Free Access

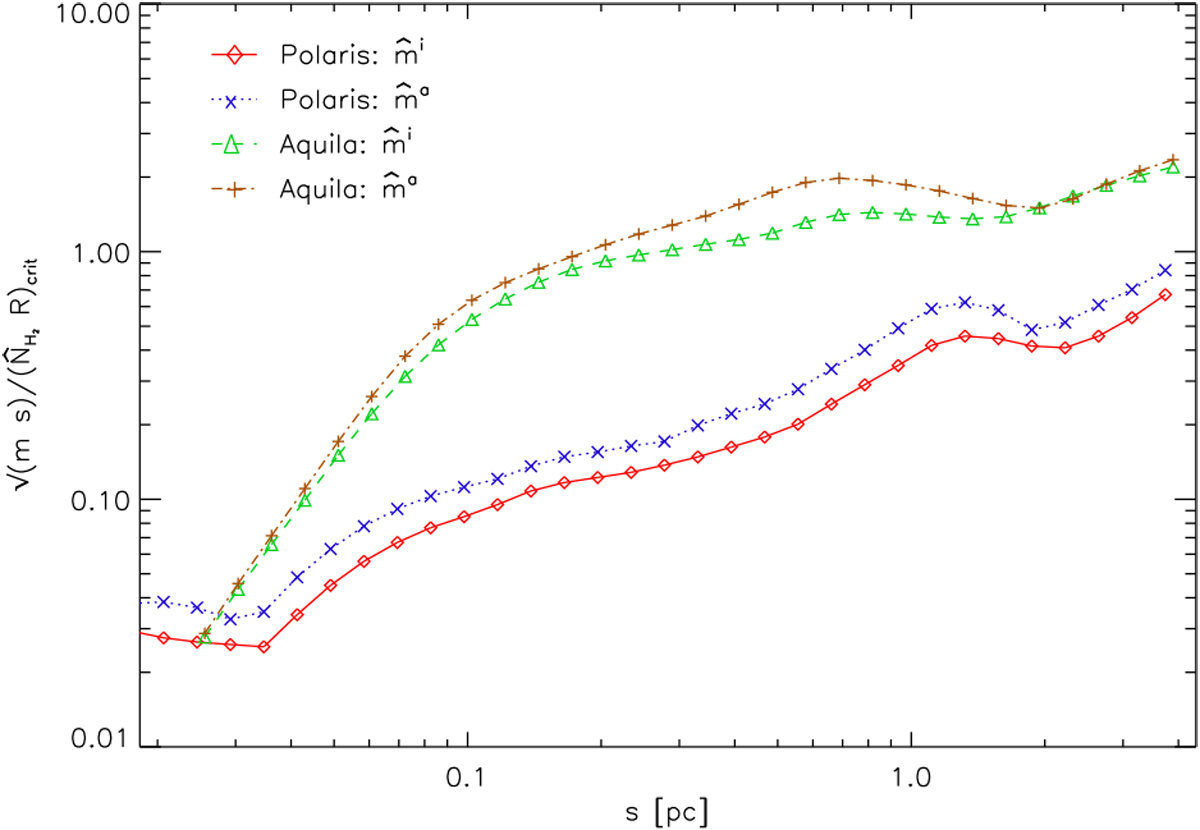
Fig. 34

image

Gravitational stability spectra for the dominating structures in the two maps from Fig. 28. The isotropic and anisotropic wavelet coefficients mi and ma characterize the size dependence of the local column-density variation. Taking the size-scaled coefficients relative to the critical values of cm−2 pc and 0.83 × 1021 cm−2 pc allows us to measure the gravitational stability of the structures against spherical and cylindrical collapse modes. Values above unity indicate structures that are unstable against collapse. Lower values stand for structures that are not gravitationally bound.

Current usage metrics show cumulative count of Article Views (full-text article views including HTML views, PDF and ePub downloads, according to the available data) and Abstracts Views on Vision4Press platform.

Data correspond to usage on the plateform after 2015. The current usage metrics is available 48-96 hours after online publication and is updated daily on week days.

Initial download of the metrics may take a while.