Free Access

Fig. 15

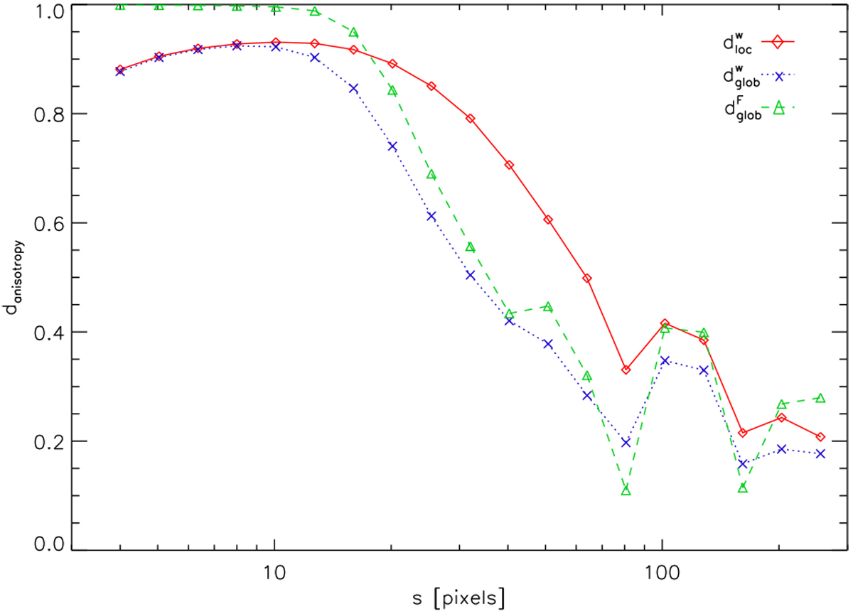
image

Local and global degrees of anisotropy for a map containing a superposition of two ensembles of elliptic clumps. Ten clumps with standard deviations of 3 and 27 pixels, i.e., an aspect ratio of 9:1, are aligned at 0 degrees; ten clumps with standard deviations of 6 and 18 pixels are distributed at uniformly spaced angles covering 360 degrees.

Current usage metrics show cumulative count of Article Views (full-text article views including HTML views, PDF and ePub downloads, according to the available data) and Abstracts Views on Vision4Press platform.

Data correspond to usage on the plateform after 2015. The current usage metrics is available 48-96 hours after online publication and is updated daily on week days.

Initial download of the metrics may take a while.