Free Access

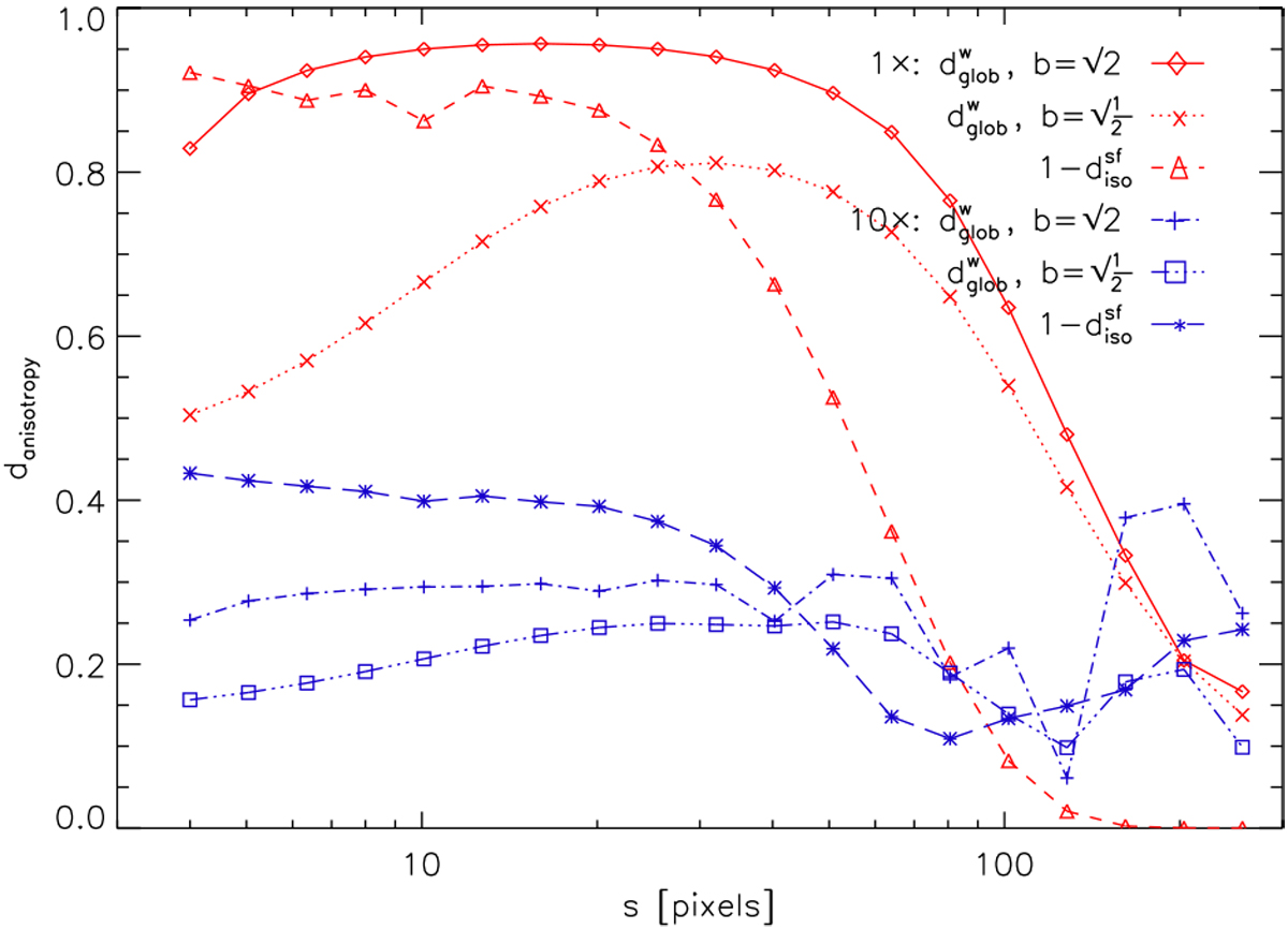
Fig. C.2

image

Comparison of the global degree of anisotropy measured through the wavelet analysis with the degree of isotropy measured through the structure function for two maps containing either a single or ten randomly distributed and oriented elliptic clumps with an axes ratio of 4:1 (σ = 8 × 32 pixels, see Fig. 13).

Current usage metrics show cumulative count of Article Views (full-text article views including HTML views, PDF and ePub downloads, according to the available data) and Abstracts Views on Vision4Press platform.

Data correspond to usage on the plateform after 2015. The current usage metrics is available 48-96 hours after online publication and is updated daily on week days.

Initial download of the metrics may take a while.