| Issue |
A&A
Volume 618, October 2018
|
|
|---|---|---|
| Article Number | A142 | |
| Number of page(s) | 12 | |
| Section | Planets and planetary systems | |
| DOI | https://doi.org/10.1051/0004-6361/201731884 | |
| Published online | 18 October 2018 | |
Radial velocity follow-up of GJ1132 with HARPS★,★★
A precise mass for planet b and the discovery of a second planet
1
Université Grenoble Alpes, CNRS, IPAG,
38000
Grenoble,
France
2
Observatoire de Genève, Université de Genève,
51 ch. des Maillettes,
1290
Sauverny,
Switzerland
3
Department of Astronomy & Astrophysics, University of Toronto,
50 St. George Street,
M5S 3H4
Toronto,
Canada
4
Centre for Planetary Sciences, Department of Physical & Environmental Sciences, University of Toronto Scarborough,
1265 Military Trail,
M1C 1A4
Toronto,
Canada
5
Institut de Recherche sur les Exoplanètes, Département de physique, Université de Montréal,
CP 6128 Succ. Centre-ville,
H3C 3J7
Montréal,
Canada
6
Departamento de Astronomía, Universidad de Concepción,
Casilla 160,
Concepción,
Chile
7
Department of Astrophysical and Planetary Sciences, University of Colorado,
2000 Colorado Ave.,
Boulder,
CO 80305,
USA
8
Harvard-Smithsonian Center for Astrophysics,
60 Garden Street,
Cambridge,
MA 02138,
USA
9
Kavli Institute for Astrophysics and Space Research, Massachusetts Institute of Technology,
77 Massachusetts Avenue,
Cambridge,
MA 02139,
USA
10
Facultad de Ciencias Exactas y Naturales, Universidad de Buenos Aires,
Buenos Aires,
Argentina
11
CONICET – Universidad de Buenos Aires. Instituto de Astronomía y Física del Espacio (IAFE),
Buenos Aires,
Argentina
12
Instituto de Astrofísica e Ciências do Espaço, Universidade do Porto, CAUP, Rua das Estrelas,
4150-762
Porto,
Portugal
13
Departamento de Física e Astronomia, Faculdade de Ciências, Universidade do Porto, Rua do Campo Alegre,
4169-007
Porto,
Portugal
14
Instituto de Astrofśica de Canarias (IAC),
38200
La Laguna,
Tenerife,
Spain
15
Departamento de Astrofísica, Universidad de La Laguna (ULL),
38206
La Laguna,
Tenerife,
Spain
Received:
1
September
2017
Accepted:
4
June
2018
Abstract
The source GJ1132 is a nearby red dwarf known to host a transiting Earth-size planet. After its initial detection, we pursued an intense follow-up with the HARPS velocimeter. We now confirm the detection of GJ1132b with radial velocities alone. We refined its orbital parameters, and in particular, its mass (mb = 1.66 ± 0.23 M⊕), density (ρb = 6.3 ± 1.3 g cm−3), and eccentricity (eb < 0.22; 95%). We also detected at least one more planet in the system. GJ1132c is a super-Earth with period Pc = 8.93 ± 0.01 days and minimum mass mc sinic = 2.64 ± 0.44 M⊕. Receiving about 1.9 times more flux than Earth in our solar system, its equilibrium temperature is that of a temperate planet (Teq = 230−300 K for albedos A = 0.75 − 0.00), which places GJ1132c near the inner edge of the so-called habitable zone. Despite an a priori favorable orientation for the system, Spitzer observations reject most transit configurations, leaving a posterior probability <1% that GJ1132c transits. GJ1132(d) is a third signal with period Pd = 177 ± 5 days attributed to either a planet candidate with minimum mass md sin id = 8.4−2.5+1.7 M⊕ or stellar activity. Its Doppler signal is the most powerful in our HARPS time series but appears on a timescale where either the stellar rotation or a magnetic cycle are viable alternatives to the planet hypothesis. On the one hand, the period is different than that measured for the stellar rotation (~125 days), and a Bayesian statistical analysis we performed with a Markov chain Monte Carlo and Gaussian processes demonstrates that the signal is better described by a Keplerian function than by correlated noise. On the other hand, periodograms of spectral indices sensitive to stellar activity show power excess at similar periods to that of this third signal, and radial velocity shifts induced by stellar activity can also match a Keplerian function. We, therefore, prefer to leave the status of GJ1132(d) undecided.
Key words: techniques: radial velocities / stars: late-type / planetary systems
Based on observations made with the HARPS instrument on the ESO 3.6 m telescope under the program IDs 191.C-0873(A), and 198.C-0838(A), at Cerro La Silla (Chile).
Radial velocity data are only available at the CDS via anonymous ftp to cdsarc.u-strasbg.fr (130.79.128.5) or via http://cdsarc.u-strasbg.fr/viz-bin/qcat?J/A+A/618/A142
© ESO 2018
Open Access article, published by EDP Sciences, under the terms of the Creative Commons Attribution License (http://creativecommons.org/licenses/by/4.0), which permits unrestricted use, distribution, and reproduction in any medium, provided the original work is properly cited.
1 Introduction
The source GJ1132 is an M dwarf of our solar neighborhood with a known transiting planet detected by the MEarth survey (Berta-Thompson et al. 2015). Owing to the small size, low mass, and low temperature of the parent star ( ~0.21 R⊙ , 0.18 M⊙, and 3 300 K), the 1.6-day periodic, 2.6 mmag dips observed in its photometric light curves imply that the planet has a size comparable to that of Earth ( ~1.2 R⊕) and a warm equilibrium temperature (~400−600 K). Being 2–3 mag brighter than most other Earth-size planet hosts detected with Kepler, for example, GJ1132 is an appealing system for follow-up characterization (Morley et al. 2017; Southworth et al. 2017).
The discovery paper already includes a radial-velocity (RV) time series collected with the HARPS spectrograph. With an orbital model composed of a single planet and a fixed zero eccentricity, we measured an orbital semi-amplitude of 2.76 ± 0.92 m s−1, corresponding to a planetary mass of 1.62 ± 0.55 M⊕ (Berta-Thompson et al. 2015). Although this favors a rocky composition, the constraint is loose given the large mass uncertainty to the point that even a gaseous composition remains possible in a 3σ range. In addition to bulk composition, the mass of the planet is also an important parameter for determining the scale height of the atmosphere and constrain transmission spectroscopy observations (Schaefer et al. 2016; Southworth et al. 2017).
If a better mass measurement already makes a strong case for pursuing an intensive RV follow-up, searching for additional planets is an equally good motivation. With a known transiting planet, we know the system is favorably aligned, and that additional planets have a high chance of being detected in transit as well (Gillon et al. 2011, 2017). The source GJ1132 has recently been used in simulations as an illustrative example of such a strategy (Cloutier et al. 2017b).
This paper reports on our RV follow-up campaign on GJ1132 with the HARPS spectrograph. We identify a first component with period Pd =177 ± 5 days that we attribute to either an outer planet with mass
or stellar activity. After subtracting this first signal, we show that GJ1132b is now identified with the sole RV data. Our time series then reveals another planet with mass mc sinic = 2.7 ± 0.4 M⊕ and period Pc = 8.92 ± 0.01 days. With an equilibrium temperature of 230–300 K, this super-Earth is located near the habitable zone. Matching our ephemeris with Spitzer observations from Dittmann et al. (2017a), we found that unfortunately, transits of planet c are largely excluded.
2 Data
From June 6, 2015 (BJD = 2457180.5) to June 21, 2017 (BJD = 2457925.5), we collected 128 observations with the HARPS spectrograph (Mayor et al. 2003; Pepe et al. 2004), including the 25 measurements previously published in Berta-Thompson et al. (2015). We chose the high-resolution mode (R = 115 000), and used the scientific fiber for the target and the calibration fiber for the sky. In practice, the sky brightness is low enough and the second fiber is not used by our pipeline. It only serves as a potential a posteriori diagnostic. Exposure times were fixed to 40 min, except for one exposure on June 26, 2016 (BJD = 2457566.5), which was shortened to 1700 s. We also note that we discarded a 129th measurement that is found in ESO archives. It measured only 5 s and was taken on June 11, 2015 (BJD = 2457185.5).
The online pipeline produces extracted spectra that are calibrated in wavelength (Lovis & Pepe 2007). It also computes RVs through cross-correlation with a numerical mask (Baranne et al. 1996; Pepe et al. 2002). We used this initial estimate to shift all spectra to a common reference frame, and we coadded them to build a reference spectrum with a high signal-to-noise ratio (S/N). We then refined the RV determination by finding the best-fit Doppler shift between this reference template and individual spectra (e.g., Howarth et al. 1997; Galland et al. 2006; Anglada-Escudé & Butler 2012; Astudillo-Defru et al. 2015).
The RV uncertainties were evaluated by measuring the Doppler information content in the χ2 (RV ) profile, using the formalism of Bouchy et al. (2001); Boisse et al. (2010). This formalism quantifies the RV uncertainty thorugh a weighted sum over the spectral elements with more weight given to the spectral elements with a higher derivative. Because the derivative of a spectrum has a higher variability against noise than the spectrum itself, we instead directly applied the formula to the χ2(RV ) profile, whose S/N is a few hundred times higher. For GJ1132, a V = 13.5 mag star, we estimate that photon noisecontributes with 2–3 m s−1 to the precision of individual measurements.
In addition to RVs, we also measured several activity proxies such as spectroscopic indices (Hα , Hβ , calcium S index, and Na; see Astudillo-Defru et al. 2017). Spectroscopic indices can reveal and trace inhomogeneities at the surface of the star, which, animated by the stellar rotation, can contribute to an apparent Doppler shift that is unrelated to the presence of planets (Bonfils et al. 2007; Robertson et al. 2014). Our time series for the RVs, their uncertainties, and the time series for the activity proxies are reported in Table A.1.
3 Analysis
3.1 Iterative periodogram analysis
We started with the RV time series (Fig. 1a) and computed its generalized Lomb–Scargle periodogram (Fig. 1b; Press et al. 1992; Zechmeister & Kürster 2009). We chose a normalization such that a power of 1 at a given period means that a sin-wave fit to the data is a perfect fit (χ2 = 1), and a power of 0 means that a sin-wave fit does not improve the χ2 over that of a fit by a constant. We identify several peaks with a high power: one at the period of the known planet GJ1132b ( ~1.63 day), one near the period 8.9 day, and, the strongest, around 171 days. They have a power p = 0.25, 0.26, and 0.30, respectively.
To evaluate the significance as a function of the power excess that is measured, we created synthetic data illustrative of time series with noise alone. To preserve the sampling, the simulated time series had the same dates as the original. To preserve the distribution of RVs around their mean, the values were picked by randomly shuffling the original time series. We computed the periodogram of simulated time series and measured their power maxima. After many trials, we built a distribution of power maxima that served as comparison with the power values measured in the original time series. We found that over 10 000 trials, no simulated time series has power maxima equal to or higher than p = 0.30, meaning that the peak detected around P = 177 day has a false-alarm probability (FAP) lower than 1/10 000 = 0.01%; it is equivalent to a significance > 3.8σ.
We note that Berta-Thompson et al. (2015) found a rotation period of 125 days and that a sampling rate of ~ 1 yr could produce an alias at the period 190 day, which is indistinguishable from the 171-day peak. Nevertheless, the signal appears well sampled when phased with a period of 177 or 190 days, and the 177-day peak is therefore probably not an alias.
We next reproduced the same periodogram analysis with spectroscopic indices. Figure 2 shows these periodograms for Ca (blue), Na (green), Hβ (red), and Hα (cyan). The period of the stellar rotation is shown with the vertical full line, and the periods of the three Doppler signals discussed in this paper are shown with vertical dashed lines. Broad power excess is visible between 80–300 day, with a highest peak at the period of the stellar rotation ( ~125 day). Peaks of power are also visible near 175 day, calling for caution in interpreting the corresponding Doppler signal. If it is not due to stellar rotation, a magnetic cycle can also induce periodic variations (Gomes da Silva et al. 2011). In Sect. 3.2, we perform a more detailed modeling using Markov chain Monte Carlo (MCMC) and Gaussian processes algorithms. By statistically comparing models, we show that the signal is best described by a Keplerian, not by correlated noise. Nevertheless, since stellar activity can produce RV variations that match a Keplerian (Bonfils et al. 2007), we do not consider this comparison to clearly favor the planet interpretation.
We fit and removed a Keplerian component from the RVs and studied the residuals (Fig. 1d). The most prominent peak is now that of GJ1132b, and the RV residuals are well modeled by a Keplerian with period P = 1.63 day (Fig. 1f). The peak itself has an FAP lower than 0.01%. The detection is now significant even without prior knowledge of the period from the photometric transits. GJ1132b is therefore confirmed based on RV data alone.
We continued with a model composed of two Keplerian orbits. The residuals now show strong power excess around P = 8.9 days (FAP < 0.01%; Fig. 1g), which is also well modeled with an additional Keplerian (Fig. 1i).
The rotation measured for GJ1132 is clearly distinct from the last two RV periodicities. This meas that stellar activity is probably not responsible for these two short-period signals. We attribute them instead to two orbiting planets, namely, GJ1132b and c.
![]() |
Fig. 1 Iterative periodogram analysis. Left column: RV times series before any subtraction (panel a), after subtracting a one-Keplerian fit (panel d) and after subtraction of a two-Keplerian fit (panel g). Middle column: periodograms for each RV time series in the left column. Right column: RV time series shown in the left column phase-folded to the period of maximum power shown in the periodograms of the middle column. The best sine fit is superimposed. Dash-dotted (resp. dotted) lines in panels b, e, and h are placed at a power level corresponding to a false-alarm probability of 1% (resp. 0.1%). |
![]() |
Fig. 2 Periodogram of spectral indices measured on HARPS spectra. Ca , Na , Hβ, and Hα Are shown from top to bottom. The period of the stellar rotation is shown with a vertical full line, and the periods of the three Doppler signals attributed to GJ1132b, GJ1132c, and GJ1132(d) are shown with vertical dashed lines. |
3.2 Jointmodeling of planets and correlated “noise”
Here, we apply a second, complementary analysis to the data using al non-parametric Gaussian process (GP) regression model of the correlated RV residuals. GP regression modeling works within a Bayesian framework and provides a distribution of functions that model the correlations between adjacent RV measurements following the removal of a mean planetary model containing up to three planets in our analysis. This technique has recently been used in the literature to model stellar RV activity, thus facilitating the detection and precise characterization of planets around active stars (e.g., Haywood et al. 2014; Rajpaul et al. 2015; Donati et al. 2016; Cloutier et al. 2017b; Bonfils et al. 2018). A complete description of the techniques used to simultaneously model the RV variations with a GP plus Keplerian orbital solutions can be found in Cloutier et al. (2017a). Here, we briefly summarize the key steps and assumptions used in this work.
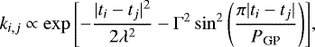
We described above that the broad peak centered around ~ 175 days in the LS periodogram of the RVs spans the stellar photometric rotation period of 125 days (Dittmann et al. 2017a). Therefore, the stellar activity might be modulated at approximately the stellar rotation timescale. Thus, we adopted a quasi-periodic covariance kernel for the GP activity model of the form
(1)
where ti is the ith BJD in the time series for i, j = 1, …, 128. The GP hyperparameters a, λ, Γ, and PGP describe the amplitude of the correlations, the exponential decay timescale, the coherence scale of the correlations, and the periodic timescale (PGP = Prot in photometry), respectively. Because the GP is intended to only model the stellar activity, the posterior probability density functions (PDFs) of the four hyperparameters are trained through an MCMC on a training set that is independent of planetary signals. For this purpose, we used emcee (Foreman-Mackey et al. 2013), a python implementation of the affine-invariant ensemble MCMC sampler (Goodman & Weare 2010). We opted for a training set using the MEarth photometry presented in Berta-Thompson et al. (2015) that was used in Cloutier et al. (2017b) to model the stellar RV activity using a GP. Here, a well-defined solution is easily found, whose periodic term is the photometric rotation period. The resulting marginalized posterior PDFs of the GP hyperparameters λ, Γ , and PGP are then used as priors when next we jointly modeled the RVs simultaneously with planetary signals and a quasi-periodic GP. The posterior PDFs of these three hyperparameters from training are each approximated by a one-dimensional kernel density estimation, which can then be sampled during the RV modeling. The covariance amplitude a was left as an effectively unconstrained free parameter in the RV modeling.
We then modeled the RVs with one of four potential planetary models. The first model contained the two planets GJ1132b and GJ1132c. The second model contained the same two planets plus the quasi-periodic GP. The third model assumed three planets, GJ1132b, GJ1132c, and GJ1132(d). The fourth model contained the same three planets plus the quasi-periodic GP. In each considered model, the orbital period and time of mid-transit of GJ 1132b were assigned Gaussian priors based on the transit results from Berta-Thompson et al. (2015). The orbital period of the putative GJ1132c (GJ1132(d)) was assigned a uniform prior between 8.8 and 9.0 days (between 120 and 220 days). We adopted uninformative Jeffreys priors between 0–10 m s−1 on the semi-amplitude of each planet. This choice of prior was modified and not found to significantly affect the results. The eccentricities e of each planet were sampled indirectly via the jump parameters
and
where ω is the argument of periastron. This choice reduces bias toward high eccentricities (Ford 2006).
Next, we conducted a model comparison using time-series cross-validation (Arlot & Celisse 2010). This procedure iscomputationally less expensive than computing the fully marginalized Bayesian likelihood and is independentof the choice of model parameter priors. The unique model parameters for each model, including the GP hyperparameter, were optimized for each of the 107 training sets, which contained between 20 and the full dataset size, less 1 (i.e., 127), chronologically spaced RV measurements. For each split of the data, the testing set was the single measurement taken after the final measurement in the training set. The ln-likelihood (
) of the testing data given each model optimized on the training set were then computed. Over the 107 splits of the data, we computed the median and median absolute deviation per measurement of each model
. Table 1 reports the resulting
ratio for various pairs of competing models, where each model
is calculated by scaling the median
per measurement from cross-validation to the full dataset size of 128 measurements. We find that the three-planet model is greatly favored over the two-planet model with a >8σ greater
. Furthermore, the three-planet + GP model has a marginally better
than the three-planet model (i.e., 0.3σ higher
). We, therefore, conclude that the more simplistic model with three Keplerian signals and no GP is most strongly favored based on the data. Although it favors the planet interpretation for GJ1132(d), we refrain from a definitive conclusion. As shown for previous examples from our survey, activity-induced Doppler shifts can indeed match a Keplerian signal (Bonfils et al. 2007).
The resulting RV model parameters, assuming that the observed RV variations are due to three planets plus residual stellar activity, which we modeled with a non-parametric GP, are reported in Table 2. GJ1132(d) is presented with parentheses around its d letter to stress that it is not accepted as a planet detection.
In the MCMC from which these results were derived we initialized 200 walkers and ran each chain for a duration of approximately 20 autocorrelation times to ensure adequate convergence of the chains. The steps corresponding to the first ~ 10 autocorrelation times were treated as the burn-in phase and discarded. The results are broadly consistent with the results from the iterative periodogram analysis of Sect. 3.1. The resulting marginalized posterior PDFs of the model parameters are shown in Fig. A.1.
As a complement, Figs. 3 and 4 show phase-folded RVs and residuals without the GP regression. The uncertainties are not rescaled. After removing the mean GP model and the best-fit Keplerians for GJ1132b and GJ1132c, the residual rms is 2.74 m s−1.
Maximum
ratios for various competing models.
Model parameters.
![]() |
Fig. 3 Phase-folded RV decomposition for the three-planet model without GP regression. |
![]() |
Fig. 4 RV residuals (O−C) as a function of time. |
4 Discussions
4.1 GJ1132b in context
Compared to the discovery paper, we revise the RV semi-amplitude from 2.76 ± 0.92 to 2.85± 0.34 m s−1. This is a faster gain in precision than expected from the larger number of RVs (
). We surmise this is because a three-planet model is a more adequate description of the data. This improves the mass precision by ~ 2.4 × from 1.62± 0.55 to 1.66± 0.23 M⊕ . Together with the radius of GJ1132b measured by Dittmann et al. (2017a), its bulk density then becomes 6.3 ± 1.3 g cm−3 and thus confirms its rocky nature.
The mass-period diagram (Fig. 5) places GJ1132b in context and compares its mass and radius with other transit detections and with theoretical curves for different bulk compositions (Zeng & Sasselov 2013). The density of GJ1132b appears compatible with a rocky or a denser compositions. With such a diagram, Rogers (2015) observed that below ~1.6 R⊕, planets are predominantly rocky, that is to say, they are preferentially found below the mass-radius curves that include significant water or lighter elements in their composition. The largest planet that is more than 1σ away from the rocky curve is indeed Kepler-60b, with a radius of 1.7 R⊕ (Steffen et al. 2013; Jontof-Hutter et al. 2016).
Conversely, a similar threshold can now be observed with mass: with the exception of three planets with very large uncertainties (Kepler -11b, -11f, and -177b; Lissauer et al. 2011, 2013; Xie 2014), no planet is seen to lie not on the rocky curve by more than 1σ below a mass threshold of ~3 M⊕.
![]() |
Fig. 5 Mass–radius diagram for planets with masses Mp < 20 M⊕ and radii Rp < 3.5 R⊕ queried from the NASA Exoplanet Archive. The gray level scales linearly with the relative uncertainties (with equal weight for both mass and radius). GJ1132b is shown in red, and blue circles show Earth and Venus. Curves are for the mass–radiusrelations predicted with theoretical models (Zeng & Sasselov 2013). |
4.2 GJ1132c, a temperate super-Earth
With a host star luminosity L⋆ = 0.00438 ± 0.00034 L⊙ (Dittmann et al. 2017b) and a semi-major a = 0.048 AU, GJ1132c receives about 1.9 times as much flux as Earth from our Sun. Its equilibrium temperature ranges from 232 K for a Bond albedo equal to that of Venus (A = 0.75) and up to 328 K fora Bond albedo A = 0.
The most recent works that delineated the habitable zone around M dwarfs (e.g., Kopparapu et al. 2016) place the inner edge for GJ1132 at about 1.6 times the stellar radiation received by Earth. GJ1132c would thus be considered significantly too irradiated to have liquid water on its surface. The planet still remains of considerableinterest in the context of habitability. The concept remains poorly understood and will remain so until inhabited worlds are actually found. The inner edge of the habitable zone is thus subject to change with future works. Moreover, if future instrumentation were able to reach sufficient contrast for resolving the planet from its parent star, probing for an atmosphere would tell us how resilient this atmosphere can be against stellar irradiation, and thus would more generally constrain the habitability of M-dwarf planets regardless of the habitability of GJ1132c itself. At a distance of 12 parsec, however (Berta-Thompson et al. 2015), transmissionand occultation spectroscopy are probably the only methods able to resolve such an atmosphere, meaning that GJ1132c would be required to transit.
4.3 Transit search for planet c
The source GJ1132c orbits at a distance of about 49 ± 3 R⋆ from its host star, and without prior knowledge on the system orientation, the probability of detecting the planet in transit at inferior conjunction would be ~1/50. We nevertheless have prior knowledge on the system orientation since GJ1132 is already known to host a transiting planet with a measured orbital inclination of 88.68
degrees (Dittmann et al. 2017a). Considering only this nominal value (88.68 degrees), additional planets with strictly coplanar orbits would be seen to transit up to separations of ~43 R⋆, and would be missed beyond. This limit is most probably inside the orbit of GJ1132c, and at first, the prior knowledge we have from GJ1132b might be thought to nullify the probability of observing any transit for GJ1132c. This neglects both the uncertainty on the orbital inclination of GJ1132c and possible deviations from perfect coplanarity, however.
We can instead include both uncertainty and non-coplanarity in our prior. Using the formalism of Beatty & Seager (2010), we distributed inclinations centered around 88.68 degrees with various standard deviations. In Fig. 6, we show that the prior probability that GJ1132c undergoes transit quickly jumps to ~43% for inclinations distributed with only a small standard deviation of 1 degree.
From our analysis in Sect. 3, we derived an ephemeris for the passage of GJ1132c at inferior conjunction (BJD = 2457506.02 ± 0.34). Figure 7 shows that this falls inside the long 100 h monitoring made by Dittmann et al. (2017a) with Spitzer, which covers epochs between BJD = 2457502.5 and 2457506.8 almost without interruption and a sensitivity down to planets smaller than Mars (Dittmann et al. 2017a). Possible transits of GJ1132c are largely ruledout with a <1% chance that an existing transit was missed.
The prior probability combined with the probability left by the incomplete coverage of the transit-time window gives a posterior probability ≤ 0.43% that GJ1132c undergoes transits1. GJ1132c transits are almost completely ruled out.
![]() |
Fig. 6 Transit probability of GJ1132c with a Gaussian prior on inclination. We chose the inclination of planet b for the central value of the distribution (ib = 88.68 degrees), and we computed the transit probability for various standard deviations of this distribution (x axis) to reflect both the uncertainty on ib and a small possible non-coplanarity. |
![]() |
Fig. 7 Ephemerides for the GJ1132c inferior conjunction overplotted on Spitzer photometry. Based on this data set, Dittmann et al. (2017a) excluded possible transits of any additional planet larger than Mars. GJ1132c transits are therefore largely excluded. |
4.4 Stellar activity or a cold planet
Based on activity diagnostics, we were not able to rule out stellar activity as the main cause of the 170 d RV periodicity. However, if later observations were to confirm the planetary nature of this signal, GJ1132(d) would have a minimum mass
M⊕, which is in the mass domain between super-Earths and mini-Neptunes. Its semi-major axis ad = 0.35 ± 0.01 AU would place this planet beyond the ice line, with an equilibrium temperature of 86 K (111 K) for a Bond albedo of 0.75 (0.3). Planet d would be ~7.3 times farther away from the star than planet c. A priori, its transit probability would thus be ~ 7.3 lower. Spitzer photometry rejects only a small portion (13%) of possible transit configurations.
4.5 Transit-timing variations
The orbital period ratio of planets b and c is close to 11/2. Even if inside a resonance, its low order would imply low transit-timing variations (TTV). We use the Rebound code (Rein & Liu 2011) with the WHFast integrator (Rein & Tamayo 2015) to compute TTVs for this system. Although not shown here, TTVs were found to be generally lower than 30 s, in agreement with the lack of TTVs found in Dittmann et al. (2017a).
5 Conclusion
To conclude, our HARPS RV follow-up helps to describe the GJ1132 system more completely and with more details. We confirm the detection of planet b based on RVs alone, and we refine its characteristics, including its mass, density, and eccentricity. We also detect at least one new planet in the system. Assuming coplanarity with planet b, GJ1132c is a super-Earth with mass
M⊕. Its equilibrium temperature is that of a temperate planet, although it is probably too close to the star to allow for liquid water on its surface. Finally, we also detect a third Keplerian signal, but its true nature is yet to be decided (planet or stellar activity). If confirmed as a planet, GJ1132(d) would be a super-Earth or mini-Neptune found farther away from the star and beyond the ice line. Further observations, and potentially at other wavelengths with infrared spectrographs such as CARMENES (Quirrenbach et al. 2014; Sarkis et al. 2018) or SPIROU (Delfosse et al. 2013), may help to interpret the true nature of this signal.
Acknowledgements
We are grateful to our referee for comments that significantly improved our manuscript. X.B., J.M.A., and A.W. acknowledge funding from the European Research Council under the ERC Grant Agreement n. 337591-ExTrA. R.C. and R.D. acknowledge financial support from the National Research Council of Canada and the Institute for Research on Exoplanets. N.A-D. acknowledges support from FONDECYT #3180063. N.C.S. acknowledges the support by Fundação para a Ciência e a Tecnologia (FCT, Portugal) through the research grant through national funds and by FEDER through COMPETE2020 by grants UID/FIS/04434/2013&POCI-01-0145-FEDER-007672 and PTDC/FIS-AST/1526/2014&POCI-01-0145-FEDER-016886, as well as through Investigador FCT contract nr. IF/00169/2012/CP0150/CT0002. J.A.D. gratefully acknowledges funding from the Heising-Simons Foundation’s 51 Pegasi b postdoctoral fellowship. E.R.N. is supported by an NSF Astronomy and Astrophysics Postdoctoral Fellowship under award AST-1602597. The MEarth Team gratefully acknowledges funding from the David and Lucille Packard Fellowship for Science and Engineering (awarded to D.C.). This material is based upon work supported by the National Science Foundation under grants AST-0807690, AST-1109468, AST-1004488 (Alan T. Waterman Award), and AST-1616624. E.R.N. is supported by an NSF Astronomy and Astrophysics Postdoctoral Fellowship. This publication was made possible through the support of a grant from the John Templeton Foundation. The opinions expressed in this publication are those of the authors and do not necessarily reflect the views of the John Templeton Foundation. This research has made use ofthe NASA Exoplanet Archive, which is operated by the California Institute of Technology, under contract with the National Aeronautics and Space Administration under the Exoplanet Exploration Program.
Appendix A: Additional figure and table
![]() |
Fig. A.1 Marginal posterior PDFs of the model parameters. See text for details. |
HARPS RV and spectroscopic index time-series.
References
- Anglada-Escudé, G., & Butler, R. P. 2012, Camb. Astrophys. Ser., 20, 15 [CrossRef] [Google Scholar]
- Arlot, S., & Celisse, A. 2010, Statist. Surv., 4, 40 [Google Scholar]
- Astudillo-Defru, N., Bonfils, X., Delfosse, X., et al. 2015, A&A, 575, A119 [NASA ADS] [CrossRef] [EDP Sciences] [Google Scholar]
- Astudillo-Defru, N., Delfosse, X., Bonfils, X., et al. 2017, A&A, 600, A13 [NASA ADS] [CrossRef] [EDP Sciences] [Google Scholar]
- Baranne, A., Queloz, D., Mayor, M., et al. 1996, A&AS, 119, 373 [NASA ADS] [CrossRef] [EDP Sciences] [Google Scholar]
- Beatty, T. G., & Seager, S. 2010, ApJ, 712, 1433 [NASA ADS] [CrossRef] [Google Scholar]
- Berta-Thompson, Z. K., Irwin, J., Charbonneau, D., et al. 2015, Nature, 527, 204 [NASA ADS] [CrossRef] [PubMed] [Google Scholar]
- Boisse, I., Eggenberger, A., Santos, N. C., et al. 2010, A&A, 523, A88 [NASA ADS] [CrossRef] [EDP Sciences] [Google Scholar]
- Bonfils, X., Mayor, M., Delfosse, X., et al. 2007, A&A, 474, 293 [NASA ADS] [CrossRef] [EDP Sciences] [Google Scholar]
- Bonfils, X., Astudillo-Defru, N., Díaz, R., et al. 2018, A&A, 613, A25 [NASA ADS] [CrossRef] [EDP Sciences] [Google Scholar]
- Bouchy, F., Pepe, F., & Queloz, D. 2001, A&A, 374, 733 [NASA ADS] [CrossRef] [EDP Sciences] [Google Scholar]
- Cloutier, R., Astudillo-Defru, N., Doyon, R., et al. 2017a, A&A, 608, A35 [NASA ADS] [CrossRef] [EDP Sciences] [Google Scholar]
- Cloutier, R., Doyon, R., Menou, K., et al. 2017b, AJ, 153, 9 [NASA ADS] [CrossRef] [Google Scholar]
- Delfosse, X., Donati, J.-F., Kouach, D., et al. 2013, in SF2A-2013: Proceedings of the Annual meeting of the French Society of Astronomy and Astrophysics, ed., L. Cambresy, 497 [Google Scholar]
- Dittmann, J. A., Irwin, J. M., Charbonneau, D., Berta-Thompson, Z. K., & Newton, E. R. 2017a, AJ, 154, 142 [NASA ADS] [CrossRef] [Google Scholar]
- Dittmann, J. A., Irwin, J. M., Charbonneau, D., et al. 2017b, Nature, 544, 333 [NASA ADS] [CrossRef] [Google Scholar]
- Donati, J.-F., Yu, L., Moutou, C., et al. 2016, MNRAS, 465, 3343 [Google Scholar]
- Ford, E. B. 2006, ApJ, 642, 505 [NASA ADS] [CrossRef] [Google Scholar]
- Foreman-Mackey, D., Conley, A., Meierjurgen Farr, W., et al. 2013, Astrophysics Source Code Library [record asclascl:1303.002] [Google Scholar]
- Galland, F., Lagrange, A. M., Udry, S., et al. 2006, A&A, 447, 355 [NASA ADS] [CrossRef] [EDP Sciences] [Google Scholar]
- Gillon, M., Bonfils, X., Demory, B.-O., et al. 2011, A&A, 525, A32 [NASA ADS] [CrossRef] [EDP Sciences] [Google Scholar]
- Gillon, M., Triaud, A. H. M. J., Demory, B.-O., et al. 2017, Nature, 542, 456 [NASA ADS] [CrossRef] [PubMed] [Google Scholar]
- Gomes da Silva, J., Santos, N. C., Bonfils, X., et al. 2011, A&A, 534, A30 [NASA ADS] [CrossRef] [EDP Sciences] [Google Scholar]
- Goodman, J., & Weare, J. 2010, Commun. Appl. Math. Comput. Sci., 5, 65 [Google Scholar]
- Haywood, R. D., Collier Cameron, A., Queloz, D., et al. 2014, MNRAS, 443, 2517 [NASA ADS] [CrossRef] [Google Scholar]
- Howarth, I. D., Siebert, K. W., Hussain, G. A. J., & Prinja, R. K. 1997, MNRAS, 284, 265 [NASA ADS] [CrossRef] [Google Scholar]
- Jontof-Hutter,D., Ford, E. B., Rowe, J. F., et al. 2016, ApJ, 820, 39 [NASA ADS] [CrossRef] [Google Scholar]
- Kopparapu, R. k., Wolf, E. T., Haqq-Misra, J., et al. 2016, ApJ, 819, 84 [Google Scholar]
- Lissauer, J. J., Fabrycky, D. C., Ford, E. B., et al. 2011, Nature, 470, 53 [NASA ADS] [CrossRef] [PubMed] [Google Scholar]
- Lissauer, J. J., Jontof-Hutter, D., Rowe, J. F., et al. 2013, ApJ, 770, 131 [NASA ADS] [CrossRef] [Google Scholar]
- Lovis, C., & Pepe, F. 2007, A&A, 468, 1115 [NASA ADS] [CrossRef] [EDP Sciences] [Google Scholar]
- Mayor, M., Pepe, F., Queloz, D., et al. 2003, The Messenger, 114, 20 [NASA ADS] [Google Scholar]
- Morley, C. V., Kreidberg, L., Rustamkulov, Z., Robinson, T., & Fortney, J. J. 2017, ApJ, 850, 121 [Google Scholar]
- Pepe, F., Mayor, M., Galland, F., et al. 2002, A&A, 388, 632 [NASA ADS] [CrossRef] [EDP Sciences] [Google Scholar]
- Pepe, F., Mayor, M., Queloz, D., et al. 2004, A&A, 423, 385 [NASA ADS] [CrossRef] [EDP Sciences] [Google Scholar]
- Press, W. H., Teukolsky, S. A., Vetterling, W. T., & Flannery, B. P. 1992, Numerical Recipes (New York: Cambridge University Press) [Google Scholar]
- Quirrenbach, A., Amado, P. J., Caballero, J. A., et al. 2014, Proc. SPIE, 9147, 91471F [Google Scholar]
- Rajpaul, V., Aigrain, S., Osborne, M. A., Reece, S., & Roberts, S. 2015, MNRAS, 452, 2269 [NASA ADS] [CrossRef] [Google Scholar]
- Rein, H., & Liu, S.-F. 2011, Astrophysics Source Code Library [record ascl ascl:1110.016] [Google Scholar]
- Rein, H., & Tamayo, D. 2015, MNRAS, 452, 376 [NASA ADS] [CrossRef] [Google Scholar]
- Robertson, P., Mahadevan, S., Endl, M., & Roy, A. 2014, Science, 345, 440 [NASA ADS] [CrossRef] [Google Scholar]
- Rogers, L. A. 2015, ApJ, 801, 41 [NASA ADS] [CrossRef] [Google Scholar]
- Sarkis, P., Henning, T., Kürster, M., et al. 2018, AJ, 155, 257 [NASA ADS] [CrossRef] [Google Scholar]
- Schaefer, L., Wordsworth, R. D., Berta-Thompson, Z., & Sasselov, D. 2016, ApJ, 829, 63 [NASA ADS] [CrossRef] [Google Scholar]
- Southworth, J., Mancini, L., Madhusudhan, N., et al. 2017, AJ, 153, 191 [NASA ADS] [CrossRef] [Google Scholar]
- Steffen, J. H., Fabrycky, D. C., Agol, E., et al. 2013, MNRAS, 428, 1077 [NASA ADS] [CrossRef] [Google Scholar]
- Xie, J.-W. 2014, APJS, 210, 25 [NASA ADS] [CrossRef] [Google Scholar]
- Zechmeister, M., & Kürster, M. 2009, A&A, 496, 577 [NASA ADS] [CrossRef] [EDP Sciences] [Google Scholar]
- Zeng, L., & Sasselov, D. 2013, PASP, 125, 227 [NASA ADS] [CrossRef] [Google Scholar]
0.43% is the upper limit considering a standard deviation of 1 degree in our above calculations, and for all other standard deviations, the posterior probability is lower than 0.43%.
All Tables
All Figures
![]() |
Fig. 1 Iterative periodogram analysis. Left column: RV times series before any subtraction (panel a), after subtracting a one-Keplerian fit (panel d) and after subtraction of a two-Keplerian fit (panel g). Middle column: periodograms for each RV time series in the left column. Right column: RV time series shown in the left column phase-folded to the period of maximum power shown in the periodograms of the middle column. The best sine fit is superimposed. Dash-dotted (resp. dotted) lines in panels b, e, and h are placed at a power level corresponding to a false-alarm probability of 1% (resp. 0.1%). |
| In the text | |
![]() |
Fig. 2 Periodogram of spectral indices measured on HARPS spectra. Ca , Na , Hβ, and Hα Are shown from top to bottom. The period of the stellar rotation is shown with a vertical full line, and the periods of the three Doppler signals attributed to GJ1132b, GJ1132c, and GJ1132(d) are shown with vertical dashed lines. |
| In the text | |
![]() |
Fig. 3 Phase-folded RV decomposition for the three-planet model without GP regression. |
| In the text | |
![]() |
Fig. 4 RV residuals (O−C) as a function of time. |
| In the text | |
![]() |
Fig. 5 Mass–radius diagram for planets with masses Mp < 20 M⊕ and radii Rp < 3.5 R⊕ queried from the NASA Exoplanet Archive. The gray level scales linearly with the relative uncertainties (with equal weight for both mass and radius). GJ1132b is shown in red, and blue circles show Earth and Venus. Curves are for the mass–radiusrelations predicted with theoretical models (Zeng & Sasselov 2013). |
| In the text | |
![]() |
Fig. 6 Transit probability of GJ1132c with a Gaussian prior on inclination. We chose the inclination of planet b for the central value of the distribution (ib = 88.68 degrees), and we computed the transit probability for various standard deviations of this distribution (x axis) to reflect both the uncertainty on ib and a small possible non-coplanarity. |
| In the text | |
![]() |
Fig. 7 Ephemerides for the GJ1132c inferior conjunction overplotted on Spitzer photometry. Based on this data set, Dittmann et al. (2017a) excluded possible transits of any additional planet larger than Mars. GJ1132c transits are therefore largely excluded. |
| In the text | |
![]() |
Fig. A.1 Marginal posterior PDFs of the model parameters. See text for details. |
| In the text | |
Current usage metrics show cumulative count of Article Views (full-text article views including HTML views, PDF and ePub downloads, according to the available data) and Abstracts Views on Vision4Press platform.
Data correspond to usage on the plateform after 2015. The current usage metrics is available 48-96 hours after online publication and is updated daily on week days.
Initial download of the metrics may take a while.







