Free Access

Fig. 2

image

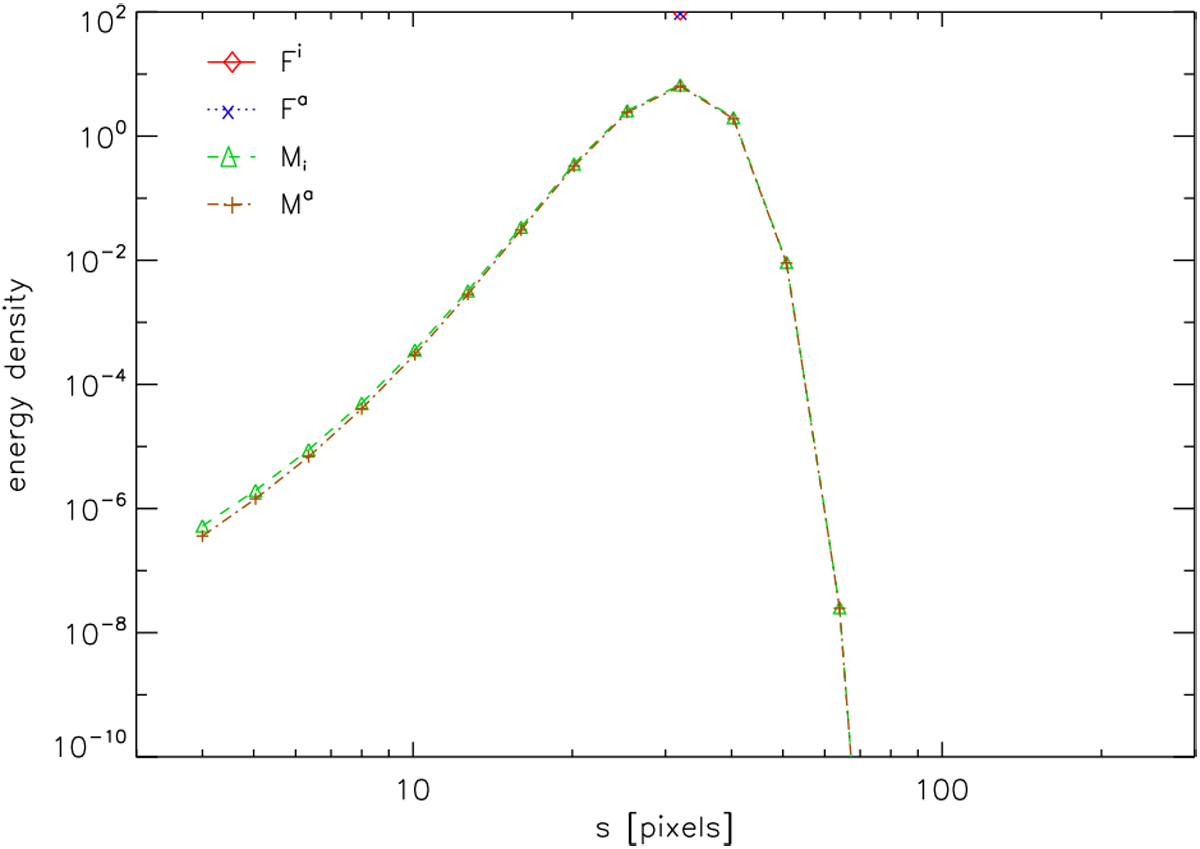
Spectra of isotropic and anisotropic wavelet and Fourier coefficients for a map containing a sinusoidal stripe pattern with ky =16, i.e., a period of p = 32 pixels in a 5122 pixels image.The two Fourier spectra consist only of a single point at s = 32 pixels and are otherwise zero. In all figures, we plot the absolute value for the anisotropic Fourier spectrum.All other coefficients are real. The wavelet analysis used a localization parameter b = 1.

Current usage metrics show cumulative count of Article Views (full-text article views including HTML views, PDF and ePub downloads, according to the available data) and Abstracts Views on Vision4Press platform.

Data correspond to usage on the plateform after 2015. The current usage metrics is available 48-96 hours after online publication and is updated daily on week days.

Initial download of the metrics may take a while.