Open Access

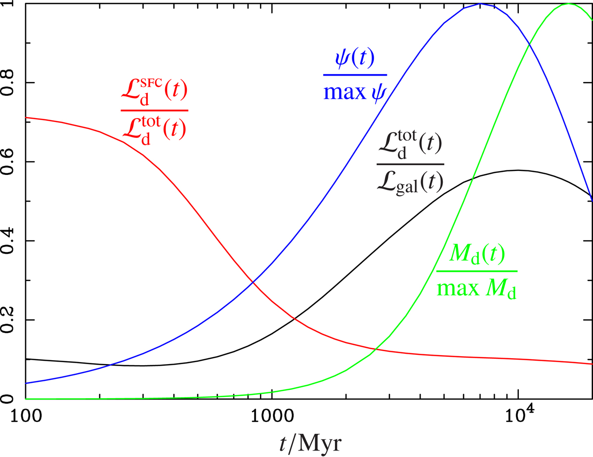
Fig. 7.

image

Evolution, as a function of galactic age t, of the following quantities for the Milky Way model: star formation rate ψ(t) (relative to its maximal value); dust mass Md(t) (idem); ratio of the bolometric luminosity emitted by dust in the whole galaxy, , to the overall bolometric luminosity of the galaxy, ℒgal(t); ratio of the bolometric luminosity emitted by dust in star-forming clouds, , to .

Current usage metrics show cumulative count of Article Views (full-text article views including HTML views, PDF and ePub downloads, according to the available data) and Abstracts Views on Vision4Press platform.

Data correspond to usage on the plateform after 2015. The current usage metrics is available 48-96 hours after online publication and is updated daily on week days.

Initial download of the metrics may take a while.