Free Access

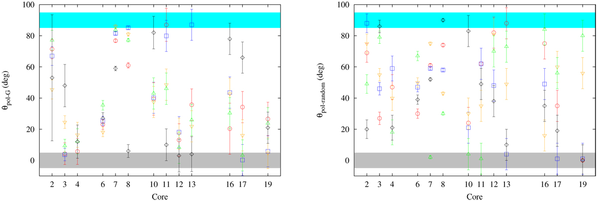
Fig. 8

image

Left panel: difference between polarization angles θpol and position angles of the total gradients θG for each core (N2D+ – red circles, N2H+ – blue squares, DCO+ – orange flipped triangles, H13CO+ – green triangles, and C18O – black diamonds). Right panel: difference between θpol and a set of random angles θrandom from 0 to 90°. Grey strip corresponds to parallel directions ± 10°; cyan strip corresponds to perpendicular directions ± 10°.

Current usage metrics show cumulative count of Article Views (full-text article views including HTML views, PDF and ePub downloads, according to the available data) and Abstracts Views on Vision4Press platform.

Data correspond to usage on the plateform after 2015. The current usage metrics is available 48-96 hours after online publication and is updated daily on week days.

Initial download of the metrics may take a while.