Free Access

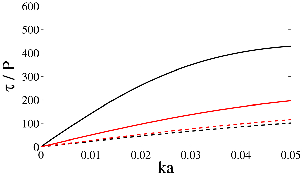
Fig. 5.

image

Ratio of the damping time and period of the torsional wave versus the longitudinal wave number when the plasma-β is equal to zero (black lines) and equal to 0.5 (red lines). The solid lines are for when the tube is rotating ℛ = 0.2 without twist, while the dashed lines are for when the tube is twisted 𝒦 = 0.2 without rotation. The plots have been obtained using the analytic expression represented by Eq. (20).

Current usage metrics show cumulative count of Article Views (full-text article views including HTML views, PDF and ePub downloads, according to the available data) and Abstracts Views on Vision4Press platform.

Data correspond to usage on the plateform after 2015. The current usage metrics is available 48-96 hours after online publication and is updated daily on week days.

Initial download of the metrics may take a while.