Free Access

Fig. 11

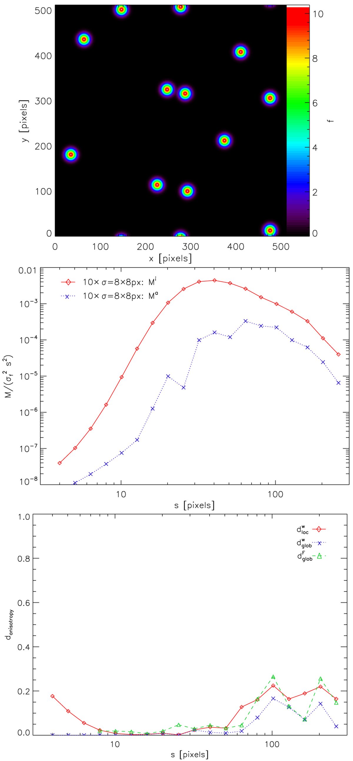
image

Anisotropic wavelet analysis for a map containing 10 Gaussian clumps with a standard deviation of σ = 8 pixels, i.e., a FWHM of 19 pixels. Upper panel: original map. Central panel: scale-normalized isotropic and anisotropic wavelet spectra and . Lower panel: resulting local and global degrees of anisotropy measured through wavelet and Fourier coefficients.

Current usage metrics show cumulative count of Article Views (full-text article views including HTML views, PDF and ePub downloads, according to the available data) and Abstracts Views on Vision4Press platform.

Data correspond to usage on the plateform after 2015. The current usage metrics is available 48-96 hours after online publication and is updated daily on week days.

Initial download of the metrics may take a while.