to fit those data will also have an uncertainty of the same magnitude, with contributions to the error from uncertainties in the changing EUV solar line, the changing line shape, and uncertainties in the density, temperature, and velocity used in the model. The helium model adapted from Ajello (1978) is expected to fit relative variations considerably better. Ajello (1978) found that his model fit Mariner 10 helium 58.4 nm signal spatial variations across the sky in a single day’s data with an root-mean-square fit of model to data of less than 20%. Pryor et al. (2014) found similar levels of agreement in fitting Galileo helium 58.4 nm data both from a single day’s observation and in fitting time-series observations.
5 Conclusions
The LAMP FUV-EUV imaging spectrograph on board the LRO spacecraft performed spectroscopic observations of the HeI emission line 58.4 nm close to the downwind focusing cone of the interstellar medium, with the goals of better constraining LAMP’s sensitivity at EUV wavelengths, where stellar calibration is not possible, and testing our “modified cold model” (Ajello 1978; Frisch et al. 2013; Pryor et al. 2013) of helium distribution in the heliosphere. We further compared LAMP observations with a interstellar helium brightness model that uses a different location of the downwind focusing cone We also added to these models the brightness that would arise from the newly discovered “warm breeze” (Bzowski et al. 2012, 2017; Kubiak et al. 2014, 2016), a population of interstellar helium atoms which is warmer, slower, and less dense than the main population, to see if its signature would be detectable by LAMP.
While a direct comparison is difficult, due to varying levels of contamination from lunar exospheric helium (which we removed using a standard exospheric helium model scaled according to the variations of the solar wind alpha particles flux, the main source of lunar helium), the LAMP spectra and the “modified cold model” are in good agreement, except for few observations obtained on one single day (2012-12-15). Our “modified cold model” can then be applied to other UV spectrographs, such as Phebus on BepiColombo (Chassefière et al. 2010), which will observe the interstellar helium during the 7-yr flight to Mercury. However, LAMP data could not distinguish between our “modified cold model” and the model which includes a change over time of the location of the interstellar wind through the solar system proposed by Frisch et al. (2013). The 2D morphology generated by the latter turned out to be too similar to the morphology of our “modified cold model” for LAMP to distinguish between the two. The results are consistent with the most recent analyses of the interstellar flow with IBEX and Ulysses, which indicate that the flow direction has remained stable over the past 20 yr, but that the temperature is higher than obtained before (McComas et al. 2015a,b and references therein). Also, the secondary helium population (the “warm breeze”) could not be disentangled from the main population. We show that the sensitivity of the TIMED/SEE instrument (whose solar irradiances were previously used to calibrate LAMP spectra at the HeI wavelength) is decreasing with time (Figs. 5 and 6). We used the solar FUV irradiances from the more stable SDO/EVE instrument to derive the lunar helium foreground emission and the brightness of the interstellar helium. For lack of a preferred interstellar helium brightness model, use our “modified cold model” (without “warm breeze”) to calibrate the LAMP sensitivity at 58.4 nm. The refined value of LAMP’s sensitivity at 58.4 nm is 0.485 ± 0.014 Hz R−1 (referred to 20 rows).
These observations suggest that the lunar or cislunar space is an appropriate vantage point to carry out spectroscopic observationsnot only of the interstellar helium focusing cone, but also of interstellar hydrogen, using the much brighter (~100 times) Lyman-alpha emission line (at 121.6 nm). A sensitive FUV spectrograph specifically tailored to such a purpose could be placed in lunar orbit. Pointing the spectrograph away from the lunar surface during the night half of the orbit results in a spectrum of the downwind focusing cone unimpeded by the lunar exospheric helium emission and the geocorona. In the future, such a telescope could be placed on the surface on the far side of the Moon.
Acknowledgements
We thank the LRO MOC team, in particular David E. Kaufmann and Dawn C. Myers, for helping planning these observations, Jasper S. Halekas, for providing us the ARTEMIS data, and the reviewer, Eberhard Möbius, for providing insightful suggestions on the manuscript. Cesare Grava wishes to thank Eric J. Zirnstein and Anthony DeStefano for insightful discussions about the “warm breeze”. LAMP is funded by NASA under contract NNG05EC87C, whose financial support we gratefully acknowledge.
Appendix A LAMP light curves
Figures A.1–A.3 show the light curves of our observations. The black line is LAMP light curve in counts s−1 (or Hz) with the “pedestal” removed, as explained in Sect. 2.6. The error bars represent 3σ uncertainties. The “pedestal” for each spectrum is indicated in the legend. The red line is the prediction of the
interstellar helium brightness (for the corresponding geometry) from our “modified cold model”, in Rayleighs (R). The purple line is the prediction of lunar foreground helium emission in R. The blue line is the sum of the latter two, i.e. the best prediction of what the interstellar helium brightness would be for that observation. The red crosses indicate bins that have been removed from the computation of the “calfactor”.
![]() |
Fig. A.1 First group of light curves plots. |
![]() |
Fig. A.2 Second group of light curves plots. |
![]() |
Fig. A.3 Last group of light curves plots. |
Appendix B LAMP geometry
Figures B.1–B.5 provide a geometry context for the LAMP observations. Left panels show: the LAMP brightness (black solid line with error bars) in Rayleighs (calibrated using the “calfactor” obtained from the “modified cold model”, reported on the title of the plots); the brightness predicted from the “modified cold model” plus the foreground atmosphere contribution (black dashed histogram) in Rayleighs; the sub-spacecraft solar local time in hours (dashed gray) and, on the right y axis, the sub-spacecraft latitude (solid blue) and the West longitude (dashed blue), both in degrees. The right panels show the contour plot of the interstellar helium brightness from our “modified cold model”, the downwind location of the “warm breeze” (blue diamond) and the direction of LAMP line of sight, as arrows colored according to the elapsed time, with the color bar on the right. In most of the observations, the arrows reverse orientation during the scan, indicating a change in the direction of motion of LAMP’s line of sight.
![]() |
Fig. B.1 First group of selenographic light curves plots. |
![]() |
Fig. B.2 Second group of selenographic light curves plots. |
![]() |
Fig. B.3 Third group of selenographic light curves plots. |
![]() |
Fig. B.4 Fourth group of selenographic light curves plots. |
![]() |
Fig. B.5 Last group of selenographic light curves plots. |
Appendix C Additional tables
Files used, with time of observations (in UT), and their calibration factors.
Ratio of light curves (last three bins/first three bins except for those denoted with*) for LAMP observations (with 1σ errors), our “modified cold model” (M) and the “Frisch model” (F), both with and without the “warm breeze” (wb).
References
- Acton, C. H. 1996, Planet. Space Sci., 44, 65 [NASA ADS] [CrossRef] [Google Scholar]
- Ajello, J. M. 1978, ApJ, 222, 1068 [NASA ADS] [CrossRef] [Google Scholar]
- Ajello, J. M., Witt, N., & Blum, P. W. 1979, A&A, 73, 260 [NASA ADS] [Google Scholar]
- Ajello, J. M., Stewart, A. I., Thomas, G. E., & Graps, A. 1987, ApJ, 317, 964 [NASA ADS] [CrossRef] [Google Scholar]
- Angelopoulos, V. 2011, Space Sci. Rev., 165, 3 [NASA ADS] [CrossRef] [Google Scholar]
- Baker, D. J., & Romick, G. J. 1976, Appl. Opt., 15, 1966 [NASA ADS] [CrossRef] [Google Scholar]
- Barth, C. A. 1969, Appl. Opt., 8, 1295 [NASA ADS] [CrossRef] [Google Scholar]
- Bertaux, J. L., & Blamont, J. E. 1971, A&A, 11, 200 [NASA ADS] [Google Scholar]
- Bertaux, J.-L., & Lallement, R. 2015, J. Phys. Conf. Ser., 577, 012004 [CrossRef] [Google Scholar]
- Bouwer, S., Bailey, J. J., & Tobiska, W. 2011, AGU Fall Meeting Abstracts, GC23A-0926 [Google Scholar]
- Broadfoot, A. L., & Kumar, S. 1978, ApJ, 222, 1054 [NASA ADS] [CrossRef] [Google Scholar]
- Bzowski, M., Kubiak, M. A., Möbius, E., et al. 2012, ApJS, 198, 12 [NASA ADS] [CrossRef] [Google Scholar]
- Bzowski, M., Sokół, J. M., Kubiak, M. A., & Kucharek, H. 2013, A&A, 557, A50 [NASA ADS] [CrossRef] [EDP Sciences] [Google Scholar]
- Bzowski, M., Kubiak, M. A., Czechowski, A., & Grygorczuk, J. 2017, ApJ, 845, 15 [NASA ADS] [CrossRef] [Google Scholar]
- Chassefière, E., Maria, J.-L., Goutail, J.-P., et al. 2010, Planet. Space Sci., 58, 201 [NASA ADS] [CrossRef] [Google Scholar]
- Chin, G., Brylow, S., Foote, M., et al. 2007, Space Sci. Rev., 129, 391 [NASA ADS] [CrossRef] [Google Scholar]
- Cook, J. C., & Stern, S. 2014, Icarus, 236, 48 [NASA ADS] [CrossRef] [Google Scholar]
- Dalaudier, F., Bertaux, J. L., Kurt, V. G., & Mironova, E. N. 1984, A&A, 134, 171 [NASA ADS] [Google Scholar]
- Davis, M. W., Gladstone, G. R., Versteeg, M. H., et al. 2011, Proc. SPIE, 8146, 814603 [CrossRef] [Google Scholar]
- Del Zanna, G., & Andretta, V. 2015, A&A, 584, A29 [NASA ADS] [CrossRef] [EDP Sciences] [Google Scholar]
- Drews, C., Berger, L., Wimmer-Schweingruber, R. F., et al. 2012, J. Geophys. Res. Space Phys., 117, A09106 [NASA ADS] [CrossRef] [Google Scholar]
- Fahr, H. J. 1991, A&A, 241, 251 [NASA ADS] [Google Scholar]
- Feldman, P. D., Hurley, D. M., Retherford, K. D., et al. 2012, Icarus, 221, 854 [NASA ADS] [CrossRef] [Google Scholar]
- Flynn, B., Vallerga, J., Dalaudier, F., & Gladstone, G. R. 1998, J. Geophys. Res., 103, 6483 [NASA ADS] [CrossRef] [Google Scholar]
- Frisch, P. C., Bzowski, M., Livadiotis, G., et al. 2013, Science, 341, 1080 [NASA ADS] [CrossRef] [Google Scholar]
- Frisch, P. C., Bzowski, M., Drews, C., et al. 2015, ApJ, 801, 61 [NASA ADS] [CrossRef] [Google Scholar]
- Fuselier, S. A., Bochsler, P., Chornay, D., et al. 2009, Space Sci. Rev., 146, 117 [NASA ADS] [CrossRef] [Google Scholar]
- Gershman, D. J., Gloeckler, G., Gilbert, J. A., et al. 2013, J. Geophys. Res. Space Phys., 118, 1389 [NASA ADS] [CrossRef] [Google Scholar]
- Gladstone, G. R., Stern, S. A., Retherford, K. D., et al. 2010, Space Sci. Rev., 150, 161 [NASA ADS] [CrossRef] [Google Scholar]
- Gladstone, G. R., Retherford, K. D., Egan, A. F., et al. 2012, J. Geophys. Res. Planets, 117, E00H04 [CrossRef] [Google Scholar]
- Gloeckler, G., Cain, J., Ipavich, F. M., et al. 1998, Space Sci. Rev., 86, 497 [NASA ADS] [CrossRef] [Google Scholar]
- Gloeckler, G., Möbius, E., Geiss, J., et al. 2004, A&A, 426, 845 [NASA ADS] [CrossRef] [EDP Sciences] [Google Scholar]
- Grava, C., Retherford, K. D., Hurley, D. M., et al. 2016, Icarus, 273, 36 [NASA ADS] [CrossRef] [Google Scholar]
- Hendrix, A. R., Retherford, K. D., Randall Gladstone, G., et al. 2012, J. Geophys. Res. Planets, 117, E12001 [Google Scholar]
- Hodges, Jr. R. R., & Hoffman, J. H. 1974, Geophys. Res. Lett., 1, 69 [NASA ADS] [CrossRef] [Google Scholar]
- Hunten, D. M., Roach, F. E., & Chamberlain, J. W. 1956, J. Atmos. Terr. Phys., 8, 345 [NASA ADS] [CrossRef] [Google Scholar]
- Hurley, D. M., Cook, J. C., Benna, M., et al. 2016, Icarus, 273, 45 [NASA ADS] [CrossRef] [Google Scholar]
- Killen, R. M., Potter, A., Fitzsimmons, A., & Morgan, T. H. 1999, Planet. Space Sci., 47, 1449 [NASA ADS] [CrossRef] [Google Scholar]
- Kramida, A., Yu. R., Reader, J., & NIST ASD Team. 2015, NIST Atomic Spectra Database (v 5.3), http://physics.nist.gov/asd [Google Scholar]
- Kubiak, M. A., Bzowski, M., Sokół, J. M., et al. 2014, ApJS, 213, 29 [NASA ADS] [CrossRef] [Google Scholar]
- Kubiak, M. A., Swaczyna, P., Bzowski, M., et al. 2016, ApJS, 223, 25 [NASA ADS] [CrossRef] [Google Scholar]
- Lallement, R., & Bertaux, J. L. 2014, A&A, 565, A41 [NASA ADS] [CrossRef] [EDP Sciences] [Google Scholar]
- Lallement, R., Raymond, J. C., Vallerga, J., et al. 2004, A&A, 426, 875 [NASA ADS] [CrossRef] [EDP Sciences] [Google Scholar]
- Livadiotis, G. 2007, Phys. A Stat. Mech. Appl., 375, 518 [CrossRef] [Google Scholar]
- Livadiotis, G. 2014, J. Stat. Distrib. Appl., 1, 4 [CrossRef] [Google Scholar]
- McComas, D. J., Allegrini, F., Bochsler, P., et al. 2009, Space Sci. Rev., 146, 11 [NASA ADS] [CrossRef] [Google Scholar]
- McComas, D. J., Alexashov, D., Bzowski, M., et al. 2012, Science, 336, 1291 [NASA ADS] [CrossRef] [Google Scholar]
- McComas, D. J., Bzowski, M., Frisch, P., et al. 2015a, ApJ, 801, 28 [NASA ADS] [CrossRef] [Google Scholar]
- McComas, D. J., Bzowski, M., Fuselier, S. A., et al. 2015b, ApJS, 220, 22 [NASA ADS] [CrossRef] [Google Scholar]
- McMullin, D. R., Bzowski, M., Möbius, E., et al. 2004, A&A, 426, 885 [NASA ADS] [CrossRef] [EDP Sciences] [Google Scholar]
- Meier, R. R. 1991, Space Sci. Rev., 58, 1 [NASA ADS] [CrossRef] [Google Scholar]
- Meier, R. R., & Weller, C. S. 1972, J. Geophys. Res., 77, 1190 [NASA ADS] [CrossRef] [Google Scholar]
- Möbius, E., Rucinski, D., Hovestadt, D., & Klecker, B. 1995, A&A, 304, 505 [NASA ADS] [Google Scholar]
- Möbius, E., Bzowski, M., Chalov, S., et al. 2004, A&A, 426, 897 [NASA ADS] [CrossRef] [EDP Sciences] [Google Scholar]
- Möbius, E., Bochsler, P., Bzowski, M., et al. 2009a, Science, 326, 969 [NASA ADS] [CrossRef] [Google Scholar]
- Möbius, E., Kucharek, H., Clark, G., et al. 2009b, Space Sci. Rev., 146, 149 [NASA ADS] [CrossRef] [Google Scholar]
- Möbius, E., Bochsler, P., Bzowski, M., et al. 2012, ApJS, 198, 11 [NASA ADS] [CrossRef] [Google Scholar]
- Nakagawa, H., Bzowski, M., Yamazaki, A., et al. 2008, A&A, 491, 29 [NASA ADS] [CrossRef] [EDP Sciences] [Google Scholar]
- Paresce, F., Bowyer, S., & Kumar, S. 1974, ApJ, 187, 633 [NASA ADS] [CrossRef] [Google Scholar]
- Park, J., Kucharek, H., Möbius, E., et al. 2015, ApJS, 220, 34 [NASA ADS] [CrossRef] [Google Scholar]
- Park, J., Kucharek, H., Möbius, E., et al. 2016, ApJ, 833, 130 [NASA ADS] [CrossRef] [Google Scholar]
- Pryor, W. R., Holsclaw, G. M., McClintock, W. E., et al. 2013, Cross-Calibration of Far UV Spectra of Solar System Objects and the Heliosphere, eds. E. Quémerais, M. Snow, & R.-M. Bonnet (New York: Springer), 163 [Google Scholar]
- Pryor, W. R., Simmons, K. E., Ajello, J. M., et al. 2014, Fall Meeting Abstracts, Am. Geophys. Union, SH11C-4057 [Google Scholar]
- Rucinski, D., & Fahr, H. J. 1989, A&A, 224, 290 [NASA ADS] [Google Scholar]
- Scherer, K., Fichtner, H., Fahr, H.-J., Bzowski, M., & Ferreira, S. E. S. 2014, A&A, 563, A69 [NASA ADS] [CrossRef] [EDP Sciences] [Google Scholar]
- Schwadron, N. A., Goelzer, M. L., Smith, C. W., et al. 2014, J. Geophys. Res. Space Phys., 119, 1486 [Google Scholar]
- Stern, S. A., Slater, D. C., Scherrer, J., et al. 2008, Space Sci. Rev., 140, 155 [NASA ADS] [CrossRef] [Google Scholar]
- Stern, S. A., Retherford, K. D., Tsang, C. C. C., et al. 2012, Geophys. Res. Lett., 39, L12202 [NASA ADS] [CrossRef] [Google Scholar]
- Thomas, G. E., & Krassa, R. F. 1971, A&A, 11, 218 [NASA ADS] [Google Scholar]
- Vallerga, J., Lallement, R., Lemoine, M., Dalaudier, F., & McMullin, D. 2004, A&A, 426, 855 [NASA ADS] [CrossRef] [EDP Sciences] [Google Scholar]
- Weller, C. S., & Meier, R. R. 1974, ApJ, 193, 471 [NASA ADS] [CrossRef] [Google Scholar]
- Weller, C. S., & Meier, R. R. 1981, ApJ, 246, 386 [NASA ADS] [CrossRef] [Google Scholar]
- Witte, M., Banaszkiewicz, M., Rosenbauer, H., & McMullin, D. 2004, Adv. Space Res., 34, 61 [NASA ADS] [CrossRef] [Google Scholar]
- Woods, T. N., Eparvier, F. G., Bailey, S. M., et al. 2005, J. Geophys. Res. Space Phys., 110, A01312 [NASA ADS] [CrossRef] [Google Scholar]
- Woods, T. N., Eparvier, F. G., Hock, R., et al. 2012, Sol. Phys., 275, 115 [Google Scholar]
- Yamazaki, A., Yoshikawa, I., Shiomi, K., et al. 2006, J. Geophys. Res. Space Phys., 111, A06106 [NASA ADS] [CrossRef] [Google Scholar]
NIST Atomic Spectra Database (ver. 5.3), http://physics.nist.gov/asd
All Tables
Ratio of light curves (last three bins/first three bins except for those denoted with*) for LAMP observations (with 1σ errors), our “modified cold model” (M) and the “Frisch model” (F), both with and without the “warm breeze” (wb).
All Figures
![]() |
Fig. 1 Geometry of one of the LAMP observations (not to scale). xSSE, xSSE, and xSSE define the Selenographic Solar Ecliptic (SSE) coordinate system. The view is from the ecliptic north pole. |
| In the text | |
![]() |
Fig. 2 Contour map of the brightness of the HeI 58.4 nm emission line as calculated from our “modified cold model” for 2014-09-11. The (bigger) black dot at ecliptic longitude ~170° is the Sun. The scheme on the right of the figure depicts the geometry in the ecliptic plane, with the arrow representing the heliospheric flow direction; u = upwind direction; d = downwind direction; S = Sun; E = Earth (observer vantage point). The parameters used in this model are: downwind direction ecliptic lat. and long.: 75.4° and –5.2°; density, temperature, and velocity at infinity: 0.015 cm−3, 7440 K, and 25.4 km s−1. Contour levels are separated by 0.5 Rayleighs (R) up to 5 R, then 5 R separation. |
| In the text | |
![]() |
Fig. 3 Contour map of the brightness of the HeI 58.4 nm emission line as calculated from our “modified cold model” for day 335 of 2014 (Dec. 1, 2014). The color scaling is the same as in Fig. 2. The black dot at ecliptic longitude ~250° is the Sun. |
| In the text | |
![]() |
Fig. 4 Left panel: spectrum of sky observation (black), the pileup noise (red), and their difference (green). Right panel: the “scaled difference” (i.e. the green line in the left plot minus its average within the blue vertical lines) and its Gaussian fit (orange line). |
| In the text | |
![]() |
Fig. 5 Solar irradiances measured at 58.4 nm from two different instruments (SDO/EVE, on the left, and TIMED/SEE, on the right) during 5 yr. |
| In the text | |
![]() |
Fig. 6 Ratio of the irradiances measured by two instruments from 2011 to 2015: SDO/TIMED. It is evident the progressive decrease of TIMED/SEE sensitivity compared to that of SDO/EVE over time. |
| In the text | |
![]() |
Fig. 7 Solar wind alpha particles flux measured by ARTEMIS and smoothed with a running average with a time decay constant of 5 days. The median value is the black horizontal line (8.6 × 108 cm−2 s−1), while the three vertical lines indicates the months when LAMP observations were made. |
| In the text | |
![]() |
Fig. 8 Light curves for one specific observation. The vertical axis represents both counts s−1 and Rayleighs. Error bars are 3σ values. |
| In the text | |
![]() |
Fig. 9 Left panel: light curves comparing LAMP calibrated measurements (black histograms) and the various models (colored lines), with inclusion of our best estimate of lunar exospheric helium foreground emission, for observations on 2012-12-15. Error bars are 3σ values. Right panel: contour plots of our “modified cold model” and LAMP’s slit field of view (whose width is enlarged by a factor of 3), color-coded by brightness (in Rayleighs) with the same color bar as the contour plot. The lunar exospheric helium brightness has been subtracted from LAMP brightness for direct comparison with the underlying contour plot of the model. For the unusual pointing of the first observation (slit almost fixed in the sky), the slits often overlap with each other; therefore, it’s impossible to associate each slit to the light curve on the left panel. The purple diamond is the downwind location of the “warm breeze” (Kubiak et al. 2016). |
| In the text | |
![]() |
Fig. 10 Same as Fig. 9 but for day 2013-12-10. |
| In the text | |
![]() |
Fig. 11 Same as Fig. 9 but for day 2014-12-07. |
| In the text | |
![]() |
Fig. 12 Same as Fig. 9 but for day 2014-12-08. In computing the “calfactor” (indicated in the title of the left plots), we have removed the unusual “dip” in the last observations, at seconds ~1000 from the beginning, indicated by a red “x” in Fig. A.2. |
| In the text | |
![]() |
Fig. 13 Same as Fig. 9 but for day 2014-12-09. |
| In the text | |
![]() |
Fig. 14 Same as Fig. 9 but for day 2014-12-10. |
| In the text | |
![]() |
Fig. 15 Same as Fig. 9 but for day 2014-12-12. In computing the “calfactor” (indicated in the title of the left plots), we have removed the unusual “dip” in the last observations, at seconds ~1000 from the beginning, as indicated by a red “x” in Fig. A.2. |
| In the text | |
![]() |
Fig. A.1 First group of light curves plots. |
| In the text | |
![]() |
Fig. A.2 Second group of light curves plots. |
| In the text | |
![]() |
Fig. A.3 Last group of light curves plots. |
| In the text | |
![]() |
Fig. B.1 First group of selenographic light curves plots. |
| In the text | |
![]() |
Fig. B.2 Second group of selenographic light curves plots. |
| In the text | |
![]() |
Fig. B.3 Third group of selenographic light curves plots. |
| In the text | |
![]() |
Fig. B.4 Fourth group of selenographic light curves plots. |
| In the text | |
![]() |
Fig. B.5 Last group of selenographic light curves plots. |
| In the text | |
Current usage metrics show cumulative count of Article Views (full-text article views including HTML views, PDF and ePub downloads, according to the available data) and Abstracts Views on Vision4Press platform.
Data correspond to usage on the plateform after 2015. The current usage metrics is available 48-96 hours after online publication and is updated daily on week days.
Initial download of the metrics may take a while.






















