Free Access

Fig. 8

image

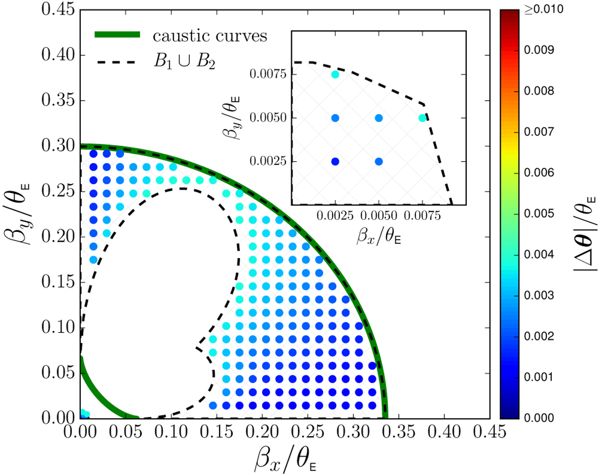
Grid of sources β located inside the region B1B2 for the NIE with (θc, ϵ) = (0.1 θE, 0.15). The inner (resp. outer) green line represents the tangential (resp. radial) caustic curve. The color-coding refers to the offsets |Δ θ |∕θE between the lensed images θ of the sources β and the lensed images of the SPT-modified sources .

Current usage metrics show cumulative count of Article Views (full-text article views including HTML views, PDF and ePub downloads, according to the available data) and Abstracts Views on Vision4Press platform.

Data correspond to usage on the plateform after 2015. The current usage metrics is available 48-96 hours after online publication and is updated daily on week days.

Initial download of the metrics may take a while.