Open Access

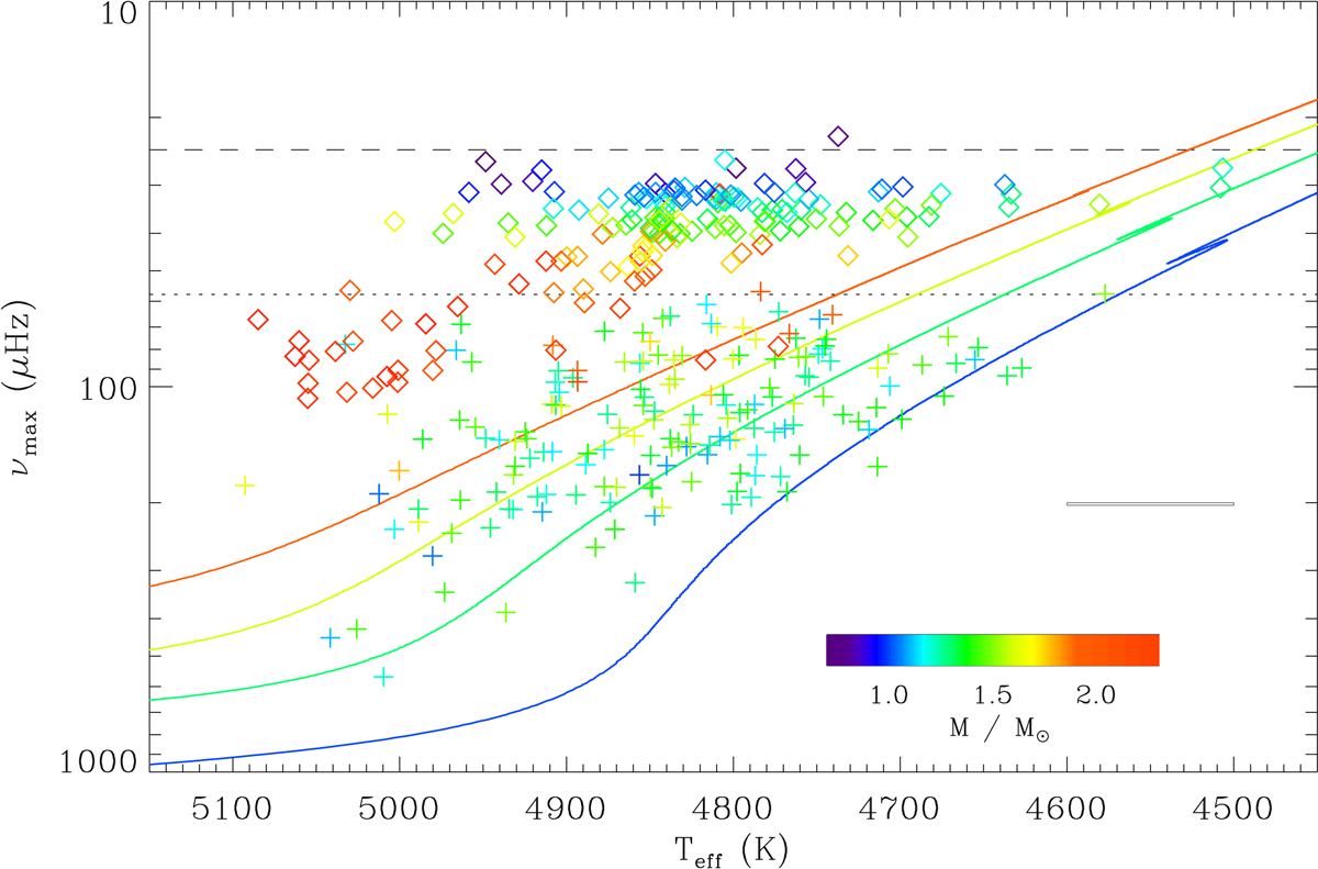
Fig. 8.

image

Seismic diagram of the 372 red giants studied in this work, with used as a proxy for the luminosity. The color codes the stellar mass. Stars on the RGB are plotted with + symbols, red clump stars with ⋄. The dotted and dashed lines indicate the limit of the visibility of mixed modes for RGB and clump stars, respectively, as defined by Eq. (31). Evolution tracks on the RGB, computed with MESA for solar metallicity (Gehan et al. 2018), are shown for the stellar masses 1.0, 1.3, 1.6, and 1.9 M. The error box indicates the typical 1-σ uncertainties on Teff and νmax.

Current usage metrics show cumulative count of Article Views (full-text article views including HTML views, PDF and ePub downloads, according to the available data) and Abstracts Views on Vision4Press platform.

Data correspond to usage on the plateform after 2015. The current usage metrics is available 48-96 hours after online publication and is updated daily on week days.

Initial download of the metrics may take a while.