Free Access

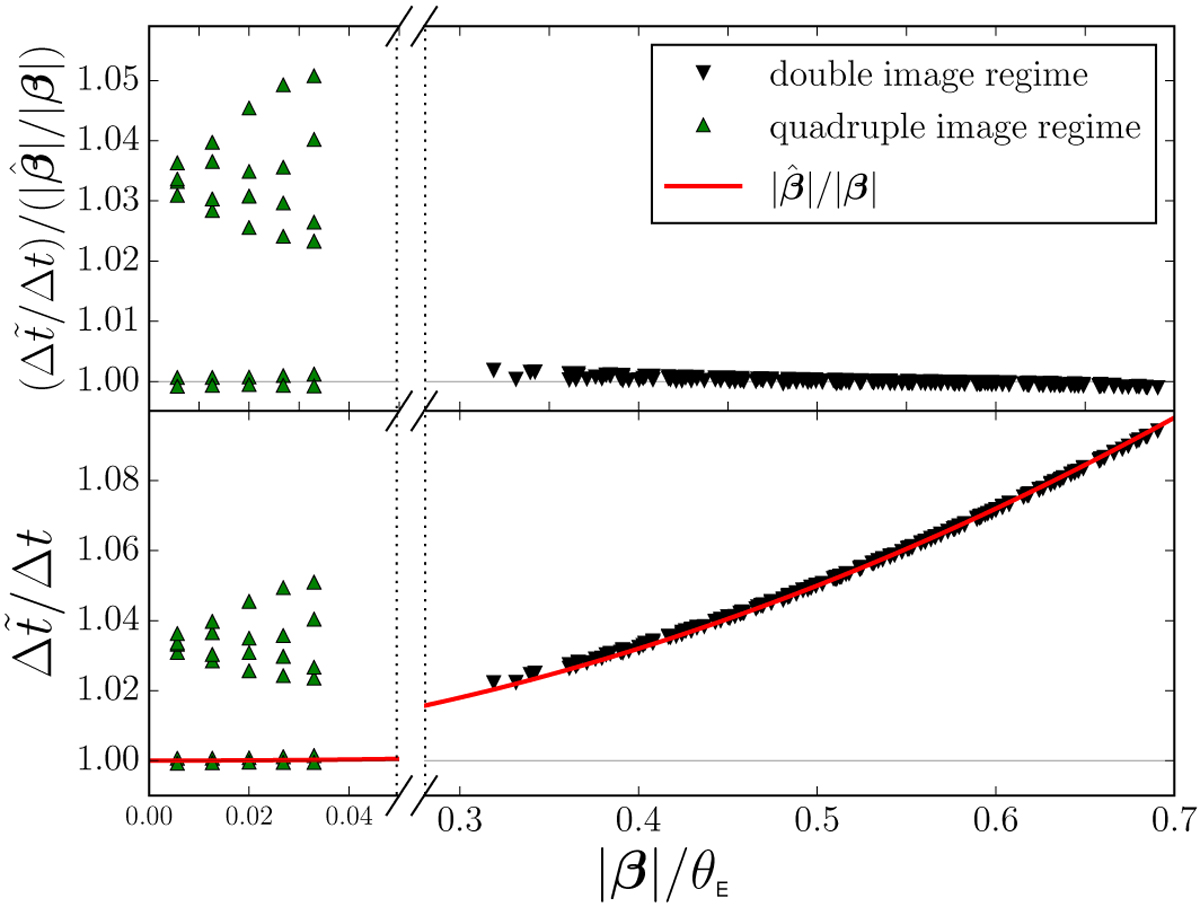
Fig. 9

image

Time delay ratios of image pairs between the NISg and the corresponding SPT-modified model. The model parameters are (θc, γp) = (0.1 θE, 0.1) and the radial stretching is characterized by f2 = 0.4. Top panel: normalized by the ratio is close to 1 in the double image regime and for opposite images in the quadruple image regime. Bottom panel: the impact of the SPT on the time delays is around a few percent, reaching a maximum of 12% for the particular case of a source located almost on the radial caustic curve but still inside B2.

Current usage metrics show cumulative count of Article Views (full-text article views including HTML views, PDF and ePub downloads, according to the available data) and Abstracts Views on Vision4Press platform.

Data correspond to usage on the plateform after 2015. The current usage metrics is available 48-96 hours after online publication and is updated daily on week days.

Initial download of the metrics may take a while.