Open Access

Fig. 6

image

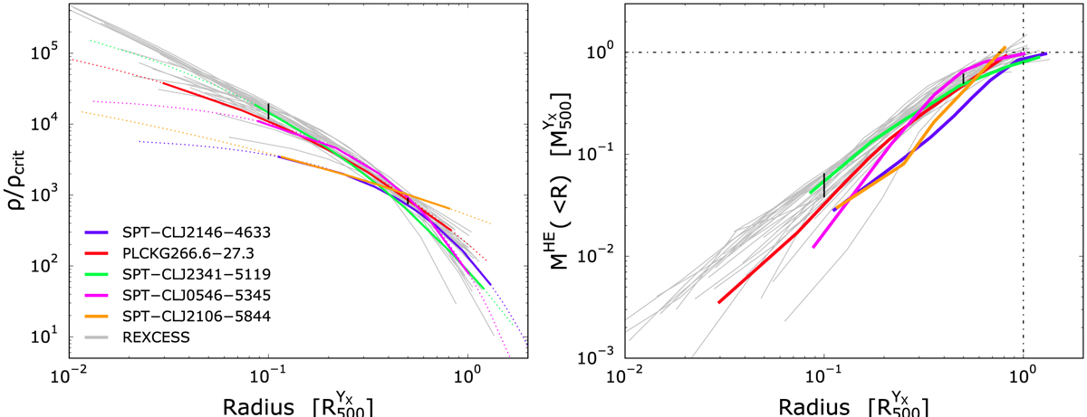
Left panel: scaled total density profiles computed using the mass profiled derived from the DF Einasto model. For each cluster, the total radial range is that of the combined density profile; estimates beyond the radial range covered by temperature measurements are marked with dotted lines. The grey lines represent the scaled total density profiles derived from the REXCESS sample. Right panel: scaled mass profiles. The colour scheme is the same as in the left panel. The black error bars in both panels represent the 68% dispersion of the REXCESS profiles at 0.1 and 0.5 .

Current usage metrics show cumulative count of Article Views (full-text article views including HTML views, PDF and ePub downloads, according to the available data) and Abstracts Views on Vision4Press platform.

Data correspond to usage on the plateform after 2015. The current usage metrics is available 48-96 hours after online publication and is updated daily on week days.

Initial download of the metrics may take a while.