Free Access

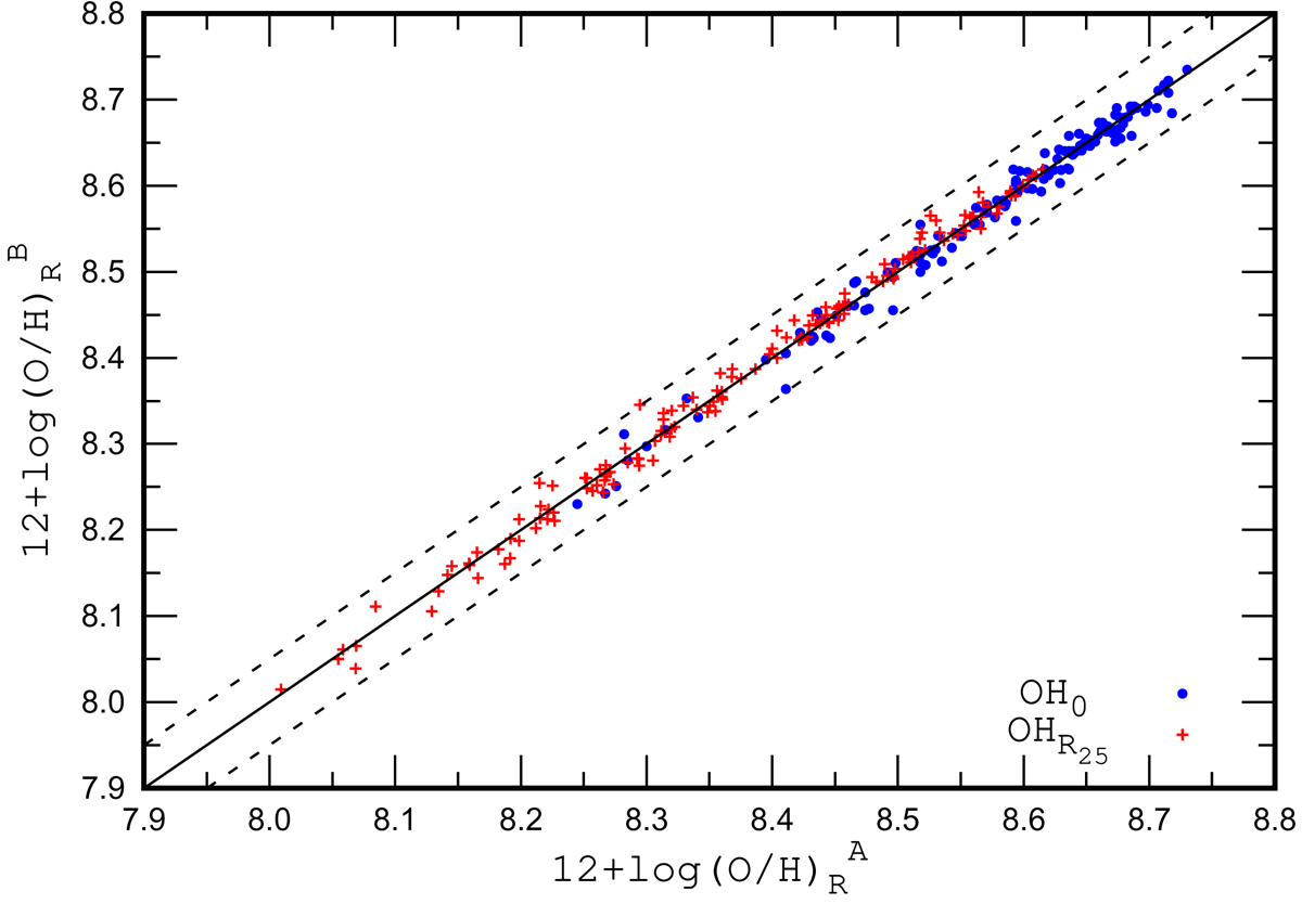
Fig. 15.

image

Central intersect oxygen abundance 12 + log(O/H)B for the radial gradient based on the points within 0.2 <  Rg <  0.8 as a function of central intersect oxygen abundance 12 + log(O/H)A for the radial gradient based on the points within Rg <  1 (circles). The plus symbols show the same for the intersect oxygen abundance at the optical radius R25. The solid line indicates equal values: the dashed lines show the ±0.05 dex deviation from unity. The oxygen abundances are determined through the R calibration.

Current usage metrics show cumulative count of Article Views (full-text article views including HTML views, PDF and ePub downloads, according to the available data) and Abstracts Views on Vision4Press platform.

Data correspond to usage on the plateform after 2015. The current usage metrics is available 48-96 hours after online publication and is updated daily on week days.

Initial download of the metrics may take a while.