Free Access

Fig. 20

image

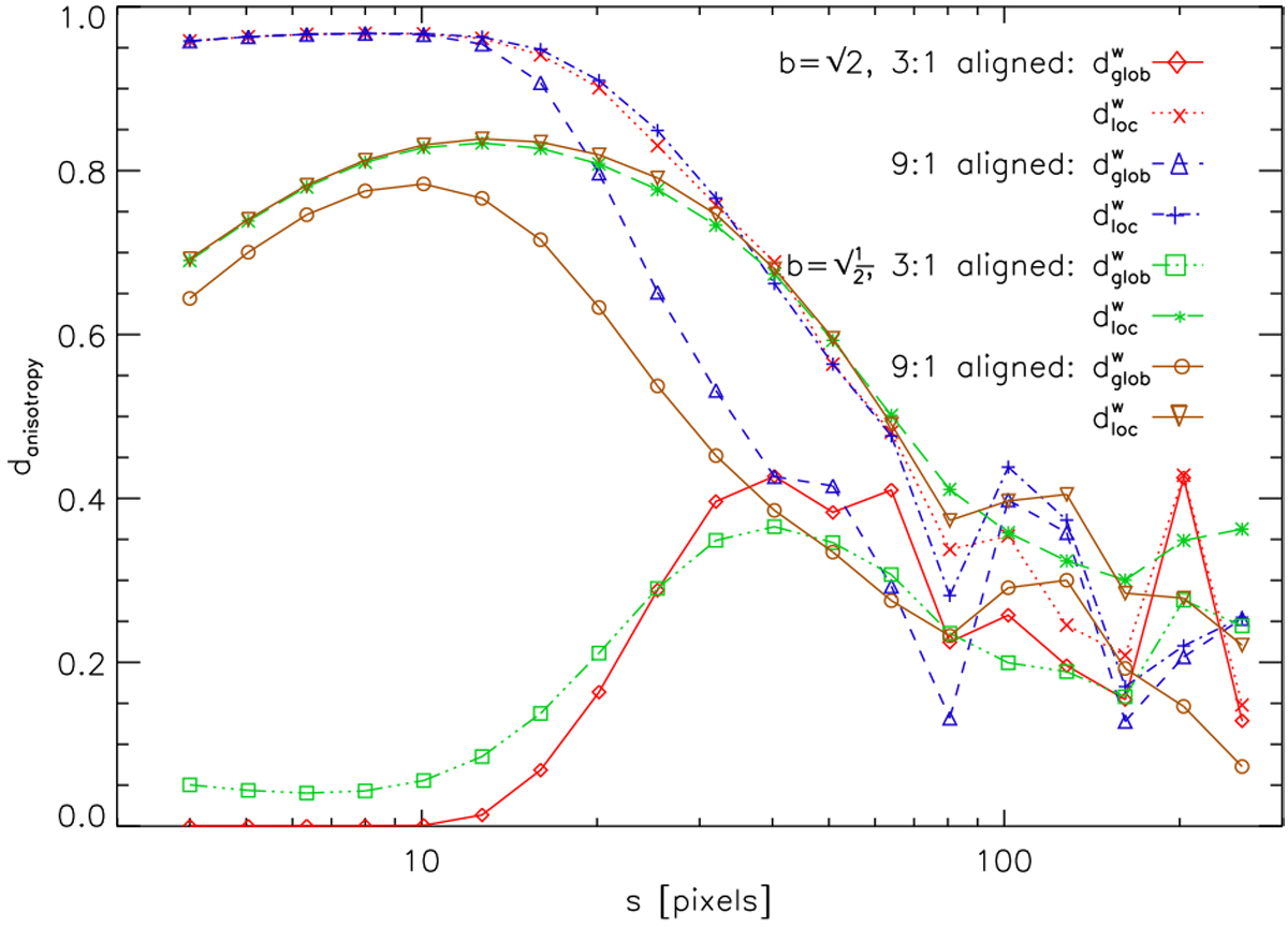
Comparison of the degrees of anisotropy measured by different filter shapes in the anisotropic wavelet analysis for the ensembles from Figs. 14 and 15 containing clumps with σ = 6 × 18 pixels and σ = 3 × 27 pixels where eitherof the two types is aligned.

Current usage metrics show cumulative count of Article Views (full-text article views including HTML views, PDF and ePub downloads, according to the available data) and Abstracts Views on Vision4Press platform.

Data correspond to usage on the plateform after 2015. The current usage metrics is available 48-96 hours after online publication and is updated daily on week days.

Initial download of the metrics may take a while.