| Issue |
A&A
Volume 617, September 2018
|
|
|---|---|---|
| Article Number | A94 | |
| Number of page(s) | 7 | |
| Section | Interstellar and circumstellar matter | |
| DOI | https://doi.org/10.1051/0004-6361/201832691 | |
| Published online | 21 September 2018 | |
The nature of molecular cloud boundary layers from SOFIA [O I] observations
1
Jet Propulsion Laboratory, California Institute of Technology,
4800 Oak Grove Drive,
Pasadena,
CA
91109,
USA
e-mail: This email address is being protected from spambots. You need JavaScript enabled to view it.
2
SOFIA-USRA, NASA Ames Research Center,
MS 232-12,
Moffett Field,
CA
94035-0001,
USA
3
I. Physikalisches Institut der Universität zu Köln,
Zülpicher Strasse 77,
50937
Köln,
Germany
4
DLR, Institut für Optische Sensorsysteme,
Rutherfordstraße 2,
12489
Berlin-Adlershof,
Germany
Received:
23
January
2018
Accepted:
13
July
2018
Abstract
Context. Dense highly ionized boundary layers (IBLs) outside of the neutral Photon Dominated Regions (PDRs) have recently been detected via the 122 and 205 μm transitions of ionized nitrogen. These layers have higher densities than in the Warm Ionized Medium (WIM) but less than typically found in H II regions. Observations of [C II] emission, which is produced in both the PDR and IBL, do not fully define the characteristics of these sources. Observations of additional probes which just trace the PDRs, such as the fine structure lines of atomic oxygen, are needed derive their properties and distinguish among different models for [C II] and [N II] emissison.
Aims. We derive the properties of the PDRs adjacent to dense highly ionized boundary layers of molecular clouds.
Methods. We combine high-spectral resolution observations of the 63 μm [O I] fine structure line taken with the upGREAT HFA-band instrument on SOFIA with [C II] observations to constrain the physical conditions in the PDRs. The observations consist of samples along four lines of sight (LOS) towards the inner Galaxy containing several dense molecular clouds. We interpret the conditions in the PDRs using radiative transfer models for [C II] and [O I].
Results. We have a 3.5-σ detection of [O I] toward one source but only upper limits towards the others. We use the [O I] to [C II] ratio, or their upper limits, and the column density of C+ to estimate the thermal pressure, Pth, in these PDRs. In two LOS the thermal pressure is likely in the range 2–5 × 105 in units of K cm−3, with kinetic temperatures of order 75–100 K and H2 densities, n(H2) ~ 2–4 × 103 cm−3. For the other two sources, where the upper limits on [O I] to [C II] are larger, Pth ≲105 (K cm−3). We have also used PDR models that predict the [O I] to [C II] ratio, along with our observations of this ratio, to limit the intensity of the Far UV radiation field.
Conclusions. The [C II] and [N II] emission with either weak, or without any, evidence of [O I] indicates that the source of dense highly ionized gas traced by [N II] most likely arises from the ionized boundary layers of clouds rather than from H II regions.
Key words: ISM: clouds / ISM: atoms / ISM: structure
© ESO 2018
1 Introduction
In an interstellar cloud the spatial transition from atomic to molecular gas takes place in photon dominated regions (PDRs; see reviews by Hollenbach & Tielens 1997, 1999), which are also a source of a significant fraction of the far-infrared emission from the Milky Way and other galaxies. Exterior to the PDRs the gas makes the transition from neutral to ionized hydrogen. The ionized gas can take the form of a low density ionized boundary layer (IBL) in the case of weak UV fields, or a dense H II region in the proximity to a strong UV field arising from massive star formation. PDRs and H II regions are the boundary regions where the effects of star formation on molecular clouds manifest themselves. They have been the focus of a considerable modeling effort (see Tielens & Hollenbach 1985; Sternberg & Dalgarno 1989; Kaufman et al. 1999; Abel et al. 2005; Le Petit et al. 2006; Bron et al. 2018, and references therein). The observational analysis of PDRs, H II regions, and IBLs has improved considerably since the availability of far-infrared spectroscopic data from the Herschel Space Observatory (see Ossenkopf et al. 2013; Köhler et al. 2014; Stock et al. 2015; Joblin et al. 2018; Wu et al. 2018, and references therein) and the Stratospheric Observatory for Infrared Astronomy (SOFIA; e.g., Schneider et al. 2012; Pérez-Beaupuits et al. 2015; Pabst et al. 2017; Mookerjea et al. 2018). Most of these studies of the ionized and PDR layers have focused on very bright H II regions where high UV flux, density, and temperature produce strong far-infrared emission, making such regions easily observable in key gas tracers such as the fine-structure lines of C+, N+, and O. Less is known about the IBL–PDR conditions for typical molecular clouds where the UV field is smaller and, thus, the lines are weaker. The Herschel Space Observatory HIFI GOT C+ survey (Langer et al. 2010; Pineda et al. 2013) took a step in studying molecular cloud PDRs and IBLs in that it sampled [C II] along several hundred lines of sight (LOS) in the Galaxy producing an unbiased database of a few thousand clouds of various evolutionary stages with most LOS not containing H II regions as indicated by weak [C II] emission. However, because [C II] samples both weakly and highly ionized regions, there remains some uncertainty about the relative contributions of the ionized and PDR regions. Furthermore, because [C II] has only one fine-structure transition one cannot solve uniquely for the properties of the gas. For the GOT C+ survey Langer et al. (2014) derived the column density of material traced by [C II] by assuming a thermal pressure and its Galactic gradient.
In contrast to C+, ionized nitrogen, N+, arises only from highly ionized gas as its ionization potential, 14.5 eV, requires the UV photons with λ ≤ 912 Å, such as found in H II regions, or high temperatures, ≳6000 K, where electron collisional ionization or proton charge transfer maintains a high fractional ionization (Langer et al. 2015), such as in the warm ionized medium (WIM). The fine-structure lines of N+, [N II], at 122 and 205 μm, provide a probe of the highly ionized gas and having two transitions makes it possible to derive the electron/proton density using radiative transfer models because the solutions are not temperature sensitive in these environments.
To determine the density of the highly ionized gas associated with the [C II] detected in the GOT C+ survey, Goldsmith et al. (2015) conducted a follow up Herschel Open Time PACS [N II] survey sample along 149 LOS covering longitudes from 0° to 344° at a Galactic latitude of b = 0°, that had previously been observed in [C II] (Langer et al. 2010; Pineda et al. 2013; Langer et al. 2014). They detected 96 LOS in both transitions (205 and 122 μm) mostly at longitudes between −60° and +60°. They found that the density of the highly ionized gas responsible for [N II] is typically in the range n(e) ~ 5–50 cm−3, much higher than in the WIM (~0.05 cm−3). To better identify the sources of highly ionized gas, the [N II] survey included ten lines of sight observed at high spectral resolution with HIFI and found over 30 distinct cloud components in nine of these (excluding the Galactic Center) as identified by their [C II] and [N II] emission (Langer et al. 2016). In addition, Goldsmith et al. (2015) and Langer et al. (2016) found that a significant fraction of the [C II], of order 20%–30%, comes from highly ionized dense gas. A related study of the Scutum spiral arm tangency found that [N II] 205 μm emission arose from two components, a low density, n(e) ~ 0.9 cm−3, compressed WIM at the arm–interarm interface and from high density, n(e) ~ 30 cm−3, ionized gas associated with the molecular clouds deep in the arm (Langer et al. 2017).
In contrast to [N II], which probes only highly ionized gas, and [C II], which probes weakly and highly ionized gas, the fine structure lines of atomic oxygen, [O I] at 63 and 146 μm, probe exclusively the neutral, weakly ionized PDR regions. Oxygen is readily ionized in H II and IBL regions as its ionization potential is only about 0.02 eV above that of hydrogen, so that electron collisional ionization and especially, proton charge transfer are very efficient, even at low temperatures (≳100 K). Therefore, in principle, by observing [O I] we can determine the properties of the neutral gas probed by [C II]. Strong [O I] emission is detected in H II regions (e.g., Boreiko & Betz 1996; Oberst et al. 2011; Leurini et al. 2015) ([O I] is also readily detected in absorption against hot cores (Wiesemeyer et al. 2016)). However, [O I] emission will be more difficult to detect in PDRs not illuminated by strong UV sources because the 3P1 level that gives rise to the [O I] 63-μm line, lies at 227.7 K above the ground state (Schöier et al. 2005). In contrast, the 3P3∕2 upper level of C+ which gives rise to the 158-μm line, is only at 91.2 K. Furthermore, using the collisional de-excitation rates at Tk ~ 100 K (Schöier et al. 2005; Wiesenfeld & Goldsmith 2014), the [O I] transition has a high critical density (n(H2) ~ 6 × 105 cm−3) compared to [C II] which has a much lower critical density (n(H2) ~ 3 × 103 cm−3).
To determine the nature of the neutral gas adjacent to the dense highly ionized gas seen in [N II], we proposed a SOFIA pilot program to observe the [O I] 63 μm line along four LOS previously observed in [C II] and [N II] with HIFI. All sources are associated with molecular clouds as indicated by the detection of 13CO (see Langer et al. 2016), and thus PDRs. We detected [O I] in one source at the 3.5-σ level, but were only able to set upper limits on the [O I] emission in the remaining sources. We use the [O I] to [C II] emission ratio and ratio limits to constrain the thermal pressure in the PDRs.
This paper is organized as follows. In Sect. 2, we present the observations, while in Sect. 3, we derive or set limits on the properties of the PDRs observed in [C II]. Section 4 summarizes the results.
2 Observations
We observed four lines of sight labeled G031.1+0.0, G049.1+0.0, G305.1+0.0, and G337.0+0.0, using the GOT C+ notation Gxxx.yy+x.x (Langer et al. 2014), which refers to their approximate longitude and latitude. The actual longitudes and latitudes are given in Table 1. In the case of G305.1+0.0 an atmospheric line in the [O I] band coincided with a portion of the strongest [C II] and [N II] emission from VLSR = −32 to −18 km s−1, making it difficult to assess whether there is any [O I] emission present. Therefore, the G305.1+0.0 LOS is omitted from further detailed discussion.
We observed the neutral atomic oxygen 3P1–3P2 fine structure line, [O I], at 4744.77749 GHz (λ ~ 63μm) using the upgraded German Receiver for Astronomy at Terahertz Frequencies (GREAT1; Heyminck et al. 2012) and (upGREAT1; Risacher et al. 2016) HFA-band 7-pixel single polarization array onboard SOFIA (Young et al. 2012). The upGREAT HFA-band uses NbN hot electron bolometer (HEB) waveguide mixers (Büchel et al. 2015) with a quantum cascade laser providing the local oscillator (Richter et al. 2015). The total bandwidth is 2.5 GHz and the spectral resolution was smoothed to 1.08 km s−1 to improve signal to noise. The central [O I] pixel was pointed towards the GOT C+ LOS.
Our program (proposal ID 05_0015; PI Langer) was part of the Guest Observer Cycle 5 campaign. The observations were made on June 14, June 28, and July 4, 2017. The data were processed with the GREAT calibrator using the atmospheric transmission model of Guan et al. (2012) to correct for atmospheric opacity. The observing times on-source for G031.3+0.0, G049.1+0.0, G305.1+0.0, and G337.0+0.0 were 4.3, 6.7, 7.3, and 7.3 min, respectively. To get properly calibrated [O I] spectra we need to check for any emission in the reference OFF positions for every ON position at b = 0°. The observing limits with SOFIA allow a maximum offset of the OFF position to be b = 0.° 4 (in latitude). Therefore, we used 0.° 4 as a primary OFF position, and we observed this position using 0.° 8 as a secondary OFF position to check if it were free of [O I] emission. No emission was detected at the OFF positions.
The [O I] data show standing waves having a characteristic period of about 15–20 km s−1. We removed these standing waves using an asymmetric least squares smoothing approach (Eilers & Boelens 2005) which identifies and removesa smooth baseline to the data. This approach is appropriate for our data, as the [O I] line detected in G337.0+0.0 has a linewidth much smaller than the longer period standing waves.
Each pixel of the 7-pixel GREAT HFA-band array has a FWHM beam size of 6.3′′ at 4.7 THz. The array is arranged in a hexagonal pattern with a central beam. The beam spacing is approximately two beam widths and the array has a footprint about 27′′ across. We did not detect [O I] in any of the individual pixels, so we combined all seven [O I] pixels at each LOS to increase the sensitivity, and the resulting rms noise is listed in Table 1.
The intensities have been converted to main beam temperature, Tmb (K), using beam efficiencies appropriate to each pixel with a typical value of ηmb ([O I]) = 0.63, and the data were smoothed in velocity to a channel width of 1.08 km s−1 to improve thesignal-to-noise. In Fig. 1, we plot the main beam temperature, Tmb versus the LSR velocity, VLSR, for [O I] averaged over all pixels in the array, and the HIFI single pixel dual polarization [N II] and [C II] spectra (Goldsmith et al. 2015; Langer et al. 2016). The resulting averaged [O I] spectra correspond to an angular size of ~27′′, somewhat larger than the HIFI [C II], 12′′, and [N II], 15′′, beam sizes.
In Fig. 1, we see that there is no [O I] detected from G031.3+0.0, G049.1+0.0, and G305.1+0.0, but there is a detection at the 3.5-σ level in G337.0+0.0 exactly at the peak of the [C II] and [N II] emission, VLSR = −76 km s−1. In Table 1, we give the rms per 1.08 km s−1 channel for the [O I] observations. In Table 2, we give the integrated intensities for the far-IR lines in units appropriate for heterodyne systems, K km s−1, while in Table 3, we convert these to standard units of W m−2 sr−1, assuming that the source fills the beam. In Table 2, we list the 1-σ limits on [O I] derived by integrating over the velocities corresponding to cloud components (see Langer et al. 2016) as defined by [N II] and/or [C II]. In the case of G337.0+0.0, where we detect [O I], we give the integrated intensity of the line at −76 km s−1 and the 1-σ error.
In G337.0+0.0 the line width FWHM of [O I] ~ 3 km s−1, as derived from a gaussian fit, slightly narrower than that of [C II], ~4 km s−1, as derived from a multi-Gaussian fit (the blend of lines makes it difficult to determine FWHM for the −76 km s−1 component of [N II]).
Sources observed in [C II], [N II], and [O I].
![]() |
Fig. 1 Main beam temperature versus velocity for the [O I] (black) GREAT HFA-band spectra for four lines of sight. The scale for [O I] is on the left and the scale for [C II] and [N II] is on the right. There is a 3.5-σ detection at G337.0+0.0, but only upper limits for the other three LOS. There is an emission gap in [O I] for G305.1+0.0 due to the presence of an atmospheric absorption line which has been removed. Superimposed on the [O I] spectra are the corresponding HIFI [C II] (blue) and [N II] (red) spectra (Langer et al. 2016). |
[O I], [C II], and [N II] intensities in units of K km s−1.
[O I], [C II], and [N II] intensities in units of W m−2 sr−1.
3 Discussion
Atomic oxygen has two fine structure transitions, at 63 and 146 μm, and so, in principle, these can be used to derive two of the three fundamental parameters in the PDR consisting of density, temperature, and column density, using radiative transfer models. When combined with the [C II] emission, all three parameters can be derived if we know the carbon to oxygen ratio and if their emission arises from the same volume. However, we only have one of the [O I] emission lines, so at best we can derive constraints on the conditions in PDRs. We will use the [O I] to [C II] intensity ratio to constrain Pth in the PDRs and, indirectly, bounds on the density and kinetic temperature.
To derive the intensity ratio I([O I])/I([C II]) we start with the relationship between intensity and column density for an optically thin species (Goldsmith et al. 2012),
(1)
where Tul is the antenna temperature of the upper (u) to lower (l) transition, νul is the transition frequency, Aul the Einstein A-coefficient, and Nu the column density of the upper level. In a uniform medium we can employ Eq. (1) with Nu = fun(X)L, where n(X) is the density of the emitting species, X, L the path length of the emission region, and fu is the fractional population of the upper level, to yield,
(2)
The ratio of the [O I] 63 μm to [C II] 158 μm intensity from the neutral gas of the PDR associated with H2 (we neglect the contribution from the low density H layer) is given by
(3)
assuming uniform conditions along the emitting region, and where x(X) = n(X)/n(H2) is the fractional abundance of species X. Substituting for Aij and λij using the values in Schöier et al. (2005) in Eq. (3), we obtain
(4)
Equation (4) can be solved exactly as a function of n(H2), Tk, and the fractional abundance ratio of O to C+. The carbon to oxygen ratio has been derived from UV absorption measurements and results vary somewhat from 1.5 to 2.1 (Sofia et al. 2004; Asplund et al. 2009). For convenience we adopt a value x(O)/x(C+) = 2. We further assume that the [O I] emission from H I regions can be neglected compared to the H2 region, because the H I density is too low to contribute significantly to the overall emission. A useful form in which to display the solutions to Eq. (4) is to calculate I([O I])/I([C II]) for a set of constant thermal pressures, Pth, over a range of kinetic temperatures Tk appropriate for PDRs.
Figure 2 shows the intensity ratio as a function of n(H2) for different values of thermal pressure, Pth (blue solid lines), ranging from 2 × 104 to 5 × 106 K cm−3, for kinetic temperatures in the range 50 to 200 K, representing a lower bound on Tk required for significant [C II] emission and an upper limit for standard PDRs. The solutions along constant Tk are indicated by the set of solid black lines for Tk = 50, 75, 100, 150, and 200 K. The model results in Fig. 2 use the collisional excitation rate coefficients of Jaquet et al. (1992) and assume an H2 ortho-to-para ratio of 3 (this ratio is not critical as the O de-excitation rates for collisions with ortho- and para-H2 with O are similar). Foreach value of Pth (blue solid lines) the ratio drops as the temperature decreases from 200 to 50 K.
In order to compare the model to the observed ratio of [O I] to [C II] we need to determine how much of the LOS [C II] arises from the neutral gas, In([C II]). We adopt the procedure outlined in Langer et al. (2016) where the [N II] emission is used to calculated the contribution of the highly ionized gas to the total [C II] intensity, Itot([C II]) and then solve for In([C II]) = Itot ([C II])–Iion([C II]). As shown in Langer et al. (2016) Iion([C II]) ≃ 2.7I([N II]) over a wide range of n(e) appropriate to the LOS studied here. We plot I([O I])/In([C II]) in Fig. 2 for the observed ratio (solid line) or 3-σ limits (dashed lines) for four [C II] components. These measurements constrain the conditions in the PDRs, which are discussed below.
To solve for Pth we only consider solutions with kinetic temperatures in the range 75–150 K. The lower limit is consistent with the [C II] intensity in these sources and the upper limit corresponds to the maximum predicted in PDRs without H II regions. For G337.0+0.0, where we have a 3.5-σ detection, there are reasonable solutions only for Pth in the range 5 × 104 K cm−3 (Tk ~ 150 K, n(H2) ~ 330 cm−3) to ~5 × 105 K cm−3 (Tk ~ 75 K, n(H2) ~ 6.7 × 103 cm−3). For the 3-σ upper bound on G031.3+0.0 V = 25→55 km s−1 we can only set an upperlimit Pth ≲ 5 × 105 K cm−3. For the remaining two sources, G031.3+0.0 V = 85→120 km s−1 and G049.1+0.0 the 3-σ limits on the ratio imply that Pth ≲ 5 × 106 and 2 × 106 K cm−3, respectively.
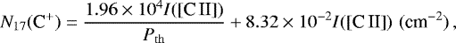
We can further constrain the conditions in the PDRs by deriving the C+ column density, N(C+), from I([C II]) as a function of Pth. Langer et al. (2014) showed that to a good approximation N(C+) is a simple function of I([C II])/Pth (Langer et al. 2014, see Eq. (4)) for low pressure PDRs. This relationship was later generalized to all pressure regimes (assuming optically thin emission) (Velusamy et al. 2017; Appendix B) and it is this form we use to calculate N(C+) as a function of I([C II]) and Pth. We rewrite Eq. (19) from Velusamy et al. (2017) to solve for N(C+) as a function of Pth,
(5)
where the column density, N17, is expressed in units of 1017 cm−2. In Fig. 3, we plot N(C+) as a functionof Pth for the [C II] intensity from the neutral PDR, In([C II]), for the four sources listed in Table 2.
Models of PDRs by Wolfire et al. (2010) show that the column density of the C+ layer, N(C+) is about 2–3 × 1017 cm−2 roughly independent of mass, ambient radiation field, metallicity, and thermal pressure for a wide range of clouds typical of the ISM. Wolfire et al. (2010) consider clouds with Pth ~ 104 to 105 K cm−3, based on thepressures derived from 12CO and 13CO (Sanders et al. 1993). If we assume N(C+) ~ 2–3 × 1017 cm−2 from the results of Wolfire et al. (2010) then the curves in Fig. 3 imply that Pth for G337.0+0.0 and G031.3+ 0.0 V = 25 → 55 km s−1 lie in the range 2–5 × 105 K cm−3. While for G049.1+0.0 Pth = 8 × 104–1.2 × 105 K cm−3 and for G031.3+0.0 V = 85 → 120 km s−1 we have Pth = 5 × 104–8 × 104 K cm−3.
Combining these limits with those derived from the [O I] to [C II] ratio provides additional constraints on G337.0+0.0, where we have detected [O I], and on G031.3+0.0 V =25 → 55 km s−1 where we have a good upper limit. For G337.0+0.0 the Pth lies in the range 2 × 105 K cm−3 (Tk ~ 100 K, n(H2) ~ 2 × 103 cm−3) to 5 × 105 K cm−3 (Tk ~ 75 K, n(H2) ~ 6.7 × 103 cm−3). For G031.3+0.0 V = 25 → 55 km s−1 the range of pressures is the same as for G337.0+0.0, but as we only have an upper limit on the [O I] to [C II] ratio we can only set the following limits Tk ≤ 120 K and n(H2) ≤ 104 cm−3. For the other two sources, where the limits on the [O I] to [C II] ratio are higher than for G031.3+0.0 V = 25 → 55 km s−1 we can only constrain the thermal pressure using [O I]/[C II], as discussed above.
We can calculate the column density of oxygen, N(O), from I([O I]) and the radiative transfer equation for the three fine structure levels (see the similar case for nitrogen discussed in Goldsmith et al. 2015) as a function of density and temperature. For G337.0+0.0, assuming that the emission arises solely from the molecular gas, N(O) ~ 8 × 1017 to 3 × 1017 cm−2 over the pressure range 2 to 5 × 105 (K cm−3) at Tk = 75 K. For a typical inner galaxy fractional abundance of O/H2 of 9 × 10−4 the corresponding H2 column densities are 8.9 × 1020 to 3.3 × 1020 cm−2 and visual extinctions are AV ~0.9 to 0.4 mag. These values are well within the range of PDR models. Some of the [O I] emission can arise from the atomic hydrogen layer. Models of the H-to-H2 transition (Sternberg et al. 2014) predict that the gas becomes molecular within a column density ~(1-few) × 1020 cm−2. The collisional de-excitation rate coefficients for H on O are about 2.5 greater than those of H2 on O (Schöier et al. 2005) so the atomic layer could contribute significantly if the densities are high enough. If all the [O I] emission arises from the atomic gas, assuming the same thermal pressure in the H and H2 regions, we find N(O) ~ 3.2 × 1017 to 1.2 × 1017 cm−2 over the pressure range 2 to 5 × 105 (K cm−3) at Tk = 75 K. The corresponding atomic hydrogen column densities N(H) ~ 7 × 1020 to 2.6 × 1020 cm−2. With the limited information we have about the nature of the emission region, we cannot distinguish how much comes from each component, but the overall column density of N(O) emitting gas most likely lies somewhere in between.
So far we have only used the intensities of [C II] and [O I], along with radiative transfer models, to constrain the density and pressure. However, the ratio I([O I])/I([C II]) can also be used, along with PDR models, to constrain the intensity of the local UV field. Kaufman et al. (1999) have calculated this intensity ratio as a function of the cloud density, n, and the ratio of the incident far-ultraviolet (FUV) flux, Go, at the PDR surface (where Go is in units of the Habing field, 1.6 × 10−3 ergs cm−2 s−1) and the results are plotted in their Fig. 4. To compare our observed ratios (and limits) of I([O I])/I([C II]) to the PDR models of Kaufman et al. (1999) we need to use the ratios in Table 3, which are expressed in similar units, W m−2 sr−1. For this comparison we use the ratio of [O I] to [C II] from the neutral gas, I([O I])/In([C II]) (column 7 in Table 3).
In Table 3 column 8, we list the limits on the FUV field, Go, derived from the observed [O I] to [C II] intensity and the PDR models of Kaufman et al. (1999) for the low end of the density range characteristic of our solutions, 2 × 103 cm−3 because it gives the maximum limit on Go. The solutions for the [O I] detection in G337.0+0.0 and the limit on G013.3+0.0 (VLSR = 25 → 55) to constrain the FUV field intensity Go, to about 15 or less, thus indicating that these sources are bathed in a low to moderate FUV field. The constraints on the other two sources restrict Go to be less than 50–100. By comparison, H II regions have much larger thermal pressures and values of Go. For example, in H II regions, the CO spectral line energy distribution (CO SLEDs) (along with other tracers) along with PDR models (cf., Bron et al. 2018) have been used toderive Pth and Go (Stock et al. 2015; Joblin et al. 2018; Wu et al. 2018). Among several sources studied, Pth and Go range from 106 to a few × 108 (K cm−3) and 102 to 108, respectively (Stock et al. 2015; Joblin et al. 2018; Wu et al. 2018), much larger than the values derived for our sources.
Based on our analysis of the thermal pressures and FUV field, the weak [O I] emission in G337.0+0.0 and the limits on [O I] emission in the other 3 sources, indicates that these sources are likely standard molecular clouds with PDRs and IBLs immersed in low to moderate UV fields (Go ≤ 100), similar to those modeled by Wolfire et al. (2010), rather than strong H II regions in the references given above.
The presence of dense highly ionized gas, as derived from [N II], is an indication that the edge of the neutral gas does not transition rapidly to the low density WIM. Langer et al. (2017) have argued, based on [N II] and [C II] observations of the Scutumarm tangency, that the dense ionized gas is a result of the compression of the WIM as it falls into the gravitational well of the spiral arm. The widespread distribution of dense highly ionized gas in the Goldsmith et al. (2015) [N II] survey indicates that this component of spiral arms and evolved clouds is a general, but poorly understood, feature. More extensive surveys and maps of [C II] and [N II] are needed, along with observations of [O I], to understand these PDRs and their associated IBLs.
![]() |
Fig. 2 Ratio of the [O I] intensity, I([O I]), to the [C II] intensity arising from the neutral PDR region, In([C II]), as a functionof n(H2) for a set of constant thermal pressure, Pth, appropriate to [C II] emitting regions from PDRs (not from H+ regions). The ratios for Pth = constant (solid blue lines) are labeled in units of K cm−3. We limit the range of kinetic temperatures, Tk, appropriate to the [C II] emitting regions of PDRs to 50–200 K. The solid black lines show the solutions for the ratio along Tk = 50, 75, 100, 150, and 200 K. The horizontal lines represent the measured ratio (solid line) or measured limits (dashed lines) for the four LOS and velocity ranges discussed in the text. The LOS labels are indicated in the figure. |
![]() |
Fig. 3 Column density N(C+) of the [C II] emitting PDR layer is calculated from I([C II]). The LOS are indicated by the insert labels. |
4 Summary
We observed the [O I] 63 μm line at high spectral resolution using the GREAT H-band array on SOFIA towards four lines of sight with strong [N II] and [C II] emission. Our goal was to use the [O I] along with [C II] to constrain the conditions in the PDRs associated with the highly ionized dense gas traced with [N II] emission arising from the adjacent IBLs. We detected [O I] at the 3.5-σ level towards G337.0+0.0, but could only determine upper limits on the other sources. Comparing the ratio of [O I] to [C II] and N(C+) to models incorporating the thermal pressure allowed us to place constraints on the thermal pressure, density, and kinetic temperatureof the PDRs, even in some of the cases where we only had upper limits on [O I]. In two sources we were able to place tight constraints on the strength of the FUV radiation field, using the [O I] to [C II] ratio in conjunction with PDR models, Go ≲ 15. In these two sources the PDRs appear to be bathed in low to moderate FUV radiation fields. In the other two, the limits on the FUV field are larger, Go < 50 to 100. Using these constraints on thermal pressure we derived a range of carbon and oxygen column densities, N(C+) and N(O), consistent with PDR models. The weak to absent [O I] emission indicates that the PDRs are dense regions associated with standard molecular clouds immersed in moderate UV fields, and not H II regions.
Acknowledgements
We thank an anonymous referee for several very useful comments that improved our paper. We are grateful to the SOFIA engineering and operations teams for their support which enabled the observations presented here. The research reported here is based largely on observations made with the NASA/DLR Stratospheric Observatory for Infrared Astronomy (SOFIA). SOFIA is jointly operated by the Universities Space Research Association, Inc. (USRA), under NASA contract NAS2-97001, and the Deutsches SOFIA Institut (DSI) under DLR contract 50 OK 0901. This work was performed at the Jet Propulsion Laboratory, California Institute of Technology, under contract with the National Aeronautics and Space Administration. USA Government sponsorship acknowledged.
References
- Abel, N. P., Ferland, G. J., Shaw, G., & van Hoof P. A. M. 2005, ApJS, 161, 65 [NASA ADS] [CrossRef] [Google Scholar]
- Asplund, M., Grevesse, N., Sauval, A. J., & Scott, P. 2009, ARA&A, 47, 481 [NASA ADS] [CrossRef] [Google Scholar]
- Boreiko, R. T., & Betz, A. L. 1996, ApJ, 464, L83 [NASA ADS] [CrossRef] [Google Scholar]
- Bron, E., Agúndez, M., Goicoechea, J. R., & Cernicharo, J. 2018, A&A, submitted, [arXiv:1801.01547] [Google Scholar]
- Büchel, D., Pütz, P., Jacobs, K., et al. 2015, IEEE Trans. Terahertz Sci. Technol., 5, 207 [CrossRef] [Google Scholar]
- Eilers, P. H. C., & Boelens, H. F. M. 2005, Leiden: Leiden University Medical Centre Report 2005, www.researchgate.net/publication/228961729 [Google Scholar]
- Goldsmith, P. F., Langer, W. D., Pineda, J. L., & Velusamy, T. 2012, ApJS, 203, 13 [Google Scholar]
- Goldsmith, P. F., Yıldız, U. A., Langer, W. D., & Pineda, J. L. 2015, ApJ, 814, 133 [NASA ADS] [CrossRef] [Google Scholar]
- Guan, X., Stutzki, J., Graf, U. U., et al. 2012, A&A, 542, L4 [NASA ADS] [CrossRef] [EDP Sciences] [Google Scholar]
- Heyminck, S., Graf, U. U., Güsten, R., et al. 2012, A&A, 542, L1 [NASA ADS] [CrossRef] [EDP Sciences] [Google Scholar]
- Hollenbach, D. J., & Tielens, A. G. G. M. 1997, ARA&A, 35, 179 [NASA ADS] [CrossRef] [Google Scholar]
- Hollenbach, D. J., & Tielens, A. G. G. M. 1999, Rev. Mod. Phys., 71, 173 [Google Scholar]
- Jaquet, R., Staemmler, V., Smith, M. D., & Flower, D. R. 1992, J. Phys. B At. Mol. Phys., 25, 285 [NASA ADS] [CrossRef] [Google Scholar]
- Joblin, C., Bron, E., Pinto, C., et al. 2018, A&A, 615, A129 [NASA ADS] [CrossRef] [EDP Sciences] [Google Scholar]
- Kaufman, M. J., Wolfire, M. G., Hollenbach, D. J., & Luhman, M. L. 1999, ApJ, 527, 795 [NASA ADS] [CrossRef] [Google Scholar]
- Köhler, M., Habart, E., Arab, H., et al. 2014, A&A, 569, A109 [NASA ADS] [CrossRef] [EDP Sciences] [Google Scholar]
- Langer, W. D., Velusamy, T., Pineda, J. L., et al. 2010, A&A, 521, L17 [Google Scholar]
- Langer, W. D., Velusamy, T., Pineda, J. L., Willacy, K., & Goldsmith, P. F. 2014, A&A, 561, A122 [NASA ADS] [CrossRef] [EDP Sciences] [Google Scholar]
- Langer, W. D., Goldsmith, P. F., Pineda, J. L., et al. 2015, A&A, 576, A1 [NASA ADS] [CrossRef] [EDP Sciences] [Google Scholar]
- Langer, W. D., Goldsmith, P. F., & Pineda, J. L. 2016, A&A, 590, A43 [NASA ADS] [CrossRef] [EDP Sciences] [Google Scholar]
- Langer, W. D., Velusamy, T., Goldsmith, P. F., et al. 2017, A&A, 607, A59 [NASA ADS] [CrossRef] [EDP Sciences] [Google Scholar]
- Le Petit, F., Nehmé, C., Le Bourlot, J., & Roueff, E. 2006, ApJS, 164, 506 [NASA ADS] [CrossRef] [EDP Sciences] [Google Scholar]
- Leurini, S., Wyrowski, F., Wiesemeyer, H., et al. 2015, A&A, 584, A70 [NASA ADS] [CrossRef] [EDP Sciences] [Google Scholar]
- Mookerjea, B., Sandell, G., Vacca, W., Chambers, E., & Guesten, R. 2018, A&A, 616, A31 [NASA ADS] [CrossRef] [EDP Sciences] [Google Scholar]
- Oberst, T. E., Parshley, S. C., Nikola, T., et al. 2011, ApJ, 739, 100 [NASA ADS] [CrossRef] [Google Scholar]
- Ossenkopf, V., Röllig, M., Neufeld, D. A., et al. 2013, A&A, 550, A57 [NASA ADS] [CrossRef] [EDP Sciences] [Google Scholar]
- Pabst, C. H. M., Goicoechea, J. R., Teyssier, D., et al. 2017, A&A, 606, A29 [NASA ADS] [CrossRef] [EDP Sciences] [Google Scholar]
- Pérez-Beaupuits, J. P., Stutzki, J., Ossenkopf, V., et al. 2015, A&A, 575, A9 [NASA ADS] [CrossRef] [EDP Sciences] [Google Scholar]
- Pineda, J. L., Langer, W. D., Velusamy, T., & Goldsmith, P. F. 2013, A&A, 554, A103 [NASA ADS] [CrossRef] [EDP Sciences] [Google Scholar]
- Richter, H., Wienold, M., Schrottke, L., et al. 2015, IEEE Trans. Terahertz Sci. Technol., 5, 539 [NASA ADS] [CrossRef] [Google Scholar]
- Risacher, C., Güsten, R., Stutzki, J., et al. 2016, A&A, 595, A34 [NASA ADS] [CrossRef] [EDP Sciences] [Google Scholar]
- Sanders, D. B., Scoville, N. Z., Tilanus, R. P. J., Wang, Z., & Zhou, S. 1993, in Back to the Galaxy, eds. S. S. Holt, & F. Verter AIP Conf. Ser., 278, 311 [Google Scholar]
- Schneider, N., Güsten, R., Tremblin, P., et al. 2012, A&A, 542, L18 [Google Scholar]
- Schöier, F. L., van der Tak, F. F. S., van Dishoeck, E. F., & Black, J. H. 2005, A&A, 432, 369 [NASA ADS] [CrossRef] [EDP Sciences] [Google Scholar]
- Sofia, U. J., Lauroesch, J. T., Meyer, D. M., & Cartledge, S. I. B. 2004, ApJ, 605, 272 [NASA ADS] [CrossRef] [Google Scholar]
- Sternberg, A., & Dalgarno, A. 1989, ApJ, 338, 197 [NASA ADS] [CrossRef] [Google Scholar]
- Sternberg, A., Le Petit, F., Roueff, E., & Le Bourlot J. 2014, ApJ, 790, 10 [NASA ADS] [CrossRef] [MathSciNet] [Google Scholar]
- Stock, D. J., Wolfire, M. G., Peeters, E., et al. 2015, A&A, 579, A67 [NASA ADS] [CrossRef] [EDP Sciences] [Google Scholar]
- Tielens, A. G. G. M., & Hollenbach, D. 1985, ApJ, 291, 722 [NASA ADS] [CrossRef] [Google Scholar]
- Velusamy, T., Langer, W. D., Goldsmith, P. F., & Pineda, J. L. 2017, ApJ, 838, 165 [NASA ADS] [CrossRef] [Google Scholar]
- Wiesemeyer, H., Güsten, R., Heyminck, S., et al. 2016, A&A, 585, A76 [NASA ADS] [CrossRef] [EDP Sciences] [Google Scholar]
- Wiesenfeld, L., & Goldsmith, P. F. 2014, ApJ, 780, 183 [NASA ADS] [CrossRef] [Google Scholar]
- Wolfire, M. G., Hollenbach, D., & McKee, C. F. 2010, ApJ, 716, 1191 [NASA ADS] [CrossRef] [Google Scholar]
- Wu, R., Bron, E., Onaka, T., et al. 2018, A&A, in press, DOI: 10.1051/0004-6361/201832595 [Google Scholar]
- Young, E. T., Becklin, E. E., Marcum, P. M., et al. 2012, ApJ, 749, L17 [NASA ADS] [CrossRef] [Google Scholar]
GREAT and upGREAT are a development by the MPI für Radioastronomie and the KOSMA/Universität zu Köln in cooperation with the MPI für Sonnensystemforschung and the DLR Institut für Planetenforschung.
All Tables
All Figures
![]() |
Fig. 1 Main beam temperature versus velocity for the [O I] (black) GREAT HFA-band spectra for four lines of sight. The scale for [O I] is on the left and the scale for [C II] and [N II] is on the right. There is a 3.5-σ detection at G337.0+0.0, but only upper limits for the other three LOS. There is an emission gap in [O I] for G305.1+0.0 due to the presence of an atmospheric absorption line which has been removed. Superimposed on the [O I] spectra are the corresponding HIFI [C II] (blue) and [N II] (red) spectra (Langer et al. 2016). |
| In the text | |
![]() |
Fig. 2 Ratio of the [O I] intensity, I([O I]), to the [C II] intensity arising from the neutral PDR region, In([C II]), as a functionof n(H2) for a set of constant thermal pressure, Pth, appropriate to [C II] emitting regions from PDRs (not from H+ regions). The ratios for Pth = constant (solid blue lines) are labeled in units of K cm−3. We limit the range of kinetic temperatures, Tk, appropriate to the [C II] emitting regions of PDRs to 50–200 K. The solid black lines show the solutions for the ratio along Tk = 50, 75, 100, 150, and 200 K. The horizontal lines represent the measured ratio (solid line) or measured limits (dashed lines) for the four LOS and velocity ranges discussed in the text. The LOS labels are indicated in the figure. |
| In the text | |
![]() |
Fig. 3 Column density N(C+) of the [C II] emitting PDR layer is calculated from I([C II]). The LOS are indicated by the insert labels. |
| In the text | |
Current usage metrics show cumulative count of Article Views (full-text article views including HTML views, PDF and ePub downloads, according to the available data) and Abstracts Views on Vision4Press platform.
Data correspond to usage on the plateform after 2015. The current usage metrics is available 48-96 hours after online publication and is updated daily on week days.
Initial download of the metrics may take a while.


