| Issue |
A&A
Volume 618, October 2018
|
|
|---|---|---|
| Article Number | A82 | |
| Number of page(s) | 7 | |
| Section | The Sun | |
| DOI | https://doi.org/10.1051/0004-6361/201832620 | |
| Published online | 16 October 2018 | |
Helical and rotating plasma structures in the solar atmosphere
1
Department of Physics, Faculty of Sciences, University of Birjand, Shahid Aviny Street, Birjand, Iran
2
Department of Physics, Tafresh University, Tafresh, 39518 79611 Iran
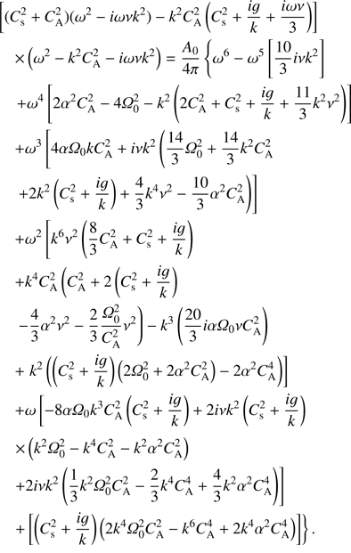
e-mail: This email address is being protected from spambots. You need JavaScript enabled to view it.
Received:
11
January
2018
Accepted:
9
July
2018
Abstract
Aims. We model helical or rotating signatures in the solar atmosphere to further understand the efficiency of the equilibrium conditions, for example magnetic twist, rotation, plasma-β, and viscous effects on the life of solar helical structures.
Methods. Solar rotating structures, such as tornadoes, spirals, and whirls are modelled by considering a rotating and twisted magnetic cylinder residing in an environment with a straight magnetic field. A macroscopic approach proves adequate for working on the phase speed and damping of waves in solar atmospheric structures; as such, the magnetohydrodynamic theory is implemented. In this way the second order thin flux tube approximation is used for obtaining expressions for the frequency, deceleration, and damping of torsional waves in solar plasma structures in the presence of equilibrium rotation, magnetic twist, viscosity, and gravity.
Results. The dependency of the dissipation effects regarding the torsional wave in the linear regime is highlighted. The dispersion relation for axisymmetric oscillations propagating along a rotating and twisted solar cylindrical plasma structure in the presence of plasma viscosity and gravity is obtained. In this way we present explicit expressions for the oscillation and damping of torsional waves. The explicit expressions shed light on the influence of the equilibrium and environmental conditions on the speed deceleration, frequency, and damping of the torsional wave that exists in various layers of the solar atmosphere. The dispersion of the torsional wave is highly controlled by the combined effects of the rotation and the plasma-β, where when both are zero, the magnetic twist becomes significant only when the plasma resistivity comes into play. Regarding damping, the dominant actor for coronal conditions is the magnetic twist. However, since the damping time is highly dependent on the plasma-β, for photospheric conditions, the rotation becomes very significant. The damping of torsional waves is inversely proportional to the elevation of the rotating structure. This means that if the torsional wave survives through the photosphere and chromosphere, the chance for it to extend through the corona and solar wind is very high by gradually dissipating energy, which gives more opportunity for it to be observed.
Key words: magnetohydrodynamics (MHD) / waves / Sun: corona / Sun: activity
© ESO 2018
1. Introduction
Today on hearing the term wave propagation, regardless of the context of discussion, the primary impression that comes to mind is energy transport. The fact of the matter is that energy is transported by waves as long as the wave itself propagates. Nonetheless an inevitable process known as dissipation comes into play as the wave oscillates. In the context of the present study the waves under consideration are magnetohydrodynamic (MHD) waves and the propagation domain is the solar atmosphere.
The solar atmosphere is decorated with various events that are structured by magnetic fields, for example coronal mass ejections, loops, jets, and tornadoes. These structures are not only beautiful but also interesting. They are interesting because of their physics. The physics in these structures provides us with knowledge of the general question of the solar atmosphere, which gives rise to questions on solar wind acceleration and coronal heating. The contribution of the present study is towards coronal heating by dissipation of magnetohydrodynamic waves. The propagation of MHD waves in solar magnetic structures could be affected by various dissipation mechanisms. Dissipation could be either due to the nature of the waves (Edwin & Roberts 1983) or due to the conditions of the plasma structure guiding the wave (Goossens et al. 1992).
In the absence of viscosity, magnetic diffusion, and the gravitational field, all MHD waves except for the Alfvén wave actually experience dispersion (Edwin & Roberts 1983). The dispersion increases the wave speed as the longitudinal wave number tends to smaller values. This causes the fast magnetoacoustic waves to leak out of the plasma structure and experience damping (Cally 1986). The leaking wave number where the waves start to damp (Nakariakov et al. 2012) together with the damping time (Vasheghani Farahani et al. 2014) are proportional to the density ratio of the internal and external environments. Concerning the density ratio, another dissipation mechanism known as mode conversion greatly depends on the density contrast of the internal and external media (Pascoe et al. 2016). Another mechanism that affects the propagation of torsional waves and contributes towards heating is the Kelvin–Helmholtz instability (Zaqarashvili et al. 2015), where it was proved that the interplay of the rotation and magnetic twist governs the onset of the instability.
However, in the presence of magnetic diffusion and plasma viscosity (Hollweg 1985, 1986), the MHD waves in plasma structures (Laing & Edwin 1995; Litvinenko 2005) or in the neighbourhood of reconnection sites are bound to dissipate (Craig et al. 2005; Craig & Litvinenko 2007; McMahon 2017). However, what if the system is almost ideal? A famous dissipation mechanism comes into play when inhomogeneities at the boundary of the solar structure are present (Ofman & Davila 1995); this mechanism is due to resonant absorption (Goossens et al. 1992). For kink oscillations inside a hot coronal jet observed by Cirtain et al. (2007), the damping time due to resonant absorption (Van Doorsselaere et al. 2004) limits the oscillations to a few periods (Vasheghani Farahani et al. 2009). Regarding the resonant absorption of the kink wave in other solar structures, it is interesting to study for example Arregui et al. (2005).
Dissipation is an inevitable process that stands against wave propagation. When the wave dissipates and how gradual is the dissipation process is of interest for coronal seismology. Various dissipation mechanisms (Cargill et al. 2016; Montes-Solís & Arregui 2017) have been studied, for example for Alfvén waves (Ryu & Huynh 2017; Gupta 2017), kink waves (Goddard & Nakariakov 2016; Morton & Mooroogen 2016; Magyar & Van Doorsselaere 2016; Pascoe et al. 2017), quasi periodic pulsations (Cho et al. 2016), and slow magnetoacoustic waves (Mandal et al. 2016; Krishna Prasad et al. 2017), which provide insight into the energy release of MHD waves in the solar atmosphere and its contribution towards coronal heating.
In the context of the present study the damping and deceleration of the torsional wave in coronal structures, such as tornadoes and spirals, is taken under consideration. However, prior to this study, the dissipation of slow magnetoacoustic waves propagating in solar plumes in the presence of viscosity and stratification has been studied. It is understood that the slow magnetoacoustic wave reaches its maximum amplitude when elevated up the solar atmosphere to about one solar radius before starting to damp (Ofman et al. 2000). Regarding the Alfvén wave, the amplitude and speed peak around six to eight solar radii depending on the temperature and initial speeds (Nakariakov et al. 2000). In the present study, it is the torsional Alfvén wave, which is in the category of fast waves (Zhugzhda & Nakariakov 1999; Vasheghani Farahani et al. 2010), that is considered. It was shown by Vasheghani Farahani et al. (2017) that, in the presence of equilibrium magnetic twist and rotation, the torsional wave possesses a collective behaviour and acts as a mode. This is while the torsional Alfvén wave is incompressible and does not perturb its neighbouring magnetic surfaces, and therefore is not considered as a mode.
In the present study we derive analytic explicit expressions for the dispersion relation, frequency, speed, and damping of torsional waves propagating in rotating plasma structures in the presence of equilibrium rotation, twist, viscosity, and gravity. This provides insight into the role of the equilibrium actors and the environmental actors on the life and nature of the rotating structure. The results obtained by explicit expressions are compared with those obtained numerically. The dependency of the environmental effects on the equilibrium conditions regarding wave propagation and damping is another feature that is of importance in the present study. The findings of the present study, especially the dependencies of the physical parameters on the rotation, are important in the context of the recent observations of whirls (Komm et al. 2014), spirals, and tornadoes (Wedemeyer & Steiner 2014) in the solar atmosphere (see also Kato & Wedemeyer 2017).
2. Model and equilibrium conditions
Consider a magnetic cylinder inserted into a zero plasma-β magnetic medium with a high magnetic Reynolds number (Fig. 1). The cylinder is initially rotating (Ω0 ≠ 0) and twisted (Bφ0 ≠ 0) while the external medium is static. The z-components of the equilibrium magnetic field for the internal and external mediums are respectively represented by Bz0 and Bz0e, while the equilibrium internal plasma pressure is denoted by p0. Since the external medium is considered almost to be a vacuum, the external plasma pressure is zero, which is an appropriate assumption for the solar coronal conditions (see e.g. Zhugzhda 1996; Zhugzhda & Nakariakov 1999; Vasheghani Farahani et al. 2010). The internal medium is a finite plasma-β regime with a non-zero plasma viscosity (ν ≠ 0) in the presence of solar gravity. Here the macroscopic aspect of the solar plasma structure is to be studied. Therefore magnetohydrodynamic (MHD) theory is used. The MHD set equations appropriate for solar plasma structures under consideration in the present study are
(1)
(2)
(3)
(4)
(5)
For focusing on the effects regarding the equilibrium twist and rotation, the second order thin flux tube approximation proves adequate.
An advantageous approach for working on long-wavelength axisymmetric (torsional, longitudinal, and sausage) perturbations of magnetic flux tubes is the second order thin flux-tube approximation derived by Zhugzhda (1996). This approximation enables an analytical study regarding the role of equilibrium rotation and magnetic twist on the perturbations inside the plasma cylinder. This approach generalises the classical thin flux-tube theory of Roberts & Webb (1978). In particular, this approach enables us to consider the effects of the long-wavelength dispersion connected with the presence of the characteristic spatial scale, the tube diameter, on the wave propagation (Zhugzhda 1996). An intensive following-up discussion (Zhugzhda & Goossens 2001; Zhugzhda 2002, 2005; Ruderman 2005) revealed the necessity to pay attention to the induced perturbations in the external medium (see also Vasheghani Farahani et al. 2017). However, this is of course not necessary if the external medium is a vacuum, and the plasma confinement is fulfilled by the internal magnetic twist. However, without the consideration of the equilibrium twist and rotation, the theory developed in Roberts & Webb (1978) and Edwin & Roberts (1983) is more appropriate since it provides a deeper insight into the radial dependencies of the perturbations. Nonetheless, in the long-wavelength limit, which is of interest in the present study (where the cylinder radius is much smaller than the wavelength), the second order thin flux-tube approach is implemented to make the radial dependencies of the physical quantities linear. Therefore the Taylor expansions of the physical quantities around the cylinder axis (r = 0) are performed (Zhugzhda 1996):
(6)
where B and υ respectively represent the magnetic and velocity fields; ρ and p respectively represent the density and pressure of the medium. The three components of the fields are shown by indices in the cylindrical coordinate system, where the number in the indices represents the order of derivative with respect to r. The variables J = Bφ/r and Ω = υφ/r are respectively the zeroth-order values of the current density and vorticity. The parallel component of the velocity and the radial derivative of the velocity are represented by u and υr1, which from hereafter shall be represented with
. The superposed tildes in the expansions of the variables represent the zeroth-order terms. By substituting the Taylor expansions stated in Eq. (6) and linearising the physical quantities around the equilibrium, the linearised set of equations regarding the propagation of axisymmetric (∂/∂φ = 0) MHD oscillations in cylindrical plasma structures would be
(7)
(8)
(9)
(10)
(11)
(12)
(13)
where A0 = πa2 represents the equilibrium tube cross section. Since the external medium is considered to be a vacuum, regarding the external medium, only the equilibrium external magnetic pressure term
contributes towards the pressure balance. It is worth stating that after substituting the Taylor expansions stated by Eq. (6) in the MHD set equations, we ought to have terms either with zero indices, which represent the equilibrium quantities, or terms with overtildes, which represent the perturbed quantities. However, in Eqs. (7)–(13) the overtildes that are over the zeroth-order perturbations are omitted.
The equilibrium pressure balance condition for the configuration under consideration in the present study is
(14)
where, by combing Eqs. (13) and (14), the equation for the pressure balance at the tube boundary is obtained as
(15)
In obtaining Eqs. (7)–(13), the conservation of magnetic flux, BzA = const., has been imposed.
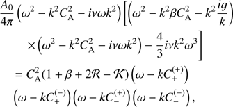
The linear expressions represented by Eqs. (7)–(13) are a generalisation of Eqs. (2)–(11) of Vasheghani Farahani et al. (2010) with additional features like gravitational and viscous effects. These features would extend our knowledge of the emergence caused by the correlation of the plasma rotation and magnetic twist in the presence of gravitational and viscous effects. Continuing this approach, we go on to write the dispersion relation for the axisymmetric oscillations. In order to obtain the dispersion relation for the oscillations under consideration in the context of the present study, we consider linear perturbations proportional to expi(ωt − kz) and therefore substitute iω instead of ∂/∂t and −ik instead of ∂/∂z, as such we obtain
(16)
It is important to state that the gravity is taken as a constant and is not dependent on the z-component of the cylinder. The reason for this is that here the concentration is on the effects connected to the equilibrium twist and rotation, therefore the gravity is just a parameter that here is just supposed to reflect its influence regarding the equilibrium conditions, namely twist and rotation. The Alfvén (CA) and sound (Cs) speeds are defined as
(17)
In the present study the current density J is used to represent the magnetic twist Bφ, and the vorticity Ω is used to represent the rotation υφ. However, the parameter α is equal to J0/Bz0, where J0 represents the equilibrium twist. We note that in obtaining the dispersion relation represented by Eq. (16) we have complied with the conservation laws of angular momentum and magnetic flux. Equation (16) could be written in the form
(18)
where solving the fourth order equation with respect to ω would be
(19)
which makes an explicit expression for the frequency of the torsional wave as
(20)
where we have used the dimensionless parameters 𝒦 = a2α2/2 and
to represent the equilibrium twist and rotation, with a being the equilibrium radius and α = J0/Bz0. The speeds C+ and C− respectively represent the speed propagation of torsional wave
(21)
which is a fast magnetoacoustic wave, and the slow wave
(22)
which is a longitudinal wave. The positive superscripts for C+ and C− indicate the direction of the waves, where we have
(23)
(24)
(25)
(26)
(27)
(28)
(29)
(30)
(31)
It was shown by Zhugzhda & Nakariakov (1999) that whenever the solar plasma structure possesses equilibrium twist, rotation, or both (Vasheghani Farahani et al. 2010) the torsional wave speed is modified. This modification shows how a fast magnetoacoustic torsional wave is formed, where it possesses a collective behaviour that also depends on the density ratios of the environments, internal and external to the plasma structure (Vasheghani Farahani et al. 2017).
Equations (20) and (21) provide a general explicit expression for the frequency and speed of the torsional wave by taking into account most equilibrium and environmental actors influencing wave propagation in a solar plasma structure. The fact of the matter is that Eq. (20) enables a direct understanding on the influence of the equilibrium twist, equilibrium rotation, plasma-β, gravity, and viscosity individually and together with their combined effects. Equation (20) is an explicit dispersion relation for the effects of the helical and rotational properties of a plasma structure on the environmental effects connected to oscillation and damping of torsional waves; this provides insight into the long-standing problem regarding coronal heating. In order to test the robustness of our explicit expression obtained analytically for the dispersion relation (Eq. (20)) of the torsional wave, we plot the frequency against the longitudinal wave number using the implicit expression (Eq. (19)) and compare it with our explicit expression. This comparison is shown in Fig. 2 where the torsional wave frequency is plotted against the longitudinal wave number.
In Fig. 2 the effect of the equilibrium twist and rotation is shown on the dispersion of the torsional wave frequency. The solid lines are obtained numerically from the general implicit expression represented by Eq. (19), while the dashed lines are plotted using the explicit expression represented by Eq. (20). The frequency of the torsional wave that is normalised by the Alfvén wave frequency is plotted versus the longitudinal wave number for typical parameters of a solar plasma structure. For the blue lines we have taken the equilibrium twist 𝒦 and rotation ℛ respectively equal to 0.4 and 0.1, while for the red lines the equilibrium twist and rotation are taken respectively equal to 0.1 and 0.4. We can see that when the equilibrium twist is higher, the frequency is increased (blue lines) while when the equilibrium rotation is higher (red lines) the frequency is decreased. The fine consistency of the lines can be clearly observed; in fact the divergence of the lines can hardly be noticed especially for the red lines, which proves adequate to count on the explicit expressions obtained in the present study for understanding the behaviour of torsional waves and implementing them as tools in the study of coronal seismology.
Before proceeding with the damping and deceleration of the torsional wave, it is worth exhibiting the dispersion of the torsional wave propagating in solar plasma structures in various layers of the solar atmosphere due to the equilibrium conditions. This is shown by surfing the torsional wave frequency using Eq. (19) presented in the two panels of Fig. 3, where the interplay of the equilibrium rotation and magnetic twist of the plasma structure guiding the torsional wave is pictured for coronal (top panel) and photospheric (bottom panel) conditions. By taking a close look at the top panel, we can see that the equilibrium twist does not affect the frequency in the zero plasma-β limit as long as the structure is non-rotating. However, the equilibrium rotation is effective even in the absence of the magnetic twist. By increasing the value of the equilibrium rotation, the equilibrium twist shows more significance when the plasma-β is non-zero. This is a feature of a fast magnetiacoustic wave, which propagates faster than the Alfvén wave. Under the condition that the equilibrium twist and rotation cancel out each others’ effects (see also Vasheghani Farahani et al. 2017), the frequency is exactly equal to the Aflvén wave frequency. It could be deduced that the efficiency of the equilibrium twist strongly depends on the plasma-β.
The interplay of the equilibrium magnetic twist and rotation in the long wavelength limit (ka = 0.1) is another aspect of Fig. 3. Although the equilibrium twist increases the torsional wave speed, while the equilibrium rotation decreases it (Vasheghani Farahani et al. 2017). Nonetheless, the dominant actor for the dispersion of the torsional wave is the equilibrium rotation. This can be seen by the sudden increase in the frequency with the initiation of the rotation. It is now time to deal with the damping of the torsional wave. The damping, as in the case for the frequency, could be either calculated numerically from Eq. (19) or analytically by Eq. (20). The question that arises is whether the twist or rotation or their combined effects influence the damping, and consequently the damping time, or not? Perhaps this cannot be answered easily by looking at the implicit dispersion relation expressed by Eq. (19), but this question can be answered by considering Eq. (20). The imaginary terms on the right hand side of Eq. (20) give the damping of the torsional wave due to the environmental effects, for example viscosity, gravity, and equilibrium conditions. In Fig. 4 the torsional wave damping has been pictured for coronal conditions accounting for the normalised viscosity equal to 10−5, gravity equal to 274 m s−2, and local Alfvén speed equal to 1000 km s−1. The plasma-β is taken to be equal to 0.1. The blue curve represents the damping when the magnetic structure is untwisted and non-rotating. This is where the damping is lowest and is only due to the environmental conditions such as viscosity and stratification. However, as the wave number increases the dissipation also increases as dispersion itself is a dissipative effect. The red and black solid lines are for when the flux tube is untwisted but rotating with respective values equal to 0.1 and 0.2. The red and black dashed lines are for when the flux tube is non-rotating but twisted with respective values equal to 0.1 and 0.2. As in both cases the black curves are above the red curves, we can say that, for coronal conditions, either a higher twist or a higher rotation increases the damping.
In order to see how many periods the torsional wave will oscillate in various layers of the solar atmosphere before damping and transferring its energy to other faces, the ratio of the damping time and period of the torsional wave with respect to the wave number is plotted (Fig. 5). The top two solid lines are plotted for an initially rotating (ℛ = 0.2) and untwisted (𝒦 = 0) plasma structure, while the two bottom dashed lines are plotted for an initially twisted (𝒦 = 0.2) and non-rotating (ℛ = 0) structure. The black curves represent the damping in coronal conditions where the plasma-β is equal to zero, while the red curves are plotted for chromospheric-photospheric conditions where the plasma-β is taken to be equal to 0.5. The influence of the plasma-β on a plasma structure that is only rotating is different from that on a plasma structure that is only twisted. This can be readily seen from Fig. 5 where the damping time of the torsional wave for the rotating and untwisted structure (solid lines) experiences a decrease. This is because the red line is lower than the black line. However, for the twisted and non-rotating structure (dashed lines) the red curve is higher than the black curve, which is an indication of a later damping time. This means that the damping time for various equilibrium conditions varies with the location of the initiating wave.
In the end it is instructive to perform a case study. Although our dispersion relations presented by Eqs. (19) and (20) provide a complete insight into the propagation, deceleration, and damping of the torsional wave in various layers of the solar atmosphere, it may still look complicated. As such we perform a more convenient expression without loss of generality by neglecting higher order terms. This enables us to understand the equilibrium conditions together with the environmental effects at the same time. This may better highlight the individual impact of each actor besides their interplay and competition.
![]() |
Fig. 5. Ratio of the damping time and period of the torsional wave versus the longitudinal wave number when the plasma-β is equal to zero (black lines) and equal to 0.5 (red lines). The solid lines are for when the tube is rotating ℛ = 0.2 without twist, while the dashed lines are for when the tube is twisted 𝒦 = 0.2 without rotation. The plots have been obtained using the analytic expression represented by Eq. (20). |
Consider a twisted, non-rotating magnetic flux tube guiding a torsional wave in the solar corona where the solar gravity is neglected. In this case Eq. (21), which represents the fast magnetoacoustic wave speed, simplifies to
(32)
(33)
which gives
(34)
where the effect of one of the equilibrium conditions, which is the twist (𝒦), and one of the atmospheric conditions, which is the viscosity (ν), is clearly visible. The deceleration of the torsional wave speed could be directly understood from the second term on the RHS of Eq. (34). Also the damping due to the plasma resistivity is clearly shown by the presence of the third term on the RHS of Eq. (34). Since the viscosity is small for coronal conditions, the deceleration is not very strong in the long wavelength limit, but in the long run would gradually become significant.
![]() |
Fig. 1. Equilibrium configuration of a rotating (Ω0) and magnetically twisted (B0(0, Bφ0, Bz0)) cylindrical solar plasma structure with radius a and cross section A0 = πa2. The plasma structure with an equilibrium pressure denoted by p0 is embedded in a zero-β medium with an equilibrium magnetic field represented by Bz0e. The solar gravity is represented by g, while viscosity is represented by ν. |
![]() |
Fig. 2. Frequency of the torsional wave (normalised by the Alfvén wave frequency) versus the longitudinal wave number for typical parameters of a solar plasma structure. The solid lines are obtained numerically from Eq. (19) while the dashed lines are plotted from the analytic expression represented by Eq. (20). For the blue lines we have 𝒦 = 0.4, ℛ = 0.1, while for the red lines we have 𝒦 = 0.1, ℛ = 0.4. |
![]() |
Fig. 3. Frequency dependence of the torsional wave (normalised by the Alfvén wave frequency) on the dimensionless parameters representing the equilibrium twist 𝒦 and rotation ℛ at ka = 0.1. The combined effects of the equilibrium twist and rotation are pictured. In the top panel the plasma-β is taken to be zero, while in the bottom panel the plasma-β is taken to be equal to 0.5. The surface plots are obtained using the full dispersion relation (Eq. (19)). |
![]() |
Fig. 4. Damping of the torsional wave normalised by the Alfvén wave frequency versus the longitudinal wave number for coronal conditions where we have the normalised viscosity ν/(RSunCA)=10−5, the gravity g = 274 m s−2, the local Alfvén speed CA = 1000 km s−1, and the plasma-β = 0.1. The red and black solid lines are for when the plasma structure is only rotating with values equal to 0.1 and 0.2, respectively, while the red and black dashed lines are for when the tube is only twisted with respective values of 0.1 and 0.2. The blue curve is for an untwisted and non-rotating flux tube. The plots have been obtained using the analytic expression represented by Eq. (20). |
3. Discussions and conclusions
In the solar atmosphere MHD waves interact with the plasma. When a gradient in the density is present, a wave guide is created that guides waves leading to the appearance of collective modes. In this work a magnetized cylindrical structure whose density is higher than its surroundings has been taken into consideration. The interplay of the equilibrium twist and rotation exhibits interesting features of the nature of the torsional wave that are of interest for coronal seismology. We considered a twisted and rotating magnetic flux tube, which resembles a solar spiral or tornado, and studied the influence of its helical properties on other dissipating parameters linked to the oscillations of the torsional waves.
The analytic expressions obtained for the dependence of the phase speed of the torsional wave on the equilibrium twist and rotation enabled a quantitative study of the interplay of various actors on its propagation. The comparison of the explicit expressions obtained for the phase speed of the torsional wave in the present study with the implicit version, in all cases proved adequate for the robustness of the explicit expressions. This is reflected in the figures where the numerical results are compared with analytic solutions.
The full dispersion relation for axisymmetric oscillations in the long wavelength limit has been obtained by showing the joint effects of the equilibrium twist and rotation with the viscosity and gravity (Eq. (19)). An explicit expression for the dependency of the torsional wave frequency in the presence of viscosity, equilibrium, and environmental conditions on the wave number has been obtained (Eq. (20)). This explicit dispersion relation also gives the damping and deceleration of the torsional wave guided by solar plasma structures. The fine consistency between the full dispersion relation and the explicit expressions for the frequency, damping, and speed of the torsional wave justifies the model and results.
The magnetic twist owes its efficiency on the torsional wave frequency to not only the flux-tube rotation and coronal conditions, but also to the viscosity and gravity. In a zero plasma-β structure that is non-rotating, the magnetic twist acts very weakly on the torsional wave frequency (Fig. 3). If in such conditions the viscosity and solar gravity become negligible, the magnetic twist, no matter how large, would be completely neutral without any effect on the frequency.
The damping of the torsional wave due to viscosity in solar structures is proportional to the strength of the magnetic twist and rotation. Although the Alfvén wave damping takes place when viscosity and gravity exist, the plasma-β makes no contribution towards its damping in the absence of viscosity and gravity. However, the plasma-β actually does significantly affect the damping time of the torsional wave due to viscosity when the equilibrium twist and rotation are both present. This means that the damping time for photospheric conditions due to the interplay of the magnetic twist and rotation is quite less than for coronal conditions (Fig. 5). However, the equilibrium twist compared to the rotation is less sensitive to the location of the plasma structure.
The deceleration and damping of the torsional wave in the long wavelength limit due to the equilibrium twist in the absence of the plasma-β and equilibrium rotation, unlike for the frequency which is very weak, may actually have significance (Eq. (34)). However, this damping is slow, allowing the wave to damp and dissipate energy gradually.
The dissipation of waves propagating in solar structures owe their efficiency not only to the parameters that give impressions regarding resistivity and deceleration by their names, such as plasma viscosity and solar gravity, but also to equilibrium conditions and atmospheric situations. The location of the wave in the solar atmosphere strongly affects the dissipation and damping of the waves, since in the presence of magnetic twist or rotation or both the damping time for the wave propagation may be extremely modified. The damping and deceleration of MHD waves give an impression of where the energy of the wave is transformed to heat contributing towards coronal heating. The damping of torsional waves in coronal conditions is quite slow meaning that one could count on observing them in the outer layers of the solar atmosphere. When the observation is carried out and the observables like the propagation speed and the viscosity are measured, by implementing for instance Eq. (34), the magnetic twist could be estimated, which contributes towards our understanding of coronal seismology.
References
- Arregui, I., Van Doorsselaere, T., Andries, J., Goossens, M., & Kimpe, D. 2005, A&A, 441, 361 [NASA ADS] [CrossRef] [EDP Sciences] [Google Scholar]
- Cally, P. S. 1986, Sol. Phys., 103, 277 [NASA ADS] [CrossRef] [Google Scholar]
- Cargill, P. J., De Moortel, I., & Kiddie, G. 2016, ApJ, 823, 31 [NASA ADS] [CrossRef] [Google Scholar]
- Cho, I.-H., Cho, K.-S., Nakariakov, V. M., Kim, S., & Kumar, P. 2016, ApJ, 830, 110 [NASA ADS] [CrossRef] [Google Scholar]
- Cirtain, J. W., Golub, L., Lundquist, L., et al. 2007, Science, 318, 1580 [NASA ADS] [CrossRef] [PubMed] [Google Scholar]
- Craig, I. J. D., & Litvinenko, Y. E. 2007, ApJ, 667, 1235 [NASA ADS] [CrossRef] [Google Scholar]
- Craig, I. J. D., Litvinenko, Y. E., & Senanayake, T. 2005, A&A, 433, 1139 [NASA ADS] [CrossRef] [EDP Sciences] [Google Scholar]
- Edwin, P. M., & Roberts, B. 1983, Sol. Phys., 88, 179 [NASA ADS] [CrossRef] [Google Scholar]
- Goddard, C. R., & Nakariakov, V. M. 2016, A&A, 590, L5 [NASA ADS] [CrossRef] [EDP Sciences] [Google Scholar]
- Goossens, M., Hollweg, J. V., & Sakurai, T. 1992, Sol. Phys., 138, 233 [NASA ADS] [CrossRef] [Google Scholar]
- Gupta, G. R. 2017, ApJ, 836, 4 [NASA ADS] [CrossRef] [Google Scholar]
- Hollweg, J. V. 1985, J. Geophys. Res., 90, 7620 [NASA ADS] [CrossRef] [Google Scholar]
- Hollweg, J. V. 1986, ApJ, 306, 730 [NASA ADS] [CrossRef] [Google Scholar]
- Kato, Y., & Wedemeyer, S. 2017, A&A, 601, A135 [NASA ADS] [CrossRef] [EDP Sciences] [Google Scholar]
- Komm, R., Gosain, S., & Pevtsov, A. 2014, Sol. Phys., 289, 475 [NASA ADS] [CrossRef] [Google Scholar]
- Krishna Prasad, S., Jess, D. B., Van Doorsselaere, T., et al. 2017, ApJ, 847, 5 [NASA ADS] [CrossRef] [Google Scholar]
- Laing, G. B., & Edwin, P. M. 1995, Sol. Phys., 161, 269 [NASA ADS] [CrossRef] [Google Scholar]
- Litvinenko, Y. E. 2005, Sol. Phys., 229, 203 [NASA ADS] [CrossRef] [Google Scholar]
- Magyar, N., & Van Doorsselaere, T. 2016, A&A, 595, A81 [NASA ADS] [CrossRef] [EDP Sciences] [Google Scholar]
- Mandal, S., Magyar, N., Yuan, D., Van Doorsselaere, T., & Banerjee, D. 2016, ApJ, 820, 13 [NASA ADS] [CrossRef] [Google Scholar]
- McMahon, L. C. 2017, Phys. Plasmas, 24, 052304 [NASA ADS] [CrossRef] [Google Scholar]
- Montes-Solís, M., & Arregui, I. 2017, ApJ, 846, 89 [NASA ADS] [CrossRef] [Google Scholar]
- Morton, R. J., & Mooroogen, K. 2016, A&A, 593, A59 [NASA ADS] [CrossRef] [EDP Sciences] [Google Scholar]
- Nakariakov, V. M., Ofman, L., & Arber, T. D. 2000, A&A, 353, 741 [NASA ADS] [Google Scholar]
- Nakariakov, V. M., Hornsey, C., & Melnikov, V. F. 2012, ApJ, 761, 134 [NASA ADS] [CrossRef] [Google Scholar]
- Ofman, L., & Davila, J. M. 1995, J. Geophys. Res., 100, 23413 [NASA ADS] [CrossRef] [Google Scholar]
- Ofman, L., Nakariakov, V. M., & Sehgal, N. 2000, ApJ, 533, 1071 [Google Scholar]
- Pascoe, D. J., Goddard, C. R., Nisticò, G., Anfinogentov, S., & Nakariakov, V. M. 2016, A&A, 585, L6 [NASA ADS] [CrossRef] [EDP Sciences] [Google Scholar]
- Pascoe, D. J., Anfinogentov, S., Nisticò, G., Goddard, C. R., & Nakariakov, V. M. 2017, A&A, 600, A78 [NASA ADS] [CrossRef] [EDP Sciences] [Google Scholar]
- Roberts, B., & Webb, A. R. 1978, Sol. Phys., 56, 5 [NASA ADS] [CrossRef] [Google Scholar]
- Ruderman, M. S. 2005, Phys. Plasmas, 12, 034701 [NASA ADS] [CrossRef] [Google Scholar]
- Ryu, C.-M., & Huynh, C. T. 2017, MNRAS, 471, 2237 [NASA ADS] [CrossRef] [Google Scholar]
- Van Doorsselaere, T., Andries, J., Poedts, S., & Goossens, M. 2004, ApJ, 606, 1223 [NASA ADS] [CrossRef] [Google Scholar]
- Vasheghani Farahani, S., Van Doorsselaere, T., Verwichte, E., & Nakariakov, V. M. 2009, A&A, 498, 129 [NASA ADS] [CrossRef] [EDP Sciences] [Google Scholar]
- Vasheghani Farahani, S., Nakariakov, V. M, & Van Doorsselaere, T. 2010, A&A, 517, A29 [NASA ADS] [CrossRef] [EDP Sciences] [Google Scholar]
- Vasheghani Farahani, S., Hornsey, C., Van Doorsselaere, T., & Goossens, M. 2014, ApJ, 781, 92 [NASA ADS] [CrossRef] [Google Scholar]
- Vasheghani Farahani, S., Ghanbari, E., Ghaffari, G., & Safari, H. 2017, A&A, 599, A19 [NASA ADS] [CrossRef] [EDP Sciences] [Google Scholar]
- Wedemeyer, S., & Steiner, O. 2014, PASJ, 66, S10 [NASA ADS] [CrossRef] [Google Scholar]
- Zaqarashvili, T. V., Zhelyazkov, I., & Ofman, L. 2015, ApJ, 813, 123 [NASA ADS] [CrossRef] [Google Scholar]
- Zhugzhda, Y. D. 1996, Phys. Plasmas, 3, 10 [NASA ADS] [CrossRef] [Google Scholar]
- Zhugzhda, Y. D. 2002, Phys. Plasmas, 9, 971 [NASA ADS] [CrossRef] [Google Scholar]
- Zhugzhda, Y. D. 2005, Phys. Plasmas, 12, 034702 [NASA ADS] [CrossRef] [Google Scholar]
- Zhugzhda, Y. D., & Goossens, M. 2001, A&A, 377, 330 [NASA ADS] [CrossRef] [EDP Sciences] [Google Scholar]
- Zhugzhda, Y. D., & Nakariakov, V. M. 1999, Phys. Lett. A, 252, 222 [NASA ADS] [CrossRef] [Google Scholar]
All Figures
![]() |
Fig. 1. Equilibrium configuration of a rotating (Ω0) and magnetically twisted (B0(0, Bφ0, Bz0)) cylindrical solar plasma structure with radius a and cross section A0 = πa2. The plasma structure with an equilibrium pressure denoted by p0 is embedded in a zero-β medium with an equilibrium magnetic field represented by Bz0e. The solar gravity is represented by g, while viscosity is represented by ν. |
| In the text | |
![]() |
Fig. 2. Frequency of the torsional wave (normalised by the Alfvén wave frequency) versus the longitudinal wave number for typical parameters of a solar plasma structure. The solid lines are obtained numerically from Eq. (19) while the dashed lines are plotted from the analytic expression represented by Eq. (20). For the blue lines we have 𝒦 = 0.4, ℛ = 0.1, while for the red lines we have 𝒦 = 0.1, ℛ = 0.4. |
| In the text | |
![]() |
Fig. 3. Frequency dependence of the torsional wave (normalised by the Alfvén wave frequency) on the dimensionless parameters representing the equilibrium twist 𝒦 and rotation ℛ at ka = 0.1. The combined effects of the equilibrium twist and rotation are pictured. In the top panel the plasma-β is taken to be zero, while in the bottom panel the plasma-β is taken to be equal to 0.5. The surface plots are obtained using the full dispersion relation (Eq. (19)). |
| In the text | |
![]() |
Fig. 4. Damping of the torsional wave normalised by the Alfvén wave frequency versus the longitudinal wave number for coronal conditions where we have the normalised viscosity ν/(RSunCA)=10−5, the gravity g = 274 m s−2, the local Alfvén speed CA = 1000 km s−1, and the plasma-β = 0.1. The red and black solid lines are for when the plasma structure is only rotating with values equal to 0.1 and 0.2, respectively, while the red and black dashed lines are for when the tube is only twisted with respective values of 0.1 and 0.2. The blue curve is for an untwisted and non-rotating flux tube. The plots have been obtained using the analytic expression represented by Eq. (20). |
| In the text | |
![]() |
Fig. 5. Ratio of the damping time and period of the torsional wave versus the longitudinal wave number when the plasma-β is equal to zero (black lines) and equal to 0.5 (red lines). The solid lines are for when the tube is rotating ℛ = 0.2 without twist, while the dashed lines are for when the tube is twisted 𝒦 = 0.2 without rotation. The plots have been obtained using the analytic expression represented by Eq. (20). |
| In the text | |
Current usage metrics show cumulative count of Article Views (full-text article views including HTML views, PDF and ePub downloads, according to the available data) and Abstracts Views on Vision4Press platform.
Data correspond to usage on the plateform after 2015. The current usage metrics is available 48-96 hours after online publication and is updated daily on week days.
Initial download of the metrics may take a while.




