Free Access

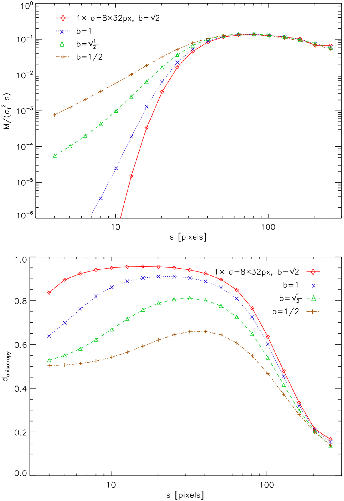
Fig. 21

image

Comparison of the wavelet spectra and local degrees of anisotropy measured by different filter shapes for maps containing randomly placed and oriented ellipses with a size of σ = 8 × 32 pixels (see Fig. 13). The wavelet spectra are normalized relative to a slope of unity and the variance in the map.

Current usage metrics show cumulative count of Article Views (full-text article views including HTML views, PDF and ePub downloads, according to the available data) and Abstracts Views on Vision4Press platform.

Data correspond to usage on the plateform after 2015. The current usage metrics is available 48-96 hours after online publication and is updated daily on week days.

Initial download of the metrics may take a while.