Open Access

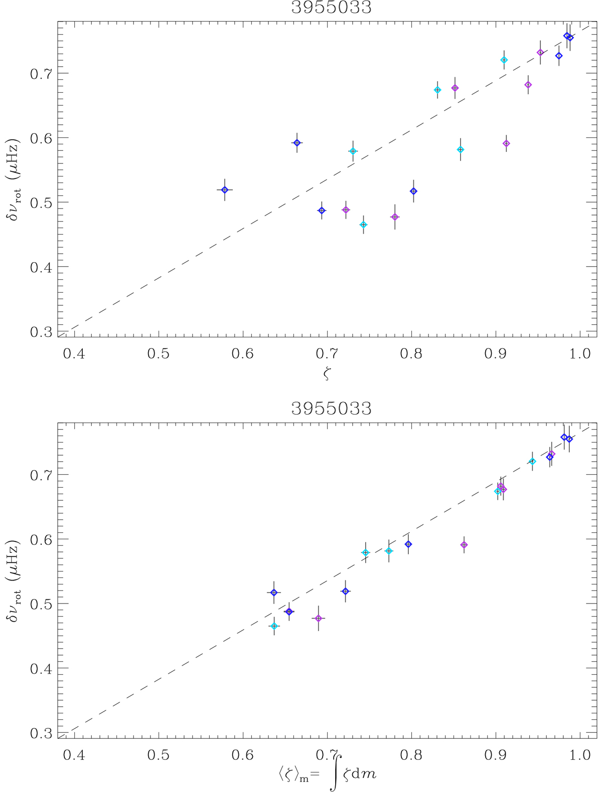
Fig. 5.

image

Mean rotation splittings of the RGB star KIC 3955033. Top: plot as a function of ζ. Bottom: plot as a function of the mean value ⟨ζm. The colors code the azimuthal orders; the dashed line indicates the 1:1 relation; 1-σ uncertainties on both the splittings and the mean values of ζ are indicated by vertical and horizontal error bars.

Current usage metrics show cumulative count of Article Views (full-text article views including HTML views, PDF and ePub downloads, according to the available data) and Abstracts Views on Vision4Press platform.

Data correspond to usage on the plateform after 2015. The current usage metrics is available 48-96 hours after online publication and is updated daily on week days.

Initial download of the metrics may take a while.